![]() |
|
Wissen ist ein Privileg. Die Weitergabe eine Pflicht. |
Ein überfälliges Rendezvous mit ursächlicher Rationalität
|
|
|
|
|
Autor Dirk Freyling unabhängiger Forscher & Künstler [Künstlername AlexD, daher auch adf als Autorenkürzel] |
|
|
![]() |
|
[BASISSUCHE AlexDirkFreyling 59ndf Foto von T.B.] |
|
Worum geht es? Um einen nachhaltigen Paradigmenwechsel.
Was ist hier mit Paradigmenwechsel gemeint? Das Ersetzen der Standard-Denkmodelle [SM ΛCDM] der Theoretischen Physik. [SM] Standardmodell der (Elementar)-Teilchenphysik (SM) [ΛCDM] Kosmologisches Standardmodell (ΛCDM-Modell)
Was tritt an deren Stelle?
Welche Argumente sprechen für diesen Paradigmenwechsel? Das Parsimonieprinzip [: Ockhams Rasiermesser lex parsimoniae Sparsamkeitsprinzip]
Die streng analytisch ↓ motivierte Verwendung des Prinzips der Parsimonie in den vorliegenden Ausführungen
|

«Interdisziplinäres Umfeld»
|
Angewandte Soziologie statt wissenschaftlicher Argumentation Wer einigermaßen neutral die Geschichte der Elementarteilchenphysik “studiert”, wird kaum glauben können, dass es sich um naturwissenschaftliche Betrachtungen und Bemühungen im Sinne einer zielführenden Vereinfachung und Vereinheitlichung handelt. Immer dann, wenn die Experimentalphysik die Theorie(n) widerlegte, wurde die Theorie mittels neuer Elementarteilchen, erneuter Substrukturierung und, wenn nötig, neuer Quantenzahlen erweitert, die die fehlenden Eigenschaften, die fehlende Energie oder die fehlende Symmetrie “erledigten”. Das hat mit Wissenschaft wenig zu tun und erinnert mehr an (zeitgenössische) Politik. Statt die Probleme mit einem neuen radikalen (Theorie-)Ansatz zu bewältigen, werden kleine und große Schönheitskorrekturen kontinuierlich durchgeführt. Statt zu vereinfachen und zu vereinheitlichen wird “gnadenlos” erweitert und “spezialisiert”. Es entsteht ein Sammelsurium von Teilchen(eigenschaften). Plakativ formuliert: Für jeden Fall einer unerwünschten Abweichung, für jedes Teilchen, etc. werden bei Bedarf theorieerhaltende Sonderregelungen nachgelegt. Der mathematische Formalismus ist in diesem Fantasieprozess das kleinste Problem. Nötigenfalls werden divergente Terme regularisiert und renormalisiert oder gleich als “unphysikalisch” deklariert, schlicht “weggelassen”. Das damit die axiomatische Grundstruktur zerstört wird, scheint entweder nur Wenigen klar zu sein bzw. ist offensichtlich dem Gros der Theoretiker ergebnisorientiert egal. Inhalts-analytisch folgt daraus die Tatsache, dass die "großen" Standardmodelle der Physik sprich das Standardmodell der Elementarteilchenphysik (SM) und (wie später ausführlich erörtert wird) das Standardmodell der Kosmologie (ΛCDM-Modell), sowie vermeintlich konkurrierende Modelle (Stringtheorien) und die gewünschte SM-"Erweiterung" SUSY (Supersymmetrie) bei genauer Sicht keinerlei rational logischer Kritik standhalten, wie noch ausführlich, im Rahmen der vorliegenden Standardmodell-Bestandsaufnahmen an zahlreichen Beispielen, argumentativ begründet nachgewiesen wird.
Einzig das »soziologisch erprobte Argument«, dass sich doch nicht zehntausende mathematisch hervorragend ausgebildete Wissenschaftler, über mittlerweile mehrere Generationen, mit Modellen beschäftigen, wenn diese auf Grund immenser innerer Widersprüche bedeutungslos wären, wird „argumentativ“ zum finalen Schlag ins Felde geführt. Da diese Standardmodelle das wissenschaftlich und populärwissenschaftlich propagierte Non plus ultra der Theoretischen Denkmodell-Physik sind, brauchen wir uns nicht zu wundern, dass wir seit Jahrzehnten tief in einem "erkenntnistheoretischen (Schwarzen) Loch" sitzen. Wie egozentrisch, arrogant, dekadent, sinnfrei und folgenlos widersprüchlich die »Protagonisten des Standards« in ihren Arbeiten mit Apologeten, Fans, Kritikern und sich selbst umgehen, haben sie eindrucksvoll mit folgender »Erkenntnis-Pathologie« bewiesen: 2013 gab es einen Nobelpreis für den "Higgs-Machanismus" der masselose Neutrinos fordert. 2015 gab es einen Nobelpreis für den (angeblichen) Nachweis von Neutrino-Oszillationen, die Neutrinomassen benötigen. Zum Verständnis: Im Rahmen des Standardmodells gehören Neutrinos zu den Leptonen und sind als exakt masselose Fermionen definiert. Um die Fermionenmassen durch Kopplung der Fermionen an das Higgs-Feld zu erzeugen, müssen folgende Bedingungen erfüllt sein: Die Massen der rechts- und linkshändigen Fermionen müssen gleich sein. Das Neutrino muß masselos bleiben. In Anbetracht der dokumentierten, mit dem Nobelpreis gewürdigten, Schizophrenie wäre es u.a. keine schlechte Idee, die »Macher« und »Entscheider« psychologisch, psychiatrisch, neurologisch untersuchen zu lassen.
Warum nehmen Menschen generell solch' widersprüchlichen Schwachsinn hin? Heutiges hysterisches, getriggertes Denken, Wünschen und Handeln der Massen ist nicht neu: Der Psychologe Solomon Asch (1907 - 1996) bemerkte aufgrund seiner Versuche, „Für die meisten Menschen hat die Anpassung an das, was andere sagen und tun – egal wie objektiv falsch oder absurd es ist –Vorrang vor der Anpassung an die Realität und der Entdeckung der Wahrheit.“ Wesenszüge der Masse nach Gustave Le Bon (1841 - 1931): Eine Masse ist grundsätzlich impulsiv, beweglich, irritierbar, suggestibel, leichtgläubig, besessen von schlichten Ideen, intolerant und diktatorisch. Der Geist der Massen ist konservativ („Konservativismus der Masse“). Leichtgläubig gegenüber alten, skeptisch gegenüber neuen Ideen und Idealen. Es existiert eine spezifische »Religiosität der Massen«, die die Religiosität einzelner Individuen außerhalb der Masse bei weitem übertrifft. Das Individuum kann in der Masse in moralische Höhen aufsteigen oder in Tiefen hinabsinken (meist Letzteres). Es existiert eine allen Massenbestandteilen eigene „Massenseele“. Die Masse denkt nicht logisch, sondern in Bildern, die häufig durch einfache Sprachsymbolik hervorgerufen werden. Die Masse ist nur wenig kreativ und vermindert intelligent. Sie denkt einseitig grob und undifferenziert. Die Masse ist leicht erregbar, leichtgläubig und sprunghaft. Ihre Emotionalität ist schlicht. Das hier bewusst inszenierte, extrem unwissenschaftliche und übergeordnet a-soziale Verhalten↑ der Standardmodell-Protagonisten und "im Anschluss" der »servilen Verkünder populärwissenschaftlicher Publikationen«, des im Aussage-Ergebnis interdisziplinär leicht verstehbaren »Standardmodell-Widerspruch-Nonsens«, erinnert stark an die Bestandsaufnahme von Klaus Gebler: …“Auf dem Gipfel der Macht und der Anerkennung werden Menschen plötzlich gesprächig, kokettieren mit ihren Tricks und kleinen Mogeleien, spötteln über Ethik und Moral und brüsten sich ihrer Fähigkeit, ein ganz spezielles persönliches Interesse mit Hilfe von Manipulation und geschickter Propaganda durchgesetzt zu haben. Manche Vermutung über das wahre Wesen eines erfolgreichen Menschen findet durch derart eitle Selbstenthüllung ihre Bestätigung, vermag aber keineswegs die Machtposition des Menschen zu erschüttern. Etabliert ist etabliert.“ Quelle: Als der Urknall Mode war - Erinnerungen an ein kurioses Weltmodell - Klaus Gebler 2005 ISBN 3-8334-3983-1
Keine Gnade Letztendlich könnte man sich tolerant zeigen und darauf hinweisen, dass ein Denkmodell eben nur ein Denkmodell ist. Mit der Konsequenz, das die Standardmodelle im Vergleich zur Elementarkörpertheorie, gemäß dem Prinzip der Parsimonie, zwar eindeutig verlieren, aber ihre Existenzberechtigung behalten (könn(t)en). Nun, was "soll ich sagen", nein, dem ist nicht so. Nicht weil ich das (emotional motiviert) nicht will, sondern weil es zahlreich argumentative Gründe gibt, die die Standardmodell-Postulate, derzeit 31(!) freie Parameter (25 SM, 6 ΛCDM), mehrere Dutzend postuliert essentielle Theorieobjekte]pet, assoziierte Verknüpfungszahlen (Quantenzahlen), diverse Substrukturierungs-Thesen, Confinement-These,…, deren postulierte Wechselwirkungs-Szenarien und die resultierenden Aussage-Ergebnisse der Standardmodelle als reine Versuchs-Märchen-Interpretationen identifizieren. ]pet Zählt man die Teilchen nach einer Regel, die zwischen Teilchen und ihren entsprechenden Antiteilchen sowie zwischen den vielen Farbzuständen von Quarks und Gluonen unterscheidet, ergibt sich eine Gesamtzahl von 61 Elementarteilchen. Wenn Neutrinos ihre eigenen Antiteilchen sind, dann würde die Gesamtzahl der Elementarteilchen nach denselben Zählkonventionen 58 betragen. Fazit: Es handelt sich bei dem SM und dem ΛCDM-Modell um philosophisch-mathematische Modelle. Die Standardmodelle sind keine physikalischen Denkmodelle! Somit haben sie keine Modell-Daseinsberechtigung zur Beschreibung der physikalischen Welt, auch losgelöst von der Existenz der EKT.
Bevor ich mit den vergleichenden Denkmodell-Anatomie-Ausführungen beginne, möchte ich noch den Nobelpreisträger Burton Richter zu Wort kommen lassen, dem Niemand vorwerfen kann, er wäre ein Outsider des Standardmodells der Teilchenphysik. Burton Richter: ein Pionier der Teilchenphysik und Nobelpreisträger schrieb 2006 u.a. „Für mich ist etwas, was heute für die am weitesten fortgeschrittene Theorie der Teilchenphysik gilt, nicht wirklich Wissenschaft. Als ich mich kürzlich mit drei angesehenen Theoretikern auf einem Podium befand, konnte ich der Gelegenheit nicht widerstehen zu diskutieren, was ich als Hauptproblem in der Philosophie hinter der Theorie sehe, die scheinbar in eine Art metaphysisches Wunderland übergegangen ist. Vereinfacht gesagt, scheint es sich bei vielen der aktuellsten Theorien um theologische Spekulationen und um die Entwicklung von Modellen ohne überprüfbare Konsequenzen zu handeln…“ Quelle: Theory in particle physics: Theological speculation versus practical knowledge Physics Today October 2006 |
Stell' Dir vor es geht!
in Anlehnung an das expressionistische Stirb & Werde Prinzip

![]()

|
Konsequenzen einer Masse-Raum gekoppelten fundamentalen Erweiterung des Energieerhaltungssatzes zur Kenntnisnahme, zur Selbstanalyse und zum Verstehen. |
|
Lesetechnisches
|
|
|
|
Der vorliegende - interdisziplinär "eröffnete" - Inhalt ist primär für Menschen bestimmt, die ohne Schöntuerei und falsche Rücksichtnahme auf Bestehendes, Neues suchen und im Sinne der Aufklärung - gemäß des Prinzips der Parsimonie - Neues wünschen, dass sowohl die interdisziplinäre als auch die fachliche Qualität und Charakteristik für einen nachhaltigen Paradigmenwechsel in der »Denkmodellwelt der formalisierbaren Materiewechselwirkungen« besitzt. |

|
"Natur lässt sich nicht formalisieren. Was sich formalisieren lässt, sind ausschließlich Denkmodelle zur Beschreibung der Natur." Dirk Freyling |
![]()
![]() |
Freude an der Wirklichkeit

|
Auch wenn es sich hier um eine wissenschaftliche Betrachtung der Materie handelt, sollen ergänzend Humor und interdisziplinäre Verweise nicht zu kurz kommen. Die mathematisch-physikalischen Ausführungen sind bewusst mit künstlerischen Bild-Elementen ausgeschmückt, da es Spaß macht die Vitalität der Theorie respektive des alternativen Denkmodells zu illustrieren. Authentizität und Egozentrik des Theorievaters sollen und werden kein Geheimnis bleiben. |
|
|
![]() |
|
[BASISSUCHE AlexDirkFreyling 45ndf Foto von T.B. ARTSTOFF Galerie Südturm] |
|
Zeitreichtum ist in jedem Fall ein Muß. Leser die bereits Schwierigkeiten haben längere Online-Medien-Texte "gängiger" populärwissenschaftlicher Anbieter konzentriert und nachhaltig verstehend zu lesen, kommen mit diesem Handicap hier nicht weit. |
Terminologie & Notation
|
Verwendung von Fachbegriffen Vorliegende Ausführungen sind nicht nur für Themenvertraute geschrieben (worden). Das bedeutet u.a., dass Interessierte mit wenig "Fachwissen" unvermeidlich mit Begriffen konfrontiert werden, die nicht selten zum nachhaltigen Verstehen implizit eine ganze Schar von weiteren Informationen und Zusammenhängen beinhalten. Das ist unvermeidbar. Einige dieser Begriffe werden im direkten inhaltlichen Zusammenhang erklärt, andere nicht. Im Zweifelsfall sollte der erst einmal unverstandene Begriff "hingenommen werden". »phänomenologisch begründet« In den vorliegenden Ausführungen wird des Öfteren der Terminus »phänomenologisch begründet« verwendet. Was bedeutet das? Im Gegensatz zu den vorherrschenden Standardmodellen der (Elementar-)Teilchenphysik (SM) und dem Kosmologischen Standardmodell (ΛCDM-Modell) ist das alternative Denkmodell (Elementarkörpertheorie, kurz EKT) mathematisch einfach und anschaulich. Die Modell-Gleichungen sind plausibel-geometrisch »sinnerfahrbar«. Was das im Detail bedeutet, ist Gegenstand aller folgenden Betrachtungen und resultierenden Berechnungen im Rahmen der EKT. |
Didaktisches
|
Insgesamt betrachtet, werden im weiteren Verlauf, Schritt für Schritt, die phänomenologischen Zusammenhänge erklärt. Spätestens jedoch am Ende der Ausführungen wird für jede Herleitung, für jede Berechnung die Verknüpfung zu den ausführlichen Beschreibungen und Herleitungen angegeben. Nichts bleibt ungeklärt, nichts bleibt im Rahmen des Denkmodells unbewiesen. Die einen oder anderen "frühen" Erklärungen respektive Ausführungen im Text, beispielsweise zur postulierten inflationären überlichtschnellen Expansion des Universums, gemäß dem Standardmodell der Kosmologie (ΛCDM-Modell) und vergleichend die Masse-Raum Kopplung als alternative Denkmodellgrundlage, sind insofern früh im Text erwähnenswert, um die willkürlichen Konstruktionen der Standardmodelle exemplarisch zu begreifen und im direkten Vergleich die Voraussagefähigkeit der wortwörtlich um Dimensionen einfacheren formalisierten Denkmodellalternative selbst testen zu können. Inkonsistenzen und willküraffine Erweiterungen bezüglich der postulierten Theorieentitäten und deren Wechselwirkungen innerhalb der Standardmodelle werden sozusagen "portioniert" mit dem »Alternativmodell« verglichen. |
![]()
|
Der Paradigmenwechsel »information-abstract«
|
|
|
|
Informationen zum Präsentationsstand Ich arbeite (in Buchstärke) an zusammenfassenden Ausführungen bezüglich des interdisziplinär (zumindest in Hinblick auf wesentliche Aussagen) verstehbaren konkreten Paradigmenwechsels im Bereich der Denkmodelle der Theoretischen Physik auf Grundlage der Elementarkörpertheorie (EKT). Diese zusammenfassende Ausarbeitung wird noch einige Zeit in Anspruch nehmen. Die hier vorliegende unfertige, frei verfügbare Version (sozusagen „on the fly“) als Webseite respektive Webseiten-Ensemble unterliegt einer dynamischen Überarbeitung, mit dem Ziel möglichst präzise vorzutragen. Testleser(innen) untersuchen derzeit die Präsentation u.a. auf Verständlichkeit, Konsistenz etc. Da die Erfahrung zeigt bzw. gezeigt hat, dass im Dialog mit Lesern, die eine oder andere Formulierung zum Verständnis hätte besser und genauer sein können. Trotz der bereits großen Informationsfülle sind die fachlichen Ausführungen im Hinblick auf die Gesamtausführungen hier (im Sinne aller Phänomene und Wechselwirkungen sowie quantitativ) noch unvollständig. Die extensive Grundlage des Vortrags ist die Elementarkörpertheorie→, die alle Denkmodellaspekte eines Masse-Radius gekoppelten Raumes detailliert vorstellt. Es ist jedoch nicht empfehlenswert "hier und jetzt" sprich sofort mittels des angegebenen externen Links, aus Neugierde oder parallel zur Orientierung, dort nachzuschauen. Denn da wird noch viel mehr, als in den folgenden Denkmodellanatomie-Betrachtungen, die hier bereits umfangreich ausgeführt werden, Zeitreichtum, Geduld und Aufmerksamkeit gefordert. Bezüglich der hier vorliegenden interdisziplinären Vorstellung bedeutet das: Die fachlichen Inhalte und Aussagen bleiben gemäß Modellvergleichen und den Charakteristika der Elementarkörpertheorie unverändert, da diese den verbindlichen Kern des Vortrags darstellen, was sich mitunter ändert, sind die Ausformulierungen sowie die Präsentations-Reihenfolge dieser. Insbesondere am Ende der hier vorgestellten Ausführungen zum Paradigmenwechsel sind Text-Fragmente, Grafiken, Gleichungen,... zur Zeit - hier und da - nur "lose arrangiert", "geparkt", unvollständig, teils redundant "aufgelistet". Ein Inhaltsverzeichnis mit direkten Verknüpfungen zu den aufgeführten Inhalten folgt erst dann, wenn die Präsentation vollständig ist. |
![]()
![]()
|
Was macht einen Paradigmenwechsel so schwierig? Sofern die phänomenologisch-formalen Aspekte im Hinblick auf überprüfbare Voraussagefähigkeiten gemäß dem »Prinzip der Parsimonie« deutlich für einen Denkmodellwechsel sprechen, sind es, realistisch betrachtet, ausschließlich "banale" wirtschafts-existentielle sowie psychologische Gründe, die einen Paradigmenwechsel verhindern. i) Alle, die bisher als Protagonisten (Wissenschaftler, Dozenten, Techniker,..., Wissenschaftsberichter,...) auf Grundlage des bestehenden Denkens (herrschende »Denkdogmen«) ihr materielles Leben bestritten haben, verlieren ihre Arbeitsgrundlage sprich ihre wirtschaftliche Existenz. Des Weiteren ist der Reputations- respektive Ego-Schaden immens. ii) Der »Prinzip der Parsimonie-Gewinner« schlägt (auch) alle kreativen Kritiker, deren Denkmodelle nun nicht mehr in Betracht kommen (können), aus dem Feld. Sie verlieren ihre Daseinsberechtigung. Das bedeutet das finale Aus für deren geistige Arbeit. Das führt u.a. zu erheblichen Ego-Kränkungen.
»Das Prinzip der Parsimonie kennt keine Koexistenz.«
Ausgangssituation Trotz gegensätzlicher Anfangs-Positionierung wollen im Ergebnis weder die jetzigen »Denk-Dogmatiker« noch die Dogma kritischen »Alternativ-Denkmodell-Kreativen« einen Paradigmenwechsel. Wer kann, will und/oder sollte sich also einen erfolgreichen, nachhaltigen Paradigmenwechsel, außer dem »Prinzip der Parsimonie-Gewinner«, wünschen? iii) Auf den ersten Blick könnte man annehmen, das "so etwas" wie freudige, dankbare (insbesondere Fach-)Wissende existieren, die, gemäß ihrer eigenen Betrachtungen, ("schon lange") realisierten, welche immensen Widersprüche und brachiale Willkür den herrschenden Denkmodellen innewohnt. Diese sind jedoch höchstwahrscheinlich, bis auf sehr wenige Ausnahmen, von einer weit verbreiteten, antrainierten, etablierten "Menschlichkeit beseelt", die im Bereich der Theoretischen Denkmodellphysik konkret besagt, dass man sich - nach mehr als 100 Jahren »Moderner Theoretischer Physik« - schlicht nicht vorstellen kann, das diese im Kern fundamental - plakativ formuliert - denkmodell-falsch ist. [Warum falsch? Kann ein Denkmodell überhaupt falsch sein?] Die richtige Antwort befindet sich ausschließlich im Denkmodell. Ein Denkmodell ist dann falsch, wenn es im Rahmen der Denkmodellpostulate verwendeten Axiome nachweislich widersprüchlich ist. Im analytischen Ergebnis sind, wie argumentativ aufgezeigt wird, das Standardmodell der Elementar-Teilchenphysik (SM) und das Standardmodell der Kosmologie (ΛColdDarkMatter Modell) falsch. Bevor hier unnötig Mißverstände entstehen, ein Paradigmenwechsel, gemäß dem »Prinzip der Parsimonie«, ist losgelöst davon, ob Denkmodelle in sich widersprüchlich sind oder nicht, begründet. Vorliegend sind jedoch SM und ΛCDM-Modell auch (noch) falsch.
Wie kann, trotz der benannten schwierigen Randbedingungen, ein argumentativ begründeter Paradigmenwechsel von "außen" unterstützt werden? Hier kommen »interdisziplinär Informierte« ins Spiel, die zwar (erst einmal) nicht wissen, was Aussagen wie beispielsweise... "Das Standardmodell der Elementarteilchenphysik zielt darauf ab, Materie-Entstehung und Wechselwirkungen durch rein abstrakte mathematische Symmetrien (Eichsymmetrien mit ihren Eichgruppen) zu erfassen." bedeuten, aber sehr wohl sofort daraus realphysikalisch erfahrbare Konsequenzen verstehen, wie... "Der mathematische Ansatz des Standardmodells der Teilchenphysik, ausgehend von nulldimensionalen, masselosen Objekten, liefert offensichtlich keine Anbindung an die wahrnehmbare physikalische Realität, in der Masse und Ausdehnung Fundamentaleigenschaften darstellen." Aus diesem »Pool«, vom Paradigmenwechsel nicht (nachteilig) betroffenen »interdisziplinär Informierten«, kann, insbesondere wenn es sich um Wissenschaftler handelt, mittels Fachveröffentlichungen und allgemeiner, im Rahmen medial inszenierter Aufmerksamkeit, in populärwissenschaftlichen Magazinen, eine weitreichende Aufklärung erfolgen.
Wie erklärt man das vollkommen Unerwartete? Es existiert ein Informations-Dilemma. Einerseits macht es Sinn, formal-analytisch exakt, kurz und knapp die signifikanten Vorteile des Denkmodells der Masse-Raum Kopplung erst einmal - sozusagen aphoristisch - vorzustellen. Das geht jedoch zu Lasten des Verständnisses auf der Leserseite und läßt den Autor fragwürdig erscheinen, da für eine stringente, konsistente, formal sachgerechte Denkmodell-Vorstellung jeder Entwicklungsschritt, bis hin zum Formalismus, lückenlos aufgezeigt werden sollte. So oder so ist es für viele Interessierte eher schwierig, hinderlich bis abschreckend, wenn man mit etwas Neuem konfrontiert wird, aber die Hintergründe, Herleitungen etc. noch nicht kennt respektive (noch) nicht versteht. Andererseits sind zu lange Ausführungen, "bis man zum Punkt kommt", in denen es, im Sinne eines konsistent begründeten Paradigmenwechsels, richtig interessant wird, auch problematisch. Leser vermuten dann meist das aus den (Zeitgeist-)(Mainstream-)Medien "gut" bekannte "Um den heißen Brei reden", um am Ende festzustellen zu müssen, das es eigentlich doch nichts relevantes Neues gibt. Hand aufs Herz, insgesamt kann sich eh kaum jemand vorstellen, das es nachhaltige, komplett andersartige Beschreibungsmöglichkeiten im Rahmen von Theoretischen Modellen geben kann, die, gemäß des Prinzips der Parsimonie, den etablierten Denkmodellen deutlich überlegen sind. Insbesondere kann sich niemand, allen voran Theoretische Physiker, vorstellen, das ein alternatives Denkmodell konsistent und skalenübergreifend zur langersehnten Vereinheitlichung führt und alle diesbezüglich relevanten Meßwerte in Form von mathematisch einfachen, formal-analytischen Gleichungen voraussagt. Sowas "hört sich" respektive liest sich wie ein Fantasie-Märchen. »Denkmodell-Neues«, insbesondere mit solchen unvorstellbaren Ankündigungen, wird in der Regel ungelesen ignoriert. Wie auch immer, was sich das Gros der Menschen nicht vorstellen konnte und vorstellen kann, ist für die Wissens-Besitzer dessen, offensichtlich inhaltlich ohne Belang. Es wird folgender »Informationsweg« zur Rezeption angeboten: Sollten die hier - "früh im Text" - expliziten Gleichungen, insbesondere für Nicht-Mathematiker/Nicht-Physiker, irritieren oder den Leser zu sehr "strapazieren", so können diese erst einmal nur überflogen werden. Es folgen im Rahmen der weiteren extensiven interdisziplinären Ausführungen noch genügend Möglichkeiten diese anschaulich zu verstehen. Um "Neues" aufnehmen zu können ist hier eine gewisse »Informations-Redundanz« gewollt. Der eine oder andere Sachverhalt wird wiederholt erörtert. Auch fachwissenschaftliche "Einschübe", fachwissenschaftliche Details die (erst einmal) kaum oder nicht verstehbar sind, sollten nur "kreativ überflogen" werden. Auch ohne ein tieferes Verständnis lassen sich aus den allgemein verständlichen Text-Fragmenten wissenschaftliche Kernaussagen erkennen. Was alle Leser in jedem Fall so früh wie möglich sehen und realisieren sollen, ist die Tatsache, dass ohne Übertreibung, ohne "Schöntuerei", das anschauliche Denkmodell der Masse-Raum Kopplung und der daraus resultierenden exakten Berechnungen - im Vergleich mit nur genäherten, stark freie Parameter lastigen Standardmodellgleichungen - mathematisch extrem einfachst, formal-analytisch exakt und experimentell bestätigt werden. Ob und inwieweit (folgend) argumentativ begründete Bestandsaufnahmen in der Rezeption massentauglich sind, ist aus analytischer Sicht ohne Belang. Mit diesen Randbedingungen beginnt die interdisziplinär verständliche Wissensreise hier und jetzt...
|
|
|
|
|
statt 4
Grundkräften → Masse
-
Raum
-
Kopplung

![]()
|
|
|
|
|
Umfang und Art der Ausführungen Es existiert kein Anspruch auf Vollständigkeit. Übersteigerungen, plakative Aussagen und - hier und da - Satire, dienen der unterhaltsamen Wahrheitsfindung in einem, aus wissenschaftlicher Sicht, meist unwissenschaftlichen Umfeld. Diesbezügliche Textaussagen sollen als »Reflexionskeime« zum eigenständigen Nachdenken und Recherchieren anregen. Anders als ein Buch oder ein pdf-Dokument ist die vorliegende html-basierende Präsentation (quantitativ) in Buchstärke erst genannten deutlich überlegen. Quellenhinweise können durch Link-Klicks direkt gelesen und deren Inhalte aufgenommen werden, es lassen sich zum Verständnis Videosequenzen einbauen, nachträgliche Text-Korrekturen und Informationserweiterungen sind technisch schnell und einfach durchzuführen. Wiederholungen Zum Kennenlernen werden einige Sachverhalte und Denkanstöße an verschiedenen Stellen bewusst wiederholt. Der Leser mag selbst entscheiden, ob er bereits Bekanntes nochmals liest. Die Texte sind so geschrieben, dass mit etwas Geduld auch weniger vorgebildete Leser einen roten Faden aufnehmen können. Sollte, an der einen oder anderen Stelle, ein Begriff nicht bekannt sein, oder ein Resultat nicht sofort verstanden werden, so empfiehlt es sich erst einmal weiter zu lesen. Denn im weiteren Kontext wird das eine oder andere Unverstandene bereits verständlich.
Wikipedia
|

Was ich nicht weiß, macht mich nicht heiß oder so ähnlich...
|
Hier und da werden Wikipedia-Ausführungen zur Inhalts- und Begriffsbestimmung im Text angegeben. Dies sind jedoch meist die englischen Varianten. Wie informationsreduziert - umgangssprachlich ohne Übertreibung grottenschlecht - deutsche Wikipedia-Artikel im Vergleich mit den englischen sind, verdeutlicht exemplarisch: Fermi's interaction im Vergleich zu Fermi-Wechselwirkung Auch das so genannte Hierarchie-Problem des Standardmodells wird in der deutschen Wikipedia im Vergleich zur englischen unzureichend erklärt. Zum Verstehen, u.a. von Standard-Denkmodell-Unzulänglichkeiten gibt es zu extrem wichtigen Themen, nicht einmal eine deutsche Beschreibung, wie zur Physik jenseits des Standardmodells, siehe Physics beyond the Standard Model Sofern es sich um kosmologische Inhalte handelt, sieht die Situation folgendermaßen aus... Vergleiche exemplarisch die deutschen und englischen Wikipedia-Ausführungen zur Raumzeit. Vergleiche die deutschen und englischen Ausführungen zum Minkowski-Raum. Und vergleiche die deutschen und englischen Ausführungen zur Lorentz-Transformation. Hier fällt auf, dass der „Laie“ mittels der deutschen Wikipedia im wahrsten Sinne des Wortes unzureichend informiert wird. Es ist kaum zu glauben, dass die »Galionsfiguren der Raumzeit«, der deutsche Albert Einstein und der deutsche Hermann Minkowski waren. Warum ist die deutsche Wikipedia „so schlecht“ im Verhältnis zur englischen? Das Englisch die Sprache der Wissenschaft ist, daran kann es nicht liegen, da die Idee von Wikipedia ja die Vermittlung von Information sein soll. „Brauchen“ deutschsprachige Interessierte keine ausreichende, themen-adäquate Information? Kein Wunder, wenn sich die Leute alles Mögliche zu diesen Themen „zusammenspinnen“, da ihnen nicht einmal die notwendigen Grundlagen von deutschen Wikipedia-Autoren vermittelt werden. Bei Personeninformationen kann man kaum glauben, dass es sich um ein und dieselbe Person handelt. Siehe hier stellvertretend Augustin Jean Fresnel (1788 – 1827), deutsch, englisch, französisch. |
|
Meinungen sind keine Argumente Skepsis ist eigentlich eine gute "Sache". Aber, Skepsis wird dann zum Problem, wenn die Aufnahmefähigkeit des Betrachters dadurch signifikant gestört wird. Jemand der sich einem Denkmodell inhaltlich nähert und (wiederholt) die Frage stellt, ob das Denkmodell seinen eigenen bisherigen Vorstellungen entspricht oder anfängt selbst (ergänzend) zu spekulieren, bevor das Denkmodell hinreichend verstanden wurde, ist kaum in der Lage sich den neuen Gedanken mit der nötigen Aufmerksamkeit zu nähern. Die eigentlichen Probleme des Verstehens kommen dann, selbst bei einem leicht verständlichen Denkmodell mit wenig Mathematik, von der Egozentrik des Betrachters. Das zu jeder Meinung Gegner und Befürworter existieren, ist nichts Neues. Aus wissenschaftlicher und erkenntnistheoretischer Sicht sind jedoch subjektive Meinungen über physikalische Zusammenhänge kategorisch abzulehnen, da letztendlich eine Realphysik orientierte Beschreibung stets in Einklang mit der Beobachtung stehen muß und eine Meinung mit dieser Wissens-Normforderung kohärent ist oder nicht. Fatal wird es, wenn Betrachter Aussagen und Postulate bestehender Modelle als Grundlage der Bewertung des neuen Denkmodells "annehmen" respektive fordern. Nicht selten waren/sind die Betrachter gar nicht in der Lage die formalen Grundlagen und die Fülle an Inkonsistenzen bestehender Modelle zu erfassen. In der Regel sind dem Gros der Betrachter die Randbedingungen der bestehenden Modelle gar nicht (ausreichend) bekannt. |
|
|
|
|
|
|
|
ein überfälliges Rendezvous mit ursächlicher Rationalität
* ...und bitte
Alles, was Sie über Physik wissen müssen, um zu beginnen...
Die zeitabhängigen Elementarkörper-Entwicklungs-Gleichungen leiten sich aus der beobachteten Invarianz der (Vakuum-)Lichtgeschwindigkeit ab. Ein formal fundamentaler Unterschied zur (Speziellen) Relativitätstheorie respektive zur Lorentztransformation ist der wechselwirkungsnotwendige radialsymmetrisch-dynamische Charakter dieser Gleichungen.
Für ein anschauliches Verständnis und resultierend für die phänomenologisch begründeten Elementarkörpertheorie basierenden Gleichungen sind nachweislich weder eine substrukturierte Zeit noch mathematische Raum-Zeit-Konstrukte notwendig.
Die Elementarkörper-Theorie stellt einen Energie erhaltenden fundamentalen Zusammenhang u.a. zwischen dem «Phänomen Bewegung» und dem «Phänomen Raum» her.
Die Essenz der Fourier-Analysis als elementarer Bildungsbaustein
"Reine" SINUS-Funktion Das stetige „Analyse- und Synthese-System“ in Form der Fourier-Reihe respektive Fouriertransformation ist heute im Rahmen der "Modernen" Physik allgegenwärtig. Die Basis-Funktion ist die Sinusfunktion. Konsequent minimalistisch gedacht, ist es also nahe liegend, nicht die Fourier-Transformation als Methode der Fourier-Analysis als einfachste Abbildungsmöglichkeit zur Formalisierung zu Grunde zu legen, sondern minimalistisch die „reine“ Sinusfunktion selbst.
Masse-Raum Kopplung
"Am Rande bemerkt"...
(Die) »Elektrische Ladung« ist ein Sekundärbegriff der herrschenden Physik, der eine von der Masse (und dem Radius) des Ladungsträgers abgekoppelte "phänomenologische Entität" suggeriert. Elementarkörpertheorie basierend sind jedoch alle Ladungswechselwirkungen anschaulich auf Masse-Raum-Kopplungen zurückzuführen. Elektrische Ladungen im Elementarkörper-Denkmodell kommen als (formales) Resultat der Masse-Raum-Kopplung bequemerweise nur (implizit) über Funktionen der Sommerfeldschen Feinstrukturkonstanten α vor.
Beispiel Grundzustandsenergie des Wasserstoffatoms
Raumenergie = 0 Vereinheitlichte Korrespondenz Gibt man in die Gleichung [ER] für mx und r die Werte mG und rG ein, so wird die Raumenergie zu Null, gleiches folgt für mx= mUni(max): maximale Universumsmasse und rG= rUni(max) : maximaler Universumsradius. Hier kommt die Universalität und Skalenkorrespondenz zwischen dem kleinsten Elementar-Körper (Elementarquant G) und dem größten makroskopischen Gebilde (Kosmos), formal vermittelt durch die Gleichung [ER], deutlich zum Ausdruck.
Resultierend einige kosmische Zusammenhänge und Berechnungsergebnisse Wasserstoff ist mit Abstand die am häufigsten vorkommende Materieform des Universums. Wasserstoff macht ungefähr 90% der interstellaren Materie aus. Wie gezeigt wird, ist der im Universum omnipräsent vorhandene Wasserstoff u.a. die "Quelle" der 3K-Hintergrundstrahlung. Was könnte nahe liegender sein als die Alleinstellungsmerkmale des Wasserstoffatoms als Grundlage für die Verbindung zwischen dem »Längenkleinsten« und Universumsgrössen zu verwenden. Korrespondierend gedacht ist das Verhältnis von Protonenmasse zu Elektronenmasse (mp/me) ein maßsystemunabhängiger, einzigartiger Bildungsparameter. Eine Addition von »Längenkleinsten« und Universum macht keinen "beschreibenden" Sinn, weder phänomenologisch noch mathematisch, also kommt hier als "nächste einfache" mathematische Rechenoperation die Multiplikation in Betracht (rG · rUni). Die »längen-charakteristische« Grösse ist die Wasserstoff-Atom basierende Rydberg-Energie und daraus der inhärente Radius der Rydberg-Energie-Verkörperung: rRy. Dimensionsanalytisch kommt in der kleinsten Potenz (rRy/2) in der 2.Potenz vor, damit dies (rG · rUni) entspricht. Das Verhältnis (mp/me) beschreibt ein H-Atom, also folgt gemäß einfachster mathematischer Konstruktionsmöglichkeit : (rRy/2)² · (mp/me)² = (rG · rUni) [U1]. Die Grundgedanken, die zu der Gleichung [U1] führen, sind intuitiv-logisch. Jeder Folgegedanke ist - mit der strikten Vorgabe sowohl Realobjekt orientiert phänomenologisch als auch mathematisch minimalistisch zu sein - "zwingend". In der makroskopischen Masse-Raum gekoppelten Erweiterung läßt sich Gravitation anschaulich weitreichend konsistent formalisieren und führt zu analytisch exakten Berechnungen, wie beispielsweise zur Berechnung der (maximalen) Universums-Masse [mUni(max) ≈ 1,1829498·1053 kg muni(max) = runi(max) · (c²/γG) gemäß Forderung ER=0 ↑], der damit Masse-Raum gekoppelten inhärenten (maximalen) Größe des Universums : [rUni(max) ≈ 8,784775 ·1025 m]:
einem daraus assoziierten maximalen Universums-Alter von [tuni(max) ≈ 4,602881715·1017 [s] ~ 14,596 Milliarden Jahre] gemäß r(t) = rUni · sin(c·t/rUni) folgt: (π/2c) · rUni = tmax ...und beispielsweise zur Berechnung der Temperatur der Hintergrundstrahlung, basierend auf den Masse-Raum gekoppelten Proton-Elektron-Wasserstoff-Wechselwirkungs-Parametern in Abhängigkeit der Grundzustandsenergie etc. An dieser Stelle ergebnisorientiert (nur) so viel dazu: Die Temperatur der "3K"-Hintergrundstrahlung beträgt, gemäß Masse-Raum Kopplung basierender Proton-Elektron-Grundzustandswechselwirkung, ausgedrückt durch die Thermische De-Broglie-Materiewelle ~ 2,67342 °K [Gleichungen: λTHE und λT], mit der Annahme, dass Wasserstoff 100 % der interstellaren Materie ausmacht. In Gleichung [λT] ausgedrückt mittels rRy ↑ (siehe Rydberg-Energie ERy (Grundzustandsenergie des H-Atoms).
Da jedoch kosmisch nur ~ 90% der Materie Wasserstoff basierend ist, ergibt sich hier eine reale Unsicherheit von 10%, die sich offensichtlich nicht beseitigen lässt, da der Kosmos nicht zu einem 100%igen Wasserstofflabor modifiziert werden kann. Wie auch immer, der exakt berechnete (Wasserstoff basierende) Wert im Rahmen der EKT weicht nur um ca. 2% vom derzeitigen Wert des Kosmologischen Standardmodells mit 2,72548 ± 0.00057 K ab. ABER: Alle Standardmodell-Ansichten zur Hintergrundstrahlung "kranken" bereits daran, dass, unberechtigter Weise, "im Kern" der theoretischen Annahmen und Berechnungen, davon ausgegangen wird, dass das Universum ein perfekter Hohlraumstrahler ist. Historisches: Die Hintergrundstrahlung (CMBR) wurde zwar auch von der Urknall-Theorie vorhergesagt, aber wenig bekannt ist, dass die ersten Vorhersagen bei 50° K lagen und erst nachdem die Messwerte 1965 bekannt waren, wurde die Theorie "angepasst". Andere Wissenschaftler, die alternativ zur Urknall-These versuchten, die Theorie der Schwarzkörperstrahlung auf den Weltraum anzuwenden, errechneten Werte zwischen 0,75° K (Nernst 1938) und 6° K (Guillaume 1896). »Vordergrundproblematik« Bei allen Messungen zur Rotverschiebung und assoziierten 3-K-Hintergrundstrahlung sollte klar sein, dass der inhomogene Vordergrund in einem Simulationsmodell (Computerprogramm) "entfernt" werden muß, um das 3-K-Temperaturspektrum als solches aufzufinden. Nur wie soll das praktisch realisiert werden? Die Vordergrundsignale sind um einige Dimensionen größer als das zu messende "Ereignis" der Hintergrundstrahlung. Des Weiteren strahlen alle kosmischen Objekte auch im Infrarotbereich und die Intensitäten der Strahlquellen sind und bleiben geschätzt. Fazit Das Wasserstoff basierende EKT-Ergebnis resultiert phänomenologisch aus der Annahme, dass die Proton-Elektron-Wechselwirkung zu einem massegekoppelten Raum führt, der formal durch die Thermische De-Broglie-Materiewelle ausgedrückt wird. Die 3K-Hintergrundstrahlung respektive die Energie der 3K-Hintergrundstrahlung repräsentiert somit nicht ein expandierendes Raumzeit-Relikt des inflationären Urknalls, sondern das Ergebnis einer fortwährenden, statischen Wechselwirkung. Später mehr dazu. |
Makro- & Mikrokosmos im (Teil-) »Aphoristischem Bild«
![]() |

|
"Das Prinzip der Parsimonie kennt keine Koexistenz." Dirk Freyling 59ndf |
![]() |
Wortgewordenes
![]() |
|
|
|
Wir verfügen über keine allgemein anerkannte Wahrheitstheorie. Die Übereinstimmung von Aussage und Wirklichkeit kann nicht objektiv festgestellt werden. Dieser Sachverhalt wird insbesondere dann problematisch, wenn – wie im Fall der Standardmodelle - die Theorie bestimmt, was gemessen werden soll.
Es existieren zahlreich paradoxe Forderungen und Vorstellungen der Systemphysik, die auf Grund der erkennbaren Inkonsistenzen, Widersprüche, Wirklichkeitsleugnung und fehlender Phänomenologie eine rein wissenschaftliche Auseinandersetzung unmöglich machen. Nur an Rationalität "gekoppelte" Ironie und Satire schaffen hier eine ertragbare Diskussionsnähe. Daraus resultierende Vorteile aus Sicht eines ergebnisoffenen Erkenntnissuchenden: In einem motivierenden, konstruktiven Sinne enthalten die Standardmodelle so viele "Reflexionskeime" brachialer Inkonsistenzen und Widersprüche, dass es dem Konstrukteur eines Alternativmodells nie an (emotionaler) Energie fehlte bzw. fehlen wird. Da in den Denkmodellen der Quantenfeldtheorien (QED, QCD) und dem Kosmologischen Standardmodell keine Realphysik stattfindet, sind im Rahmen der Denkmodellalternative (Elementarkörpertheorie) phänomenologische Aspekte sozusagen aus der puren Notwendigkeit entstanden, erst zu denken und dann zu formulieren respektive zu formalisieren.
Form und Inhalt Es gibt nicht wenige Stellvertreter der "Modernen Physik" die vorliegende gestalterische Wahl kategorisch ablehnen. Es wird eine wissenschaftliche Präsentation verlangt, so wie man sie kennt, ansonsten wird »Alles« ungesehen respektive ungelesen als unwissenschaftlich bewertet. Diese Norm-Forderung ist jedoch inhaltlich belanglos, wenn man den dazugehörigen, andauernden, weltweiten "Feldversuch" betrachtet. Denn, auch dann, wenn Prof. Dr. »x...y...z« der Physik oder/und Mathematik ein "normgestaltetes" Dokument (»scientific paper«) präsentiert, wird er, sofern seine Denkmodellvorstellungen von den Standardmodellansichten signifikant abweichen, schlicht ignoriert, wie jeder Interessierte an zahlreichen Beispielen der "jüngeren" Wissenschaftsgeschichte selbst recherchieren kann. Aus Sicht des neuen Denkmodells werden schon "früh" im Text teils umfangreiche ergänzende geschichtliche sowie vergleichende Ausführungen zu den bestehenden Standardmodellen zum Lesen angeboten. Diese sind für das Verständnis des Denkmodells der Masse-Raum Kopplung im Sinne der Konsistenz, Phänomenologie und Formalisierung nützlich, aber - plakativ formuliert - nicht zwingend. Da diese Ausführungen den Lesern jedoch einen guten Überblick über die Beliebigkeiten, Inkonsistenzen, Widersprüche und teils esoterisch-metaphysischen SpekulationenBR des bestehenden Denkens in der theoretischen Physik geben, empfehle ich diese weitestgehend zu lesen. Tatsache ist, den wenigsten Interessierten, nicht einmal Physikern und Mathematikern, sind die zahlreichen - rational analytisch betrachtet - Absurditäten der Standardmodelle bekannt. Entsprechende »Informationseinschübe der Aufklärung« sind mit ☼ gekennzeichnet.
Stell' Dir vor es geht
Wie findet man schnellstmöglich heraus, ob es sich überhaupt lohnt, einem unbekannten physikalischen Denkmodell Zeit und Beachtung zu schenken? Es geht übergeordnet nicht um die sinnlose Frage, was (physikalische) Wahrheit ist, denn ein Denkmodell ist eben nur ein Denkmodell. Es geht aber sehr wohl um die ehrliche Frage, inwieweit ein gegenwärtiges Modell, beispielsweise zur Materiebildung, minimalistisch ist und zugleich eindeutige formalisierte Lösungen liefert, die sich als Meßwerte experimentell bestätigen lassen. Der einfachste und schnellste Weg ist ein Blick auf die aus dem Modell heraus gebildeten Gleichungen und die daraus ermittelten Ergebnisse, in Form von konkreten Werten für meßbare physikalische Größen. a) Existieren keine Modell basierenden formalisierten Berechnungen die mit meßbaren Werten korrespondieren, handelt es sich nicht um ein brauchbares physikalisches Erklär-Modell. b) Wurden diese experimentell bestätigt, so ist zumindest die erste Hürde genommen. Doch leider tendier(t)en viele Denkmodell-Gestalter dazu, in Anbetracht der geforderten Meßwertgenauigkeit, ihre Gleichungen ergebnisorientiert "weiter zu modellieren", ohne jedoch konsistente, nachvollziehbare Erklärungen innerhalb ihres Denkmodells dafür zu liefern. Beziehungsweise, es werden (weitere) freie Parameter eingeführt, die gleichfalls ohne Erklärung ergebnisorientiert in ihrer "Theorie" zum ersehnten, bekannten Meßwertziel führ(t)en. Sind solche Modellierungen nicht vorhanden und wurden auch keine (weiteren) freien Parameter eingeführt, so lohnt sich ein Blick auf das Denkmodell.
|
Masse-Raum gekoppelte (erste) Motivationshappen
![]() |
|
[ Jäger und Sammler AlexDirkFreyling no1 c-print director of photography : adf foto by T.B. 47ndf ] |
|
Vorweg, an dieser Stelle ohne weitere Erklärungen, vier weitere Beispiele, wie einfach sich Physik formalisieren, herleiten und berechnen lässt, "wenn man weiß, wie es geht"...
Wie konsistent und "einfach" realobjektorientierte Grundlagenphysik sein kann, verdeutlichen vier Beispiele im aphoristischen Bild ... |

|
Bedeutung der Elementarkörperüberlagerung im Hinblick auf Wechselwirkungen Die Berechnung von Grundzustandsenergien ist weder quantenmechanisch noch quantenelektrodynamisch begründet, da, sowohl phänomenologisch wie auch energetisch, ein signifikant maßgebender Anteil von dem Verhältnis der wechselwirkenden Massen bestimmt wird. Es gibt weder QM und schon gar nicht QED basierend die Möglichkeit die reduzierte Masse mred = mA / (1 + mA/mB) quantenfeld-phänomenologisch einzuführen. Der reduzierte Masseterm mred = mA / (1 + mA/mB) wirkt sich auf die energetischen Verhältnisse aus. Das wird „wertemäßig“ besonders deutlich, wenn man die Massenverhältnisse beim myonischen Wasserstoff betrachtet, da der reduzierte Masseterm dort deutlich größer ist als beim Wasserstoffatom. Die reduzierte Masse ist – ob man es wahr haben will oder nicht – im Rahmen der Standardphysik historisch aus der Himmelsmechanik abgeleitet. Das bedeutet im Klartext, dass im Sinne atomarer Wechselwirkungen, diese weder QM noch QED begründet ist. Folgt man dem Wikipedia-Eintrag zur »reduzierten Masse« wird der hier relevante energetische Aspekt nicht (nachvollziehbar) thematisiert. Dort beginnen die Ausführungen mit: „Die reduzierte Masse ist eine fiktive Masse, die unter bestimmten Voraussetzungen die Eigenschaften zweier Einzelmassen eines Systems repräsentiert….“ Energetisch handelt es sich bei der Berechnung der Grundzustandsenergie zweier wechselwirkender Körper, beispielsweise des Protons mit einem Elektron (Wasserstoffatom), jedoch um nichts Fiktives. Um überhaupt phänomenologisch verstehen zu können, das sich die Einführung des Terms mred = mA / (1 + mA/mB) begründen lässt, existiert eine solche Anschauung ausschließlich im Rahmen der Elementarkörper-Wechselwirkungen.
Neutron: Proton-Elektron basierend im Bild der Elementarkörper(-Theorie)
Theoretische Berechnung der Neutronenmasse
Es wurden zur Berechnung der Neutronenmasse folgende Werte verwendet: me = 9,1093837015e-31 kg : Elektronenmasse me(q0)= (4/α) · me = 4,99325398628715e-28 kg mp = 1,67262192369e-27 kg : Protonenmasse c = 2,99792458e+08 m/s α = 0,0072973525693 0,77010243595795497 = 1/(1 + me(q0)/mp) ∆m = 1,4056007019747e-30 kg[0] ∆Eee = 1,2632909101359e-13 J ~ 0,78848416793 MeV
|
![]() |
|
Warum glauben so viele Menschen, dass die bestehenden theoretischen Modelle sehr gut sind? Warum denken so viele Wissenschaftler, dass es keine besseren Alternativen gibt?
Psychologie der Masse(n)
Es wäre naiv und töricht weit verbreitete Erwartungshaltungen zu ignorieren. Es ist nicht leicht einem Menschen, der zumindest im Kern einer Sache Realitätsnähe und Verhältnismäßigkeit erwartet, zu erklären, dass dem oft nicht so ist, insbesondere wenn es sich um wissenschaftliche Themen handelt. Das betrifft sowohl Laien als auch Wissenschaftsexperten. Besonders eklatant ist der Umstand, dass im Vergleich zu organisierten Religionen, die Theoretische "Grundlagen-Physik" samt assoziierter theoriebeladener Experimentalphysik suggeriert, ein hohes Maß an Objektivität und Glaubensfreiheit zu verkörpern. Und so sieht es auch die interessierte Bevölkerung. Physik ist sicherlich in vielen Köpfen einer der letzten Schau-Plätze an/auf denen man Glaubensbekenntnisse statt Wissenschaft vermutet. Ein weiterer wichtiger Grund ist inhaltlich die Tatsache, dass kaum jemand weiß, worum es in den Standardmodellen geht.
Populärwissenschaftliche Ausführungen zur Allgemeinen Relativitätstheorie (ART) und in einem größeren Rahmen des Standardmodells der Kosmologie (Lambda-CDM-Modell) sind allesamt unzulässige Interpretationen, da die zum Verständnis notwendige Komplexität nicht berücksichtigt wird. Das ist so, als wenn jemand chinesische Schriftzeichen einem diesbezüglich nicht schriftkompetenten Publikum zur Anschauung und Diskussion vorstellt. Da kann dann alles und nichts hineininterpretiert werden, da niemand die Voraussetzungen zur Dekodierung sowie niemand die Voraussetzungen der Schriftgestaltung hat. Plakativ formuliert: In der ART führen auch Schreibfehler zu neuen Lösungen und das gilt (bereits) für Leute, die Differentialgeometrie professionell betreiben. |
![]()

Mythos »Theorieschaft« [Theorie schafft]
|
Praktisch orientierte Ägypter, Römer und Griechen erschufen lange vor Einführung der Integral- und Differentialrechnung, lange vor theoretischen Modellen zur Tragfähigkeit und Biegemöglichkeit von Balken und Säulen, komplexe Bauwerke, deren Fragmente teils auch heute noch zu besichtigen sind. Nicht die Theorie zum Halbleiter schuf den Halbleiter, der Halbleiter als elektrotechnisches Bastel- und Tüftler-Objekt ließ Spielraum für theoretische Betrachtungen. Funktionierende Technik als Innovation Angewandter Physik bedarf und bedurfte versuchsfreudiger „Macher“, (Miß-)Erfolge (trial & error) zeigten den Weg. Physik und Philosophie - Thesen und Realität
„Die Physik beantwortet Wie-Fragen, die Philosophie
beantwortet Warum-Fragen.“ Um übergeordnet verstehen zu können, warum sich das Standardmodell der (Elementar-)Teilchenphysik (SM) und das Kosmologische Standardmodell (ΛC[old]D[ark]M[atter]-Modell) ohne große Gegenwehr etablieren konnten, ist zu bemerken, dass diese Modellbetrachtungen für die Realphysikforschung sprich Material- und Anwendungs-Forschung keinerlei Bedeutung hatten und haben. Das gilt sowohl für die „Diagnostik“ (Materialuntersuchungen), als auch für die Konstruktion von (Material-)Anwendungen (später „am Rande“ mehr dazu). Tatsache ist : Theoretische Modelle hink(t)en stets der (meßbaren) Realität hinterher. Der Mythos, das hochkomplexe, mathematische Theorien die Wirklichkeit beschreiben und Neues generieren konnten und können, lebt. Dass jedoch die Voraussagefähigkeiten der theoretischen Modelle, bei genauer Sicht, Ergebnisse von immer wieder (neu) durchgeführten Nachkorrekturen sind, erschließt sich den meisten Interessierten nicht. Realobjekt-Interpretationen werden im Rahmen der Standardmodelle aus mathematisch formalisierten (mitunter esoterischen) [BR]) Konzepten geboren. Theoretisches wurde über Jahrzehnte immer wieder genaueren Meßergebnissen angepasst. Sei es durch Zusatzrechnungen, neue Quantenzahlen, neue Wechselwirkungspostulate und neuen Substrukturthesen, sowie extrem zeitintensiven, iterativ-algorithmisch nachkorrigierten Ergebnissen mittels Cluster-Rechenanlagen respektive »Super-Computern«SC.
Experimentelle Seite Im heutigen Standardmodell orientierten Denken werden theoretische Befunde postuliert, nach denen dann mittels computersimulierten „Versuchsaufbauten“ selektiv gesucht wird. Diese stark theoriebeladene Suche kennt keinen einzigen direkten Nachweis und lässt sich auf Grund der vielen freien Parameter, nicht detektierbaren postulierten Theorieobjekte und deren postulierten Kaskadenereignissen beliebig ergebnis-interpretierenSME.
In der modernen Physik geht es bei genauer Betrachtung häufig um die Bewahrung bestehender Denk-Dogmen. Argumente der Vernunft werden Denkgewohnheiten und Vorurteilen geopfert. Ein psychologischer Grund liegt im Glauben und Hoffen. Die Mehrzahl der „forschenden“ Physiker sind nahezu ausnahmslos Anhänger der Quantenfeldtheorien. Ein echtes Verständnis dieser undurchsichtigen Theorien ist nicht möglich. Aufbauend auf unverstandenen Arbeiten anderer planen sie Experimente, für die es nur zwei Resultate gibt: Erfolg und Bestätigung oder Misserfolg und kurze Ratlosigkeit, die dann in der Regel in neuen Teilchen, neuen Quantenzahlen und Theorieerweiterungen endet(e). Wie wir alle tendieren auch die (theorieaffinen) Experimentatoren dazu, einen Misserfolg bewusst sowie unbewusst zu vermeiden und weichen einer Widerlegung ihres Theorie beladenen Glaubens durch ein Experiment (oder durch Denken) instinktiv aus. Anstatt die Experimente auf das Wesentliche zu beschränken und sie so einfach und effizient wie möglich zu gestalten, wird oft vom Wesentlichen abgelenkt. Moderne Theorien basierend auf Quantenfeldtheorien haben alle eins gemeinsam: Sie entpuppen sich nicht selten in theorierelevanten Experimenten, "früher oder später", als Mogelpackungen. Statt nun die Theorie zu verwerfen, werden lediglich Theorie-Korrekturen vorgenommen. Das können beispielsweise Postulate über neue virtuelle Teilchen sein, die "kurzzeitig" den Energieerhaltungssatz mit Hinweis auf die Heisenbergsche Unschärferelation verletzen. Obwohl diese Verletzung den wichtigsten Erhaltungssatz der Physik ignoriert. In dem Zusammenhang ist es erstaunlich, wie viele „Interessierte“ und „Wissenschaftsprofis“ festen Glaubens sind, Quantenfeldtheorien wären experimentell überprüfbare, innovative theoretische Konzepte, die praktische Anwendungen generier(t)en. |

[ FKK "Formalisierung ist nicht »Alles«" Frau Kunst Kater c-print adf ]

|
SM steht übrigens nicht nur als Abkürzung für das Standardmodell der Teilchenphysik sondern auch für Sadomasochismus, sowohl im Deutschen als auch im Englischen. In beiden Fällen besitze ich u.a. exzellente analytische, theoretische, kritische sowie ("angesiedelte") gestalterische Fähigkeiten, wie noch später ergänzend erörtert wird. |
![]() |
|
|
Interdisziplinäres
|
Auch wenn vermeintlich berechtigt kritisiert werden könnte, das teils sehr ausführliche menschliche, geschichtliche und politische Aspekte im Folgenden nicht zum Kern-Thema der Ausführungen eines Paradigmenwechsels gehören (sollten), so ist diese Kritik " jedoch zu kurz gedacht", denn Wissenschaft war und ist ein Abbild gesellschaftlich-sozialer Macht-Verhältnisse. Kirche und Staat (früher auch Herrscher, wie Kaiser, Könige und der angesiedelte Adel) finanzier(t)en, einst wie heute, insbesondere die Denkmodell-Wissenschaft. Wobei seit Jahrzehnten »"moderne" Theorien« fast ausschließlich durch öffentliche Mittel der steuerzahlenden Allgemeinheit finanziert werden.
Zusätzliche
(allgemeine/interdisziplinäre) Ausführungen sind mit
Letztendlich entscheidet jeder selbst, ob fragmentarisch eingefügte, begleitende Inhalte gelesen werden, die nicht unmittelbar mit der Physik und Mathematik der Standardmodelle und dem Prinzip der Parsimonie zusammenhängen. Im Zweifelsfall ist »Scrollen« immer möglich.
|

Lassen wir - schon hier und jetzt - "die Katze aus dem Sack"...
![]()
|
Erweiterung des Energieerhaltungssatzes Die im Folgenden "beschriebene" Materie-Raum Kopplung führt zu einer fundamentalen Erweiterung des Energieerhaltungssatzes. Mit der Konsequenz, dass nicht nur Masse, sondern auch der Raum selbst eine Energieform ist. Bedeutet: Das sich Masse in Raum und Raum in Masse transformieren lässt.
Herleitung des erweiterten Energieerhaltungssatzes
Weiterführend resultiert, aus der Energie-Gesamtbetrachtung, das (auch) Information eine Energieform ist. Experimentelle Sachlage An dieser Stelle sei bereits bemerkt, das alle - und ich meine wortwörtlich alle - bekannten Experimente zur Natur der Materie und deren Wechselwirkungen die Materie-Raum Kopplung bestätig(t)en. Das war weder im Rahmen der Quantenmechanik (QM) noch im Rahmen der Relativitätstheorie (RT) und folgend unter dem Denk-Dogma der Standardmodelle, mit dem Postulat eines Materie entkoppelten Raumes und dem postulierten Neutrino als nahezu nicht wechselwirkenden Energieträger, erkennbar. Es konnte offensichtlich nicht einmal gedacht werdenNB.
Die zeitabhängigen Elementarkörper-Entwicklungs-Gleichungen leiten sich aus der beobachteten Invarianz der (Vakuum-)Lichtgeschwindigkeit ab.
Der fundamentale Unterschied zur (Speziellen) Relativitätstheorie respektive zur Lorentztransformation ist der wechselwirkungsnotwendige radialsymmetrisch-dynamische Charakter dieser Gleichungen.
Für ein anschauliches Verständnis und resultierend für die phänomenologisch begründeten Elementarkörpertheorie basierenden Gleichungen sind nachweislich weder eine substrukturierte* Zeit noch mathematische Raum-Zeit-Konstrukte notwendig.
Besondere physikalische und epistemologische Bedeutung erlangt das Modell der phänomenologisch begründeten Masse-Radius gekoppelten Elementarkörper durch die Ergebnis-Genauigkeit und Einfachheit der resultierenden Gleichungen, die stets auf leicht verständlichen, konsistenten Denkansätzen beruhen. Die zugrunde liegenden Gleichungen sind korrespondierend skalen- und mengeninvariant.
Masse-Radius-Konstanten-Gleichung Einfache Herleitung der Masse-Radius-Konstanten-Gleichung [F1] Betrachten wir das Plancksche Wirkungsquantum h als kleinste skalare Wirkung, so hat diese Wirkung die Dimension Energie mal Zeit. Diese Aussage ist nicht trivial, da das Plancksche Wirkungsquantum auch der kleinsten Wirkung des axialen Drehimpulsvektors entsprechen könnte. Division durch die Zeit ergibt eine Energie. Setzen wir für die Energie, die Masse abhängige Ruhe-Energie E0 = m0c² ein, so ergibt sich für jede Ruhe-Masse eine spezifische Zeit t(m0). Diese Zeit lässt sich auch durch die Comptonwellenlänge λ0 der Ruhemasse ausdrücken.
t(m0) = h/(m0c²) = λ0/c [tm0]
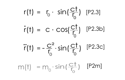
Betrachten wir nun die Elementarkörper-Entwicklungsgleichung r(t) = r0·sin(ct/r0): Der Elementarkörper ist dann voll ausgebildet, wenn der Sinus von (ct/r0) gleich eins ist, dass ist für (ct/r0) = π/2 der Fall. Daraus resultiert eine vom maximalen Elementarkörper-Radius r0 abhängige Entwicklungszeit t0...
t0= (π/2)(r0/c) [tr0] Gleichsetzen von t(m0) und t0
oder "etwas anders" betrachtet:
Licht & Materie Eine grundsätzliche Elementarkörper basierende Denkmodell-Forderung besteht darin, dass möglichst minimalistische Gleichungen, sowohl das masselose Photon als auch massebehaftete Materie abbilden. Die Entstehungsgleichungen r(t) = r0·sin(c ·t/r0) und m(t) = m0·sin(c·t/r0) leisten genau das.
Information als materieller Zustand = Elementarkörper Zustand als Information = Photon
Die zeitlose Lichtgeschwindigkeit - als Zustand reiner Bewegung - steht nicht im Widerspruch mit der raumgekoppelten Materie-Energie-Verkörperung.
Standardmodell-Irrglaube Aus Sicht einer nur an Masse gekoppelten Energie, erschien respektive erscheint den so Denkenden, dass - insbesondere bei TeilchenzerfällenTZ - bezüglich der Massenbilanz, Energie verloren gegangen ist. Daraus resultierte (fatalerweise) die Neutrinothese.
Konsequenzen der beobachtbaren Masse-Raum Kopplung Bei allen "Teilchenzerfällen" (richtiger Teilchenumwandlungen) wird masse-abhängige Energie in raum-abhängige Energie umgewandelt. Der Energieerhaltungssatz der herrschenden Physik ist schlicht falsch, da dieser nur an Masse gekoppelte Energie berücksichtigt. Was in allen Umwandlungs-Experimenten beobachtet wird, ist eine Abnahme der Masse. Die Beobachtung ist in voller Übereinstimmung mit der Masse-Raum gekoppelten Gesamt-Energiebilanz.
Die Neutrinothese und die darauf aufbauende Schwache Wechselwirkung sind gegenstandslos. Somit kollabiert das assoziierte Standardmodell der Teilchenphysik (SM).
In den folgenden Gesamtausführungen wird u.a. argumentativ begründet und experimentell bestätigt, dass es keine Neutrinos gibt.
Die Neutrino-These ist haltlos und wurde bzw. wird - bei detaillierter, genauer Betrachtung - auch experimentell nicht bestätigt. Warum die Materie-Raum Kopplung - wortwörtlich - als naheliegende omnipräsente Versuchsinterpretation nicht von den Experimental- sowie Theoretischen Physikern »(SM) theoriebeladen« wahrgenommen wurde, ist somit zum Standard-Modell-Verständnis der Physik (zwingend) "Gegenstand" des Folgenden. |
Neutrino-Psychologie
|
Hier haben wir eine konkrete Situation vorliegen, die äußerst schwer zu „verkraften“ ist. Psychologisch erst einmal nahezu unlösbar, weil sich so gut wie niemand vorstellen kann, dass eine tragende Hypothese eines über Jahrzehnte etablierten Denkmodells nachweislich falsch ist und als solche nicht korrigiert wurde. Zigtausende, gut ausgebildete Wissenschaftler über mehrere Generationen leben und arbeiten mit einer gravierenden Falschaussage? Viele Theoretische Physiker, insbesondere des SM, werden ungesehen der Argumente die Behauptung, das es keine Neutrinos gibt, gar nicht wahrnehmen wollen. Auch Laien und Physiker, die nicht mit dem Formalismus des SM vertraut sind, können sich schlicht nicht vorstellen, dass dies möglich ist. Man unterstellt dem kritischen Betrachter, der auf die nachweisbaren Zusammenhänge aufmerksam macht, dass dieser etwas übersehen hat, emotional begünstigt durch den Umstand, dass man ja selbst nicht über die nötige mathematisch-formale Sachkenntnis verfügt. Das sind äußerst schwierige Randbedingungen aus Sicht realitätssuchender Aufklärung. Es ist erst einmal davon auszugehen, dass sowohl die Protagonisten der Standardmodelle sowie deren Apologeten, Epigonen und Fans, die »Neutrino-Nichtexistenz« als Hirngespinst eines Außenseiters (im heutigen Sprachgebrauch auch als Verschwörungstheoretiker benannt und bekannt) ablehnen. Es liegt außerhalb ihrer Vorstellungskraft, dass Neutrinos nicht existieren. Nützen wird ihnen diese Haltung perspektivisch jedoch nichts, da die Masse-Raum Kopplung souverän mit plausibler, phänomenologisch begründeter »formaler Leichtigkeit« und experimentell bestätigt, letztendlich genauso „wirkt“, wie einst das »Heliozentrische Weltbild« gegenüber der »Geozentrik«. Die experimentellen Sachverhalte waren zu jedem Zeitpunkt allen bekannt. Es war und ist somit, insbesondere aus rational-analytischer Sicht, äußerst befremdlich, warum die »Gemeinde« der Physiker vollkommen irrational diese ausblendet(e). Der Begriff »Gemeinde« ist hier nicht zufällig gewählt. Physiker agier(t)en wiederholt als religiös Gläubige, wie noch erörtert wird. Um das Neutrino-Existenz-Problem argumentativ verständlich zu machen, ist es sehr wichtig eine der absurdesten (Fehl-)Interpretationen der "Modernen" Physik nachhaltig verstehen zu können.
[Auf diesen extrem wichtigen experimentell basierenden respektive meßtechnisch bestätigten Aspekt wird etwas später im Text nochmals "unter" »Warm up" zum Paradigmenwechsel« explizit hingewiesen. Also erst die Information hier aufrufen oder erst einmal weiterlesen, ist letztendlich »leser-optional«.] |
|
Das folgend beschriebene alternative Denk-Modell (Elementarkörpertheorie, kurz EKT) basiert plakativ-psychologisch auf der Annahme, das deutlich einfachere, konsistente Materie-Beschreibungen und daraus resultierend einfache Formalisierungen existieren, als in den Standardmodellen annonciert. Die folgende Bemerkung von Karl Popper (1902 - 1994) adressiert das psychologische Problem des »modernen Wissenschaftlers« im Rahmen hochkomplexer, mathematischer Modellvorstellungen: ..." Unsere Untersuchung läßt erkennen, dass selbst nahe liegende Zusammenhänge übersehen werden können, wenn uns immer wieder eingehämmert wird, dass das Suchen nach solchen Zusammenhängen ‘sinnlos’ sei." Karl Popper (1902 - 1994), Logik der Forschung. 9. Aufl. Mohr, Tübingen 1989, S. 196.Hrsg. E. Botcher: Die Einheit der Gesellschaftswiss. Bd. 4; The Logic of scientific discovery. (1935); 2nd Ed. London , New York : Basic Books 1959. "Wir kennen die „Beweggründe“ der Natur nicht. Wollen wir uns die Möglichkeit offenhalten, mehr von ihrem Geheimnis zu erfahren, dann müssen wir lernen, auch Wege zu überdenken, die wir unbewußt bisher ausgeschlossen haben, weil wir zu voreilig diese Wege für „undenkbar“ hielten." Rudolf Kießlinger (1921 - 2011)
|
|
|
![]() |
|
|
|
Themeneinstieg(s)verschachtelung Die Sachsituationen als solche sind zwar aus analytischer Sicht - argumentativ begründet, sowohl theoretisch als auch experimentell - relativ einfach zu verstehen. Die "Schwierigkeiten" kommen hier mit den zahlreichen Möglichkeiten, einen Anfang zu machen. Für ergebnisoffene, professionelle »Physiktreibende« stellt sich die Situation - u.a. im Hinblick auf die initiale Grundlagenvermittlung - anders da, als für Interessierte ohne Fachwissen. In beiden Fällen bleibt jedoch - auch dann noch, die Beliebigkeit der Reihenfolge. Ich könnte dem neugierigen, ergebnisoffenen Theoretischen Physiker, ohne viele Worte zu machen, beispielsweise anhand von direkten Vergleichsaspekten der Herleitungen und Formalisierungen und den daraus resultierenden Voraussagemöglichkeiten, direkt aufzeigen, warum die Standardmodelle im Sinne des »Prinzips der Parsimonie« Verlierer sind. Um den gleichen Sachverhalt »mit Theoretischer Physik weniger "ausgestatteten" Lesern«, zu vermitteln, bedarf es erst einmal exemplarischer Bewusstseinsmachungen, u.a. wie beliebig und aussagelos die Standardmodelle bei genauer Sicht eigentlich sind. Der folgende »Mittelweg« zum Verständnis des notwendigen Paradigmenwechsels ist so gestaltet, dass »hier und da« punktuell entschieden werden kann, was zum Erstverständnis gelesen wird. Es folgen zu allen wichtigen Aspekten des Denkmodells Wiederholungen im Folgetext. |
![]() |
|
|
"Warm up" zum Paradigmenwechsel
respektive
"Vorspiel" - Gedanken zum Paradigmenwechsel
...noch dürfen Protagonisten, Epigonen und Apologeten der Standardmodelle hoffen,
dass es sich hier nur um einen Meinungsartikel oder gar Satire handelt...

Der Paradigmenwechsel
ein überfälliges Rendezvous mit ursächlicher Rationalität
|
Da Mathematik nicht zwischen Staub und Staubsauger unterscheiden kann, ist in einem allgemein verständlichen Denkmodell Mathematik nur Mittel zum Zweck. Nichts weiter als ein plausibilitäts-resultierendes, praktisches Ordnungs- und Formalisierungsinstrument.
Des Weiteren: Es ist alles andere als trivial, Raum und Zeit als physikalische "Gegenstände" zu betrachten. Raum und Zeit sind primär "Ordnungsmuster des Verstandes". Um aus diesen Ordnungsmustern Physik zu "erhalten", bedarf es zwingend phänomenologischer Betrachtungen und Erklärungen. Menschen im Allgemeinen und Wissenschaftler im Speziellen sind geprägt durch historisch entstandene Denknormen. Hin und wieder ändern sich diese, wie am Anfang des 20.Jahrhunderts. Relativitätstheorie (RT) und Quantenmechanik (QM) bilden seit nun mehr als 100 Jahren die, zwar wenig anschauliche, aber formale Denk-Grundlage für die physikalische Theorie-Welt. Insbesondere die Voraussagefähigkeiten der Quantenelektrodynamik (QCD) sowie der Quantenelektrodynamik (QCD) sollen ein "sehr gutes" Argument für die "Richtigkeit" dieser Theorie(n) sein. Doch das diese Voraussagefähigkeiten, bei genauer Sicht, Ergebnisse von immer wieder (neu) durchgeführten Nachkorrekturen sind, wissen viele nicht respektive erschließt sich den meisten Interessierten nicht. Theoretisches wurde über Jahrzehnte immer wieder genaueren Meßergebnissen angepasst. Sei es durch Zusatzrechnungen, neue Quantenzahlen, neue Wechselwirkungspostulate und Substrukturthesen. Dies führte letztendlich u.a. zur Fragmentierung der elektrischen Elementarladung (siehe Quarks), die jedoch experimentell nie als solche fragmentiert in Erscheinung trat und tritt. Wie sehen die Standardmodell-Ergebnisse wirklich aus? Sparen wir uns an dieser Stelle erdachte Details, wie Gluonenpostulat, die postulierte Polarisation des Vakuums (spontane Bildung von virtuellen Elektron-Positron-Paaren und virtuellen Photonen) oder die Quark-Antiquark-Paar-These, so stellen wir fest, dass Quarks-Massen nur etwa 1% der Nukleonenmassen (Proton, Neutron) ausmachen. Der "Rest" ist unbestimmte Bindungsenergie. Das bedeutet, dass nach dem bekannten Masse-Energie-Äquivalenzprinzip Nukleonen fast gesamtheitlich aus phänomenologisch unbestimmter Bindungsenergie bestehen. Mit den Worten Richard Feynmans: "Es ist wichtig, einzusehen, dass wir in der heutigen Physik nicht wissen, was Energie ist." "It is important to realize that in physics today, we have no knowledge of what energy is." Noch gravierender ist die Tatsache, dass diese (Protonen, Elektronen, Bleikerne, ...) in üblichen Hochenergieexperimenten auf fast Lichtgeschwindigkeit beschleunigt werden, bevor sie kollidieren. Das bedeutet, es kommt zur Bindungsenergie auch noch eine beträchtliche Menge an äußerer Energie hinzu. An dieser Stelle ist das komplexe Glaubensmärchen jedoch noch nicht am Ende. In einem größeren Bild des Kosmologischen Standardmodells (ΛCDM-Modell) wird postuliert, dass die sichtbare Masse wiederum nur einen kleinen Teil der Masse im Universum ausmacht. Größtenteils besteht das Universum für heutige Standardmodell-Gläubige aus »Dunkler Materie« und »Dunkler Energie«. »Dunkel« steht hier für nicht nachweisbar/nicht detektierbar. Humor ist, wenn man trotzdem lacht. Unter diesen Randbedingungen entbehrt es nicht einer gewissen Ironie respektive Komik, wenn die so begründete Systemphysik von notwendiger Energieerhaltung "spricht".
Folgende widersprüchliche Aussagen des Standardmodells der Elementarteilchenphysik (SM) kommen möglicherweise in dieser "Informations-Tiefe" für einige Leser etwas früh, doch lassen sich an dem Neutrino-Beispiel wesentliche Inkonsistenzen und offensichtliche Widersprüche des SM unmißverständlich aufzeigen. Allgemeine Vorbetrachtungen Ein Experiment braucht zu seiner Konzeption eine konkrete Fragestellung. Ist die Fragestellung das Ergebnis eines mathematischen Formalismus so ist das Versuchsergebnis entsprechend theoriebeladen. Wenn dann noch die messbaren Ergebnisse vorselektiert und nur indirekt mit den postulierten Theorieobjekten „verbunden“ sind, ist der Interpretations-Beliebigkeit nichts mehr entgegenzusetzen. Die so theorieinduzierte, „erfundene“ Wissenschaft ist dann nichts weiter als ein (dogmatischer) Einigungsprozess.
Ohne das an dieser Stelle bereits im Detail auszuführen, ist (auch) die Neutrinothese eine "energierettende" Hilfserklärung mit weit reichenden, fatalen Konsequenzen. Tatsache ist: Auch für Neutrinos gilt: Es gibt keinen einzigen direkten Neutrinonachweis. Es handelt sich stets um stark theoriebeladene Versuchsergebnisinterpretationen. Was "ES" seit Jahrzehnten gibt, sind eine Vielzahl von Versuchsaufbauten und theoriebeladene Interpretationen zu indirekten wunschgemäßen Neutrinonachweisen. Warum Neutrinos so beliebt sind, liegt, materiell gesehen, an der assoziierten Neutrino-Industrie. Es lassen sich gefahrlos Forschungsgelder für theoretische Spekulationen und Neutrinoexperimente abgreifen, da die Natur der Neutrinos „in den Sternen steht“. Der postuliert extrem kleine Wechselwirkungsquerschnitt macht Neutrinos „unsichtbar. Somit lassen sich alle Bemühungen, ob in Form theoretischer Konstrukte zum unsichtbaren Verhalten oder in Form von „Neutrino-Nachweis-Maschinen“ beliebig ausarbeiten und konfigurieren, ohne argumentative Gegenwehr befürchten zu müssen, also im wahrsten Sinne des Wortes honorieren.
Sein oder nicht sein? Um eine lange Denkmodellgeschichte so kurz wie möglich zu machen, kommen wir gleich zum Kern des Paradigmenwechsels bezüglich der Makrokosmos-Beschreibung. Das derzeitige Standardmodell der Kosmologie (ΛCDM-Modell) geht – einfach formuliert - davon aus, dass es im Rahmen der Raumzeit-Expansion eine so genannte inflationäre Phase gab, in der die »Raumzeit« materielos mit vielfacher Überlichtgeschwindigkeit expandierte. Das ist nur möglich, wenn man die »Massen des Raumes« von diesem trennt. Die heutigen Denkmodelle zur Materiebildung setzen also eine Trennung von Masse und Raum voraus. Im Rahmen des vorliegenden Denkmodells der Masse-Raum-Kopplung werden diese Annahmen "verworfen" und argumentativ durch deutliche einfachere ersetzt, u.a. mit dem formalisierten Ergebnis extrem genauer Voraussagen bezüglich experimenteller Größen und Werte.
Raum - Materie - (Ent-)Kopplung Um zu verstehen, warum die Standardmodelle, genauer die Entwickler und heutigen Protagonisten, davon ausgingen respektive ausgehen, das man (den) Raum von (der) Materie entkoppeln kann, bedarf es zum Verständnis einiger Überlegungen. Erst einmal ist festzustellen, das im Rahmen der Standardmodelle diese Entkopplung nicht nur möglich, sondern zwingend ist, wie folgend erörtert wirdMF. Wenn man so will, hat das SM "stillschweigend" diese primär postuliert "kosmologische Entkopplung" übernommen.
Standard-Denkmodellanatomie - "Vorspiel-Gedanken" [MF] Das führt u.a. zu folgender, extrem wichtiger Antwort auf die Frage: Was bleibt von der Allgemeinen Relativitätstheorie (ART) respektive dem daraus resultierenden Standardmodell der Kosmologie (ΛCDM-Modell)? Die englische Wikipedia weist, anders als die deutsche Version, auf den wesentlichen Aspekt des Modells hin: "Das Lambda-CDM, Lambda Cold Dark Matter oder ΛCDM-Modell ist ein mathematisches Modell der Urknalltheorie." "The Lambda-CDM, Lambda cold dark matter or ΛCDM model is a mathematical model of the Big Bang theory."
Offensichtlich ist nahezu niemandem klar, ob nun Laie oder Theoretischer Physiker, was »mathematisches Modell« hier bedeutet. Plakativ formuliert bedeutet es: Das einzig "Wahre" in diesem Modell ist die Differentialgeometrie. Alles andere in dem Modell sind Spekulationen, empirisch unbegründete Postulate und dies »Alles« aufbauend auf freien Parametern (wie später erklärt wird). Die Geschichte der Urknalltheorie ist so verlaufen, ohne das an dieser Stelle bereits näher auszuführen, dass neue hypothetische „Objekte“ eingeführt werden mussten, für die es keine Belege gab und nach wie vor gibt, außer dass sie die zugrunde liegende Theorie rette(te)n. Der Begriff »Inflation«, der ein Feld und eine Energie beinhaltet, die völlig unbekannt sind, wurde Anfang der 1980er Jahre eingeführt, um den Urknall trotz sehr schwerwiegender Widersprüche in der Beobachtung zu halten. Bald darauf kam die nichtbarionische »Dunkle Materie« als postulierte Theorie-"Entität" hinzu und in den 1998er Jahren die »Dunkle Energie«. Die dunkle Energie ist eine postulierte, nicht detektierbare (!?!) Form von Energie, die das Universum auf großen Skalen beeinflusst. Ihr postulierter Haupteffekt besteht darin, dass sie die beschleunigte Expansion des Universums auslöst respektive aufrecht erhält. Der Begriff wurde 1998 von dem Astrophysiker Michael S. Turner geprägt. U.a. bedingt durch die notwendige These zur Aufrechterhaltung des ΛCDM-Modells wurde die Inflationsphase (mit vielfacher Überlichtgeschwindigkeit) eingeführt, dazu musste der Raum von der Materie entkoppelt werden, ohne das explizit zu erwähnen. "Implizit" ist das klar, denn Materie kann auch im Rahmen der Standardmodelle nicht auf Lichtgeschwindigkeit und schon gar nicht auf Überlichtgeschwindigkeit beschleunigt werden. Das bedeutet jedoch, das diese Raum-Materie-Entkopplung auch vor und nach der postuliert kosmischen Inflation vorlag respektive vorliegt, also auch im Hier und Jetzt. Für diese Annahme gab und gibt es jedoch keine Beweise.
Materie-Raum-Kopplung Löst man sich von der »Standard-Modell-Masse-Raum-Entkopplungsfantasie«, sieht die Welt deutlich einfacher aus, als uns das die Theoretische Physik seit mehr als 100 Jahren mathematisiert "weis machen will". Das hat erhebliche Konsequenzen. Eine Materie-Raum-Kopplung führt, phänomenologisch begründet, sowohl für den Mikro- als auch für den Makro-Kosmos, zu sehr einfachen Berechnungsmöglichkeiten zahlreicher physikalischer Größen und zum plausiblen Verständnis der möglichen Wechselwirkungen. Es kommt letztendlich zu einer Vereinheitlichung der (postuliert vier) Grundkräfte und darüber hinaus zu einer konsistenten Beschreibung von Materie und Licht.
Erweiterung des Energieerhaltungssatzes Die Materie-Raum Kopplung führt zu einer fundamentalen Erweiterung des Energieerhaltungssatzes. Mit der Konsequenz, dass nicht nur Masse, sondern auch der Raum selbst eine Energieform ist und das sich Masse in Raum und Raum in Masse transformieren lässt. Weiterführend resultiert, aus der Gesamtbetrachtung, das auch Information eine Energieform ist.
Herleitung und Details zum erweiterten Energieerhaltungssatzes
Information als materieller Zustand = Elementarkörper Zustand als Information = Photon
Die Basisaussagen des alternativen Denkmodells sind „glücklicherweise“ – sowohl sprachlich als auch inhaltlich – relativ einfach zu verstehen. Grundlegende Denkmodell-Aspekte lassen sich in Ankopplung an »globale Auffälligkeiten«, wie die Gravitationskonstante, die kleinste skalare Wirkung oder die Invarianz der Lichtgeschwindigkeit, intuitiv entwickeln. Ängste vor primärer Intuition sind unbegründet. Man muß eine Idee und weiterführend, aufbauend konsistente Ideen haben, um ein Denkmodell interdisziplinär verständlich gestalten zu können. Denkmodelle müssen absolut begriffstransformierbar sein, um eine epistemologische sowie allgemeine Bedeutung zu erlangen. Eine mathematische Gleichung, die sich nicht außerhalb der Mathematik vermitteln lässt, ist im Rahmen eines physikalischen Denkmodells stets eine (erkenntnistheoretische) Nullnummer. Insbesondere die »allgemeinen Aphorismen« sind leicht verständlich. Beispiele: Ein Denkmodell ohne Mathematik ist ein philosophisches Denkmodell. Ein Denkmodell „aus“ Mathematik ist kein physikalisches Denkmodell.
Die experimentelle Sachlage Alle Versuche die - sowohl auf kleinen Skalen (Mikrokosmos) als auch makroskopisch - durchgeführt wurden, bestätigen gemäß Versuchsergebnissen, deren Berechnungsmöglichkeiten und Meßwerten das, was die Elementarkörpertheorie (kurz EKT) auf Grundlage der Masse-Raum-Kopplung phänomenologisch beschreibt und einfachst formal-analytisch in sehr guter Übereinstimmung mit Meßwerten berechnet.
Der vorliegende - teils interdisziplinär "eröffnete" - Inhalt ist primär für Menschen bestimmt, die ohne Schöntuerei und falsche Rücksichtnahme auf Bestehendes Neues suchen und im Sinne der Aufklärung - gemäß des Prinzips der Parsimonie - Neues wünschen, dass sowohl die interdisziplinäre als auch die fachliche Qualität und Charakteristik für einen nachhaltigen Paradigmenwechsel in der »Denkmodellwelt der formalisierbaren Materiewechselwirkungen« besitzt. Es folgt viel Text, genauer es folgen ausführliche Betrachtungen (Physikalisches, Mathematisches, Geschichtliches, Interdisziplinäres) zum Status Quo der Denkmodellsituation und einer argumentativ orientierten Alternative. Experimentalphysiker, angesiedelte Theoretiker, Apologeten, Epigonen und Fans des Bestehenden denken (erst einmal "gelernt") reflexartig, dass es sich vorliegend um einen Meinungsartikel handelt bzw. handeln muß, der entweder ungelesen ignoriert werden kann, oder sich die Inhalte, bei näherer Betrachtung, als unbedeutend "entpuppen" und letztendlich keine Gefahr für das bestehende Denken bedeuten. Ehrlicherweise verhält es sich in der Regel auch so. Kritiker mit "guten" Argumenten gegen Bestehendes hatten respektive haben meist keine oder "schlechte" Alternativen im Angebot. Darüber hinaus kann sich nahezu niemand, insbesondere Quantenfeldtheoretiker, vorstellen, das es je etwas anderes als Quantenmechanik (QM), Quantenelektrodynamik (QED), Quantenchromodynamik (QCD), Allgemeine Relativitätstheorie (ART), perspektivisch Quantengravitation (QG) zur Beschreibung der Natur geben wird. Diese Grundhaltung sorgt dafür, dass kein Kritiker ernst genommen wird, der ein alternatives Denkmodell vorstellen möchte, welches nicht mit den genannten, etablierten Beschreibungsmethoden arbeitet.
Wohliges Dauer-Baden im eigenen Denksaft Was passiert jedoch, wenn "plötzlich und unerwartet" der Stöpsel gezogen wird? Heute inszenieren sich Wissenschaftler vordergründig gerne als aufgeklärt, faktenfreundlich, ergebnisoffen und bereit für neue Gedanken. Das fällt ihnen leicht, denn sie können sich schlicht nicht vorstellen, dass es zu spektakulären, neuen Ansätzen kommen wird, die sie selbst "alt aussehen lassen". Was passiert jedoch, wenn das, was diese heute lebenden Wissenschaftler – teils über Jahrzehnte – praktizier(t)en, in Analogie zum geozentrischen Weltbild, nicht mehr gelten soll? Stellen wir uns vor, dass es sich nicht um eine überschaubare Korrektur handelt, sondern um einen gewaltigen »Umstoß« des Bestehenden, hin zu einem Denkmodell respektive Weltbild, welches das vermeintlich »Unumstößliche« nicht nur in Frage stellt sondern komplett ersetzt. „Schlimmer“ noch, dass es sich herausstellt, das – plakativ formuliert - mehr als 100 Jahre Theoretische Grundlagenforschung von völlig falschen Annahmen ausging und rückblickend, mit all den Erweiterungen und Nachkorrekturen, als - emotional betrachtet - peinlich und selbstbetrügerisch erscheint. Wir können uns sicher sein, dass alles Mögliche von den Betroffenen in Bewegung gesetzt wird, um die Verbreitung dieses Alternativmodells zu verhindern. Die Physiker und Mathematiker, die nicht selbst mit den Standardmodellen assoziiert sind, stehen »Alternativen Denkmodellen« kritisch gegenüber, sofern sie überhaupt über diese nachdenken, weil sie sich nicht vorstellen können, das ihre Kollegen-Experten falsch liegen können. Sie denken, dass am Ende Alternativen sich nicht durchsetzten können, weil sie glauben, was die Standardmodellmacher seit Jahrzehnten propagieren: Wie ausgereift, aussagekräftig und alternativlos doch ihre Modelle sein. Mitunter schwingt auch die Angst mit, sich mit öffentlich wahrnehmbarer Kritik zu blamieren. Das hat damit zu tun, dass die angewandte Mathematik so komplex und schwierig ist, dass sie erst einmal mit dem Vorwurf konfrontiert werden, dass sie ja gar nicht verstehen, was sie da kritisieren. Das ist auch in den meisten Fällen aus rein mathematisch-formaler Sicht zutreffend.
Wenn ein »Alternatives Denkmodell« doch so gut ist, wie propagiert, warum wird dem trotzdem wenig bis keine Beachtung geschenkt? Warum wird es nicht in Fachkreisen beachtet und darüber diskutiert?
Wenn Prüflinge gleichzeitig Prüfer sind oder so ähnlich...
Diejenigen, die hier am besten und schnellsten, im Hinblick auf Konsistenz und Aussagefähigkeit, untersuchen könn(t)en, ob ein »Alternativmodell« im Sinne des Prinzips der Parsimonie eine Existenzberechtigung hat, sind im 21. Jahrhundert fast ausnahmslos Theoretische Physiker und in diesem Bereich angesiedelte Mathematiker. Diese sind allesamt, sofern sie sich mit den Standardmodellen der Teilchenphysik und Kosmologie beschäftigen, Protagonisten, Apologeten oder Epigonen dieser. Es ist, sowohl für einen "unbetreuten" Quantenfeldtheoretiker, als auch für einen "unbetreuten" »ART affinen Differentialgeometriker«, schlicht unmöglich, sich vorstellen zu können, dass es brauchbare Denkmodellalternativen ohne Quantenfelder und Differentialgeometrie geben kann. Das ist keine Übertreibung. Es ist für diese "Standardmodell-Denker" komplett unmöglich einfach zu denken. Das bedeutet, diese haben keinen eigenen Primärimpuls etwas derartig »Anderes« auch nur im Geringsten zu betrachten. Aphoristisch lautet ihr Ausschließungs-Motto seit eh und je... Wir lesen nicht, wir schreiben selber!
Und der "Rest" der Physiker und Mathematiker? Kaum jemand traut sich, trotz der Vielzahl an Widersprüchen, willküraffinen Postulaten, Ergebnis orientierten Nachkorrekturen,... herrschende Theoretische Grundlagenforschung zu kritisieren. Auch „eingeweihte“ Physiker und Mathematiker tun dies nicht. Die einen, weil sie glauben, sie hätten nicht die nötige Kompetenz, die anderen aus Kalkül. Die Probleme als solche sind leicht identifiziert. Theoretische Grundlagenphysiker verlangen, ohne es explizit aussprechen zu müssen, dass nur Wissenschaftler mit der nötigen mathematischen Ausbildung etwas zum Formalismus sagen dürfen. Der Weg über den Formalismus führt aber unweigerlich zur Akzeptanz dessen, was man eigentlich kritisieren müsste. Und: Mathematik ist geduldig und kann den größten Unsinn korrekt bestimmen.
Volumen aus dem Nichts
Des Weiteren gibt es noch die egozentrischen Standardmodell-Kritiker, die neben ihrer Kritik auch gerne kreativ werden würden. Mit oder ohne sachrelevante Vorkenntnisse, fehlt es jedoch nahezu allen, bis auf die »one in a million« - Ausnahme, an »schöpferischem Geist« ein brauchbares physikalisches Denkmodell zu entwickeln. Die Fokussierung auf das ich, macht sie in dem Fall, das einer aus ihren Kritiker-Reihen, das schafft(e), was ihnen nicht gelang respektive gelingt und wohl auch perspektivisch nicht gelingen mag, zu Verdrängern und Ignoranten. Ihre Strategie: Sie vermeiden es, sich mit dem neuen alternativen Denkmodell auseinanderzusetzen. Sie haben Angst sich den Ausführungen im Detail zu nähern, da eine Kaskade von Gefahren besteht. Erst einmal, dass sie für sich erkennen müss(t)en, dass das Modell tauglich ist. Das bereitet vielen einen starken Egoschmerz. Als nächstes wären sie - früher oder später - in der Pflicht auch darüber im Rahmen ihrer Möglichkeiten zu berichten. Insbesondere öffentlich bekannte Kritiker wären dann verpflichtet, auf Grund ihrer medialen Reichweite für eine entsprechende Verbreitung zu sorgen oder müssten sich irgendwann erklären, warum sie das nicht taten. Die Geschichte zeigt zwar, dass diese Vermeidungs-Strategie selten erfolgreich ist, doch wie man so "schön" sagt: Die Hoffnung stirbt zuletzt. Tatsache ist: Es mag lange dauern, doch eines Tages kommt das »Neue« ans Tageslicht. Trotz dieser Erkenntnis sind (auch) die Egozentriker in den Reihen der Denkmodellphysiker diesbezüglich beobachtungs- und lernunfähig. Bei den Kritikern, die ihre Kritik professionalisiert haben und Geld mit Büchern, Vorträgern etc. verdienen, geht es offensichtlich nicht nur um Egoproblematiken sondern auch um Materielles. Spätestens an dem Tag, wo jedem klar ist, dass die alten Theorie-Konzepte nicht mehr relevant sind und das nicht nur in Fachkreisen sondern auch populärwissenschaftlich kommuniziert wird, ist auch die diesbezügliche Kritik obsolet. Das bedeutet - leicht verständlich - sie verdienen nichts mehr mit ihrer Kritik an den überholten Denkmodellen. Ein weiterer Grund die "Füsse still zu halten".
|
![]() |
|
|
Lese(r)optionen
|
In den Textausführungen gibt es zahlreich weiterführende Hinweise, Ergänzungen, geschichtliche Beispiele, Analogien und daraus resultierend "Verlinkungen". Für ein zügiges Grundverständnis ist es jedoch empfehlenswert den Textausführungen fließend zu folgen und erst einmal keine oder wenige »Linkstopps« einzulegen. Ähnliches gilt für explizite Gleichungen und resultierende Berechnungen. Sofern diese noch nicht (im Kontext) verstanden werden können, ist es auch in diesen Zusammenhängen empfehlenswert die Ergebnisse erst einmal so hinzunehmen. Letztendlich bleibt im weiteren (Lese-)Verlauf nichts unerklärt respektive unbegründet.
Da es in diesem Sinne - im Hinblick auf das allgemeine sowie methodische Verständnis - sehr schnell zu speziell werden kann, wird dem Leser mitunter die Entscheidung überlassen, wie er gemäß seinen eigenen Wünschen agieren möchte. Es gibt optional an diversen Stellen die Möglichkeit punktuell weitere Informationen zu dem aktuell Erörterten direkt mit "einem Klick" in einem neuen zusätzlichen Browserfenster zu erhalten. |
|
|
| ein Klick auf |
![]() |
führt zu ergänzenden, ausführlicheren Betrachtungen |
|
öffnet ein zusätzliches Browserfenster |
[Beispielansicht Auszug zur Berechnung der Grundzustandsenergie des myonischen Wasserstoffs]

![]()
![]()
|
|

|
Das hier beschriebene alternative Denk-Modell basiert plakativ-psychologisch auf der Annahme, das deutlich einfachere, konsistente Materie-Beschreibungen und daraus resultierend einfache Formalisierungen existieren, als in den Standardmodellen annonciert. Die folgende Bemerkung von Karl Popper (1902 - 1994) adressiert das psychologische Problem: ..." Unsere Untersuchung läßt erkennen, dass selbst nahe liegende Zusammenhänge übersehen werden können, wenn uns immer wieder eingehämmert wird, dass das Suchen nach solchen Zusammenhängen ‘sinnlos’ sei." Karl Popper (1902 - 1994), Logik der Forschung. 9. Aufl. Mohr, Tübingen 1989, S. 196.Hrsg. E. Botcher: Die Einheit der Gesellschaftswiss. Bd. 4; The Logic of scientific discovery. (1935); 2nd Ed. London , New York : Basic Books 1959. "Wir kennen die „Beweggründe“ der Natur nicht. Wollen wir uns die Möglichkeit offenhalten, mehr von ihrem Geheimnis zu erfahren, dann müssen wir lernen, auch Wege zu überdenken, die wir unbewußt bisher ausgeschlossen haben, weil wir zu voreilig diese Wege für „undenkbar“ hielten." Rudolf Kießlinger Die fatale Einstellung Theoretischer Grundlagenphysiker, das »ALLES« nur im Rahmen "höherer", komplizierter, komplexer Mathematik verstanden und entwickelt werden kann, wird auch im Bereich der Mathematik von den dort agierenden vermeintlichen Experten vertreten.
|
|
☼ Mathematik einst und heute Wenn Euklid (…lebte wahrscheinlich im 3. Jahrhundert v. Chr.) noch nach plausibler Anschauung für mathematische Grundlagen suchte und somit eine interdisziplinäre Verbindung herstellte, die man als richtig oder falsch bewerten konnte, so stellt sich in der modernen Mathematik die Frage nach richtig oder falsch nicht. Euklids Definitionen sind explizit, sie verweisen auf außermathematische Objekte der „reinen Anschauung“ wie Punkte, Linien und Flächen. "Ein Punkt ist, was keine Breite hat. Eine Linie ist breitenlose Länge. Eine Fläche ist, was nur Länge und Breite hat." Als David Hilbert (1862 – 1943) im 20. Jahrhundert erneut die Geometrie axiomatisierte, verwendete er ausschließlich implizite Definitionen. Die Objekte der Geometrie hießen zwar weiterhin „Punkte“ und „Geraden“ doch sie waren lediglich Elemente nicht weiter explizierter Mengen. Angeblich soll Hilbert gesagt haben, dass man jederzeit anstelle von Punkten und Geraden auch von Tischen und Stühlen reden könnte, ohne dass die rein logische Beziehung zwischen diesen Objekten gestört wäre. Doch inwieweit axiomatisch begründete Abstraktionen an realphysikalische Objekte ankoppeln, steht auf einem ganz anderen Blatt. Mathematik schafft keine neuen Erkenntnisse, auch wenn das Theoretische Physiker im Rahmen der Standardmodelle der Kosmologie und Teilchenphysik gerne glauben. “Keine Kirche hält ihre Gläubigen so streng am Wickel wie die “moderne Wissenschaft” ihre Gemeinde.” stellte Christian Morgenstern (1871 – 1914) schon vor mehr als 100 Jahren fest. |
|
Einerseits führen, wie bereits erwähnt, zu früh thematisierte konkrete Alternativmodell-Ergebnisse im Text, umfangreiche Erörterungen, mittels hergeleiteter Gleichungen und detaillierten phänomenologischen Aspekten, zu einem Fokusverlust, im Sinne des übergeordneten Erst-Verständnisses und sind insbesondere für nicht so mathematisch versierte Leser tendenziell schwierig bis kontraproduktiv. Andererseits ist es wichtig, bereits früh explizit Berechnungsgleichungen vorzustellen und zumindest im Ansatz Beschreibungen zum Verständnis anzubieten - nicht zuletzt bezüglich der Motivation der Leser - da so exemplarisch Aussagekraft und Plausibilität des »Alternativmodells« konkret untermauert werden.
Das Denkmodell Masse-Raum gekoppelter Entitäten liefert - phänomenologisch begründet (geometrisch anschaulich nachvollziehbar) - beispielsweise nicht nur Berechnungsmöglichkeiten für die magnetischen Momente von Neutron, Elektron und Proton, sondern auch exakte, einfache formalanalytische Gleichungen zur Berechnung meßbarer Größen, ausschließlich auf Grundlage möglicher Elektron-Proton-Wechselwirkungen, wie exemplarisch ...die Masse des Neutrons, GrundzustandsenergienHA, den Protonenmasse inhärenten Protonenradiuspr, die Masse des Pions, allgemein Masseberechnungen diverser Entitäten (auch die des Higgs-Bosons), die Temperatur der Hintergrundstrahlung, maximale Masse und Radius des Universums.
[pr]
Wie noch ausführlich erörtert wird, kann weder das SM noch das Standardmodell der Kosmologie (ΛCDM-Modell) auch nur einen einzigen Wert näherungsfrei berechnen und es fehlen mitunter fundamentale Begründungen für QM/QED/QCD basierende Rechenvorschriften. Wortwörtlich wird »Alles« mittels Großrechner-Cluster-Anlagen solange "durchgerechnet", bis die gewünschten Werte den Meßwerten entsprechen. Nicht einmal die Grundzustandsenergie des Wasserstoffatoms kann quantenmechanisch begründet, sowie hinreichend genau berechnet werden (wie noch ausführlich argumentativ ausgeführt wird).
|
|
Ich beginne hier mit der Berechnungsgleichung der Masse des Neutrons, wobei - historisch betrachtet - dessen Masse-Raum gekoppelte, phänomenologisch begründete Gleichung, sowie die gleichfalls Masse-Raum gekoppelte, phänomenologisch begründete Gleichung zur Berechnung des (vermeintlich) anomalen magnetischen Moment des Neutrons innerhalb des Denkmodells erst später erfolgten. Der Vergleich mit den Berechnungsmöglichkeiten des Standardmodells zeigt, dass, gemäß des »Prinzips der Parsimonie«, die EKT der klare Sieger ist. |

Neutron: Proton-Elektron basierend im Bild der Elementarkörper(-Theorie)
| Theoretische Berechnung der Neutronenmasse |
|
Allgemeine Vorbetrachtungen |
|
Aus praktischen Gründen werden Zehnerpotenzen zur Berechnung wie folgt geschrieben: 1,23·10-3 = 1,23e-3. Das hat den Vorteil, dass der interessierte Leser die entsprechenden Zahlenwerte "gleich" zur Kontrollrechnung übernehmen kann (Copy&Paste).
[CODATA-NIST Beispiel Wert der Protonenmasse]
Die Unsicherheiten der CODATA-Werte sind in den folgenden Berechnungen meist nicht explizit benannt respektive werden nicht explizit berücksichtigt. Beispiel: Masse des Elektrons: 9,1093837015e-31 kg 9,1093837015(28)e-31, bedeutet eine Standardabweichung von ± 0,00000028e-31kg wird hier nicht berücksichtigt. Es wird mit dem Wert 9,1093837015e-31 kg gerechnet. Das ist, wie wiederholt gezeigt wird, kein Problem, da u.a. die Standardmodellphysik-Ergebnisse im Vergleich eh nicht formal-analytisch erzielt wurden und im direkten Vergleich mit den phänomenologisch begründeten einfachen Gleichungen der Elementarkörpertheorie (EKT) sprichwörtlich um (Standardabweichungs-)Dimensionen schlechter sind (später mehr dazu).
Kommen wir - gemäß dem Prinzip der Parsimonie - nun exemplarisch zu exakter Wissenschaft im Sinne von phänomenologisch begründeter Physik, die zu exakten formal-analytischen Berechnungen führt: |
![]()
Theoretische Berechnung der Neutronenmasse
![]()

Es wurden zur Berechnung der Neutronenmasse folgende Werte verwendet:
me = 9,1093837015e-31 kg : Elektronenmasse
me(q0)= (4/α) · me = 4,99325398628715e-28 kg
mp = 1,67262192369e-27 kg : Protonenmasse
c = 2,99792458e+08 m/s α = 0,0072973525693 0,77010243595795497 = 1/(1 + me(q0)/mp)
∆m = 1,4056007019747e-30 kg[0] ∆Eee = 1,2632909101359e-13 J ~ 0,78848416793 MeV
![]()
|
|
[0] Ergebnis-Erweiterungs-Satire Übrigens, man könnte, genauer, man sollte sich die obige Berechnungspräzision, wie z.B. für ∆m = 1,4056007019747e-30 [kg], im Hinblick auf die versuchsbedingten - im Vergleich zu formal-analytischen Rechnungen extremen - Standardabweichungen der Einfluss nehmenden Größen sparen. Es ist hier also kein Akt meines Unverständnisses der Zusammenhänge, sondern eine Art gewollter »Ergebnis-Erweiterungs-Satire« im Hinblick auf das, was noch gemäß Standardmodell-Postulaten alles möglich sein soll (...Berechnung und Messung des Wertes des anomalen magnetischen Moments des Elektrons bis hin zu postulierten Gravitationswellenmessungen).
Zum direkten Vergleich mit den Berechnungsmöglichkeiten gemäß des SM Im Rahmen der Quantenchromodynamik (QCD) lässt sich die Neutronenmasse angeblich iterativ berechnen.. Das ist mehr als fragwürdig, da hier offensichtlich solange korrigiert-gerechnet wird, bis der bekannte Versuchswert für die Neutronenmasse grob erreicht wird.
|
Terminologie & Notation
|
Iterativ bedeutet (hier): Es werden Grundannahmen und/oder Ausgangsparameter variiert und algorithmisch so oft modelliert, bis ein gewünschtes Ergebnis vorliegt. Da dieses Ergebnis ein Meßergebnis ist, werden die Berechnungsgrundlagen in Form von Entwicklungsparametern und postulierten Wechselwirkungen immer wieder in Großrechenanlagen durchgerechnet, bis das gewünschte "theoretische" Ergebnis mit dem experimentell ermittelten Meßwert übereinstimmt. Egbert Scheunemann hat das sinngemäß so formuliert: Wir schießen auf ein Scheunentor und ziehen danach konzentrische Kreise so um den Pfeil, dass dieser in der Mitte "steht". |
|
... Siehe exemplarisch die Ausführungen: proton and neutron masses calculated from first principles, dort heißt es dann u.a.: ..."Die Berechnungen deuten darauf hin, dass die Masse des Nukleons (die Berechnung kann nicht zwischen Protonen und Neutronen unterscheiden) 936 MeV/c² mit statistischen und systematischen Unsicherheiten von ±25 bzw. ±22 MeV/c² beträgt." ..."Der Erfolg war möglich dank der kombinierten Leistung von zwei IBM Blue Gene Supercomputern und zwei Cluster-Rechenzentren." Mehr Details dazu: Ab initio calculation of the neutron-proton mass difference veröffentlicht 2015 Eine weitere Standardmodell-Methode ist die postuliert Quarks basierende theoretische Berechnung aus dem Vergleich der Protonen- und Neutronen-Masse. Siehe: Calculation of Neutron-Proton Mass Difference by the Monte Carlo Method mit folgenden Ergebnissen: Berechnungsergebnis im Freien Quark-Modell: 13% Fehler bezogen auf die Massendifferenz im Vergleich zum Meßwert. Berechnungsergebnis im Modell der starken Kopplung von Quarks: 0,78% Fehler bezogen auf die Massendifferenz im Vergleich zum Meßwert. Experimentelle Bestimmung der Neutronenmasse Die Masse eines Neutrons kann nicht massenspektrometrisch bestimmt werden, da es keine elektrische Ladung hat. Die Masse wird bestimmt, indem man die Protonenmasse von der Deuteronmasse subtrahiert, wobei die Differenz die Masse des Neutrons plus die Bindungsenergie des Deuteriums sein soll. Hier steckt viel postulierte Theorie im Meßverfahren. Selbstbewusst annonciere ich, dass der Wert der Elementarkörpertheorie ermittelten Neutronenmasse - realphysikalisch betrachtet - der wahrscheinlichste Wert ist. Wie auch immer, die theoretische Bestimmung gemäß Gleichung [nmass] ist im Sinne des Prinzips der Parsimonie unschlagbar. Particle Data Group zum Neutron
Was bedeutet dieser erste Vergleich für das SM? Wenn man die iterativ Meßwert orientierten groben QCD-Ergebnisse und die gemäß Quark-Modell theoretischen für die Berechnung der Neutronenmasse mit dem nahezu exakten EKT-Ergebnis gemäß [nmass] vergleicht, welches ein Proton-Elektron basierendes Neutron voraussetzt, kommt man aus dem Staunen nicht mehr heraus und ahnt hier schon bereits exemplarisch, was die Stunde (für das Standardmodell) geschlagen hat. Das Ende des SM ist in Sicht. |
|
☼ zum weiteren Verständnis: CODATA Variationen Es gibt für die dokumentierten Werteermittlungen, basierend auf präzisen formal-analytische Berechnungen der EKT, neben den generellen experimentellen Meßungenauigkeiten, absolut gesehen, die Problematik, dass sich die empfohlenen CODATA-Werte mit der Zeit ändern, ohne jedoch stringent die Meß(fehler)genauigkeit nachhaltig zu verbessern. Siehe exemplarisch die CODATA Werte von 1986 zum Verständnis und zum Vergleich: The 1986 CODATA Recommended Values Of the Fundamental Physical Constants [CODATA RECOMMENDED VALUES OF THE FUNDAMENTAL PHYSICAL CONSTANTS: Gesamtauflistung 2018] Ein neueres Postulat der Systemphysik: Das Proton ist signifikant leichter als bisher gedacht : Das belegt die (vermeintlich) bisher präziseste Messung der Protonenmasse. Siehe exemplarisch den deutschen scinexx.de-Artikel oder den englischen science.org-Artikel. Plakativ betrachtet, stellt sich hier, von außerhalb der System-Modell-Physik betrachtet, die Frage, ob das wissenschaftlich relevant ist oder ob es sich eher um mathematisch-experimentalphysikalisches Kokettieren der Protagonisten handelt. Wie auch immer, ob das Proton wirklich leichter ist und wie lange diese Aussage Bestand hat, kann niemand sagen. Man denke an den gemessenen Protonenradius, der über Jahrzehnte mit - für physikalische Messungen unglaublichen - mehr als + 4% Abweichung von den Standardmodell-Protagonisten falsch interpretiert war. Siehe später mehr dazu. Hat das eine Bedeutung? Für die EKT respektive deren exzellente Voraussagefähigkeit ist das (realphysikalisch) unerheblich, da hier die Denkmodellphänomenologie basierenden, formal-analytisch ermittelten Werte unschlagbar präzise mit den Meßwerten übereinstimmen, egal wer, wann, wie und warum an den CODATA-Standardabweichungen "dreht und fummelt". Das der lange Zeit "geltende" Protonenradiuswert "erschreckend" falsch war, war und ist gemäß EKT keine Überraschung. Wie schon bald hier im weiteren Leseverlauf gezeigt wird, gibt es eine im Rahmen der EKT konsistente exakte Protonenradiusberechnung, die nur von der Protonenmasse und Naturkonstanten gemäß eines einfachen formalen Zusammenhanges abhängig ist. SM Für die Standardmodellphysik ist das alles unerheblich, da, wie bereits erwähnt, im Rahmen der Systemphysik-Modelle eh keine formal analytischen Berechnungen möglich sind. Dort wird alles iterativ ergebnisorientiert angepasst (präzise schön gerechnet), wie noch im Rahmen diverser Beispiele konkret erörtert wird. |
Raum und Zeit
|
|
|
|
Es ist alles andere als trivial, Raum und Zeit als physikalische "Gegenstände" zu betrachten. Raum und Zeit sind primär »Ordnungsmuster des Verstandes«. Um aus diesen Ordnungsmustern Physik zu erhalten, bedarf es phänomenologischer Betrachtungen und Erklärungen. „Planck, Einstein, Heisenberg und Kollegen“ waren noch als Mitbegründer des neuen (mathematischen) Denkens mit den philosophischen Aspekten vertraut und konfrontiert. Die nachfolgenden Generationen der Theoretischen Teilchenphysiker und Theoretischen Astrophysiker scheinen jedoch wenig bis kein Verständnis für erkenntnistheoretische Spielregeln zu besitzen, was sich einfachst durch die große Anzahl freier Parameter, variabler Kopplungskonstanten und beliebiger Substrukturierungsthesen objektiv feststellen läßt. (Rhetorische) Frage? Was ist denn der Unterschied zwischen Phlogiston, Licht-Äther, Gluonen und dunkler Materie?
Schlicht betrachtet handelt(e) es sich stets um Fantasiekonstrukte, die die Fehlstellen des Wissens willküraffin füllen (sollen). Von einer autoritären Minderheit als „nützliche“ Theorieparameter eingeführt, wurden und werden diese sodann von servilen Mainstream-Wissenschaftsmagazinen und in der Folge populärwissenschaftlich weit verbreitet und letztendlich von der Masse als wissenschaftliche Errungenschaften "verdaut".
Für heutige Theoretiker ist die Welt der Mathematik identisch mit dem Erkenntnishorizont des Menschen. Moderner Mathematik wird mit festem Glauben eine konstruktive Komponente zugeschrieben. Diese neuen Glaubensbekenntnisse haben offensichtlich eine enorme Strahlkraft, obwohl die ihr zu Grunde liegenden Ideen allesamt irrational sind. Heutige Experimente zur Erweiterung des Standardmodells der Teilchenphysik (SM) verraten schon durch die Namensgebung »Supersymmetrie« welch Geistes Kind ihnen inne wohnt. Experimente sollen Symmetrien, nein müssen Supersymmetrien genügen. Neue zeitinstabile Super-Partner-Teilchen, die nie als solche, so wie ihre Vorgänger, direkt messbar sein werden, kommen eines Tages nach monatelangen Berechnungen mittels Super-Cluster-Rechnern als Teilchenbeschleuniger-Geburten aus vorselektierten Zerfallskanälen. Man kann offensichtlich in jeder beliebigen Theorie Widersprüche mit der Beobachtung dadurch "wegerklären", dass man weitere (unüberprüfbare) Postulate in die Theorie mit aufnimmt, die genau diese Beobachtung „erklären“. Diese stark theoriebeladene Suche lässt sich auf Grund der vielen freien Parameter, nicht detektierbaren postulierten Theorieobjekte und deren postulierten Kaskadenereignissen beliebig ergebnis-interpretieren. Dass SM hat diese unwissenschaftliche Unart zur Standardprozedur etabliert und im Vergleich zu anderen Wissenschaftsdisziplinen "unerreicht" auf die Spitze getrieben. Die daraus resultierenden Verselbständigungen der mathematischen Abstraktionen führen nachweislich zu beliebigen Fantasiekonstrukten. Und die damit einhergehende Einschränkung des Blickwinkels erschwert es zunehmend, wichtige Fragen nach den kausalen Zusammenhängen zu klären, ohne welche die naturwissenschaftliche Forschung selbstgenügend zur irrelevanten Tätigkeit „verkommt“.
☼ Methodisch generierte Beliebigkeiten Folgendes Beispiel soll die »Standardmodell methodisch generierte Problematik« exemplarisch verdeutlichen. Zitieren wir fragmentarisch den Autor des Spektrum-Online-Artikels: Das Standardmodell der Teilchenphysik hält – mal wieder vom 21.12.2022, Davide Castelvecchi:
...„Ein viel versprechender Hinweis auf eine mögliche »neue Physik«, der sich in Experimenten am Large Hadron Collider (LHC) zeigte, dem größten Teilchenbeschleuniger der Welt, hat sich in Luft aufgelöst und Hoffnungen auf eine bedeutende Entdeckung zunichtegemacht. Vor einigen Jahren waren die Physikerinnen und Physiker am CERN in Genf auf einen unerwarteten Unterschied im Verhalten von Elektronen und ihren massereicheren Vettern, den Myonen, gestoßen, wenn sie aus dem Zerfall bestimmter Teilchen hervorgehen: Myonen waren dabei augenscheinlich etwas seltener entstanden als Elektronen – ein Widerspruch zum Standardmodell der Teilchenphysik, da solch eine Diskrepanz gegen die so genannte Leptonen-Universalität verstoßen würde. Die jüngsten Ergebnisse des LHCb-Experiments deuten nun allerdings darauf hin, dass Elektronen und Myonen doch im gleichen Verhältnis erzeugt werden. …Das LHCb-Team berichtete erstmals 2014 über eine geringfügige Abweichung bei der Produktion von Myonen und Elektronen… …Teilchenphysikalische Experimente liefern häufig Ergebnisse, die leicht vom Standardmodell abweichen, sich dann jedoch als statistische Zufallstreffer erweisen, wenn Forscherinnen und Forscher mehr Daten sammeln. Die B-Mesonen-Anomalie schien in den folgenden Jahren allerdings immer auffälliger zu werden, und eine Reihe verwandter Messungen an B-Mesonen zeigte ebenfalls Abweichungen von den theoretischen Vorhersagen, die auf dem Standardmodell der Teilchenphysik basieren… … Die neuesten Ergebnisse umfassen mehr Daten als die früheren LHCb-Messungen der B-Mesonen-Zerfälle und nehmen zugleich mögliche Störfaktoren genauer in den Blick. So ließen sich die offensichtlichen Diskrepanzen bei den früheren Messungen mit Kaonen zum Teil darauf zurückführen, dass einige andere Teilchen fälschlicherweise als Elektronen identifiziert worden seien, sagt LHCb-Sprecher Chris Parkes, Physiker an der University of Manchester in Großbritannien. Während die LHC-Experimente gut darin sind, Myonen aufzuspüren, ist es für sie schwieriger, Elektronen zu entdecken… ...Obwohl bereits seit Monaten darüber gemunkelt wurde, seien die jüngsten Ergebnisse überraschend gekommen, sagt der theoretische Physiker Gino Isidori von der Universität Zürich. Es schien sich ein kohärentes Bild aus verwandten Anomalien zu ergeben. Dies hätte auf die Existenz von bisher unbekannten Elementarteilchen hindeuten können, die den Zerfall von B-Mesonen beeinflussen. Isidori lobt die LHCb-Kollaboration dafür, dass sie die Probleme mit ihren früheren Analysen so »ehrlich« zugegeben hat. Gleichzeitig bedauert er jedoch, dass man die Schwierigkeiten nicht früher fand. Andererseits könnten sich einige der anderen Anomalien, auch bei B-Mesonen-Zerfällen, die keine Kaonen enthalten, immer noch als echt herausstellen, fügt Isidori hinzu: »Noch ist nicht alles verloren.« Die Experimentalphysikerin Marcella Bona von der Queen Mary University of London, die an einem weiteren LHC-Experiment beteiligt ist, stimmt dem zu. »Es sieht so aus, als würden die Theoretiker bereits darüber nachdenken, wie sie sich trösten und neu orientieren können.« Zu den verbleibenden hoffnungsvollen Hinweisen auf neue Physik gehört eine im April 2022 bekannt gegebene Messung, bei der sich die Masse des W-Bosons als etwas größer als erwartet herausstellte. Eine andere Anomalie, die Myonen betrifft, könnte sich hingegen ebenfalls in Luft auflösen: Das magnetische Moment des Myons schien stärker zu sein als vom Standardmodell vorhergesagt; die neuesten theoretischen Berechnungen lassen allerdings vermuten, dass dies doch nicht der Fall ist. Stattdessen könnte die Diskrepanz auf eine Fehlberechnung der Vorhersagen des Standardmodells zurückzuführen sein." Dekodieren wir die euphemistischen Aussagen des Autors respektive die Fördermittel verbrauchenden haltlosen Fantasiekonstruktversuche der SMer: ...Teilchenphysikalische Experimente liefern häufig Ergebnisse, die leicht vom Standardmodell abweichen, sich dann jedoch als statistische Zufallstreffer erweisen, wenn Forscherinnen und Forscher mehr Daten sammeln... Bedeutet: Nichts Neues, nichts weiter als eine Standardbeschäftigungstherapie mit Beliebigkeiten, die zu keinem Ergebnis führt. Nahezu perfide sowie realitätsverweigernd ist diesbezüglich die Aussage des LHCb-Sprecher Chris Parkes: "Das Ergebnis dürfte viele Theoretiker enttäuschen, die viel Zeit damit verbrachten, Modelle zu entwickeln, die die Anomalien erklären könnten. »Ich bin mir sicher, dass die Leute gerne einen Fehler im Standardmodell gefunden hätten«, sagt Parkes, aber letztlich »macht man die beste Analyse mit den Daten, die man hat, und sieht, was die Natur einem gibt. So funktioniert Wissenschaft wirklich.«" Er lobt implizit Theoretiker und hat Verständnis für deren Trauer, Theoretiker die sinnfrei Fehlmeßungen respektive Fehlinterpretationen zeitintensiv u.a. mathematisch aufarbeiten und propagiert, das das Standardmodell der Teilchenphysik jedoch, als Abbild der Natur, obsiegt hat. Zu den verbleibenden hoffnungsvollen Hinweisen auf neue Physik gehört eine im April 2022 bekannt gegebene Messung, bei der sich die Masse des W-Bosons als etwas größer als erwartet herausstellte. Eine andere Anomalie, die Myonen betrifft, könnte sich hingegen ebenfalls in Luft auflösen: Das magnetische Moment des Myons schien stärker zu sein als vom Standardmodell vorhergesagt; die neuesten theoretischen Berechnungen lassen allerdings vermuten, dass dies doch nicht der Fall ist. Stattdessen könnte die Diskrepanz auf eine Fehlberechnung der Vorhersagen des Standardmodells zurückzuführen sein." Bedeutet, von außen ergebnisoffen, rational-analytisch betrachtet, einfach und klar ausgedrückt: Das Standardmodell taugt nichts. Sowohl die involvierten, von Steuergeldern finanzierten, Experimentatoren sowie die angesiedelten gleichfalls steuergeldfinanzierten SM-Theoretiker sind nutznießende Gläubige ihrer selbst geschaffenen Glaubens-Fantasien, die als Wissenschaft wortwörtlich verkauft wird. Servile Wissenschafts-Magazine transportieren naiv und unkritisch diesen Nonsens.
☼ Sabine Hossenfelder schreibt auch unmißverständlich von Lügen und Blödsinn ihrer Kollegen ... Erwiderungs-Kommentar zu Ihrem Blogartikel: CERN produziert Marketingvideo für neuen Collider - und es ist voller Lügen (CERN produces marketing video for new collider and it’s full of lies) am 7.Dezember 2018 [7.28 AM]: Ein Video über ein neues wissenschaftliches Instrument, dessen Finanzierung diskutiert wird, sollte beim Zuschauer einen vernünftigen Eindruck hinterlassen, was das Instrument leisten wird... Natürlich sehen die Physiker, die das sehen, nichts Falsches daran. Denn sie wissen, dass es Blödsinn ist. Und sie haben sich an diesen Schwachsinn gewöhnt, so dass sie denken, dass es einfach zur Tagesordnung gehört. Die moralische Korruption, die hier stattgefunden hat, ist bemerkenswert. Am gleichen Tag schreibt Frau Hossenfelder [12.36 PM] einem Kommentator namens Tommaso Dorigo ... "Wir alle wissen, dass Sie Teilchenphysiker sind und an dem Thema beteiligt sind. Ich bin nicht im Entferntesten überrascht, dass es Ihnen nicht gefällt, dass ich öffentlich sage, was jeder in der Branche seit Jahrzehnten weiß."... Sie schreibt in einem weiteren Erwiderungskommentar am 8. Dezember [2.49 AM]... "Wir können nur dann klug entscheiden, wenn wir uns die Fakten ansehen, anstatt uns von Wunschdenken leiten zu lassen. Deshalb ist falsche Werbung wie die oben genannte ein Problem. Menschen, die die Theorien nicht verstehen, glauben sie. Selbst diejenigen, die die Theorien verstehen, lassen sich von der übermäßig optimistischen Sichtweise beeinflussen. Ich weiß, dass sie es nicht hören wollen, aber kognitive Verzerrungen und motivierte Wahrnehmung beeinflussen die Art und Weise, wie wir Entscheidungen treffen. Selbst als Wissenschaftler. Besonders in großen Gruppen."... ... Wie ich in meinem Buch darlege, funktioniert die Theorieentwicklung, insbesondere in der Hochenergiephysik, derzeit schlecht. Man kann "Vorhersagen" für alles konstruieren, was man will; deshalb sind diese Vorhersagen völlig wertlos"
|
Der Paradigmenwechsel

|
Konsequenzen der Masse-Raum gekoppelten fundamentalen Erweiterung des Energieerhaltungssatzes |
erweitertes Vorwort
|
Kurz und knapp
Inhalts-analytisch erstaunlich ist die Tatsache, dass die "großen" Standardmodelle der Physik sprich das Standardmodell der Elementarteilchenphysik (SM) und das Standardmodell der Kosmologie (ΛCDM-Modell) und die gewünschte SM-"Erweiterung" SUSY (Supersymmetrie), sowie vermeintlich konkurrierende Modelle (wie die prominenten Stringtheorien) keinerlei rational logischer Kritik standhalten, wie im weiteren Verlauf im Zusammenhang und Vergleich mit der Elementarkörpertheorie (EKT) an zahlreichen Beispielen ausgeführt wird. Einzig das soziologische Totschlagargument, dass sich doch nicht zehntausende mathematisch hervorragend ausgebildete Wissenschaftler, über mittlerweile mehrere Generationen, mit Modellen beschäftigen, wenn diese bedeutungslos wären, wird zum Rundumschlag ins Feld geführt. Interessanterweise sind viele der den Standardmodellen zu Grunde liegenden Experimente, an sich betrachtet, brauchbar. Die Probleme beginnen meist (erst) mit den theorieinduzierten, gewünschten Versuchsergebnis-Interpretationen. Wer einigermaßen neutral die Geschichte der Elementarteilchenphysik "studiert", wird kaum glauben können, dass es sich um naturwissenschaftliche Betrachtungen und Bemühungen im Sinne einer zielführenden Vereinfachung und Vereinheitlichung handelt. Immer dann, wenn die Experimentalphysik die Theorie(n) widerlegte, wurde die Theorie mittels neuer Elementarteilchen, erneuter Substrukturierung und wenn nötig neuer Quantenzahlen erweitert, die die fehlenden Eigenschaften, die fehlende Energie oder die fehlende Symmetrie "erledigten". Das hat mit Wissenschaft wenig zu tun und erinnert mehr an (zeitgenössische) Politik. Statt die Probleme mit einem neuen radikalen (Theorie-)Ansatz zu bewältigen, werden kleine und große Schönheitskorrekturen kontinuierlich durchgeführt. Statt zu vereinfachen und zu vereinheitlichen wird "gnadenlos" erweitert und "spezialisiert". Es entsteht ein Sammelsurium von Teilchen(-Eigenschaften). Plakativ formuliert: Für jeden Fall einer unerwünschten Abweichung, für jedes Teilchen, werden bei Bedarf Theorie erhaltende Sonderregelungen nachgelegt. Der mathematische Formalismus ist in diesem Fantasieprozess das kleinste Problem. Nötigenfalls werden divergente Terme regularisiert und renormalisiert oder gleich als "unphysikalisch" deklariert, schlicht "weggelassen". Das damit die axiomatische Grundstruktur zerstört wird, scheint nur Wenigen klar zu sein bzw. ist offensichtlich dem Gros der Theoretiker egal. Zur Erinnerung: Ob eine Mehrheit «Etwas» "praktiziert" und für "richtig" hält, sagt nichts über den (erkenntnistheoretischen) Wert der "Theorie zum Etwas". Eine Meinung kann jeder haben, dazu braucht es kein Wissen. Deshalb sind Meinungen auch deutlich populärer als Wissen. Das eine Gesellschaft mehrheitlich aus Meinungsträgern ohne Wissen besteht, ist ein gut dokumentiertes, psychologisch nachvollziehbares, machtsystemerhaltendes, leicht zu beobachtendes Phänomen, sofern man sich mit den sozialpolitischen Hintergründen der Meinungsmache und Machterhaltung beschäftigt. Aber warum basiert die aktuelle Theoretische Grundlagen-Physik auf Meinungen, statt auf begründeten Wissen? Sind es letztendlich nur - aus naturwissenschaftlicher Sicht inakzeptabel - wirtschaftliche Interessen der Nutznießer und Lobbyisten, die Forschungsgelder abgreifen und ihre materielle Existenz begründen wollen? Stellt man die enorme Anzahl von Veröffentlichungen im Bereich der Standardmodelle ins Verhältnis zu dem Erkenntnis-Gewinn, so handelt es sich - in unserer heutigen digitalisierten Zeit salopp formuliert - fast ausschließlich um Datenmüll. Das liegt schlicht daran, dass die vermeintlichen Meßergebnisse bereits stark theoriebeladen sind und die theoretischen Ansätze aus idealisierten, genäherten Gleichungen stammen, die in der Urform keine formal-analytischen Lösungen besitzen und deren näherungsreduzierte Gestaltungen nichts weiter als mathematische Möglichkeiten liefern, die realphysikalisch bedeutungslos sind, insbesondere da über die Rückkopplungen der theoriebeladenen selektiven Messungen, nur die gewünschten Meßergebnisse weiter verwendet werden. So entstand und entwickelt sich ein erkenntnisbefreites, formal und wirtschaftlich selbsterhaltendes System. Dass die Systementwickler und Profiteure jede halbwegs logische Alternativforschung schon im Ansatz beseitigen wollen, ist egoistisch menschlich nachvollziehbar. Jede formal-analytische Lösung, die realphysikalische Werte liefert, stellt eine existenzielle Bedrohung der Standardmodelle dar. Populärwissenschaftlich getragen wird das System von servilen Wissenschaftsmagazinen, deren indoktrinierten Lesern und unwissenden Epigonen, die jeden populären Theorie-Quatsch beklatschen. Es drängt sich der Verdacht auf, dass Menschen, deren Schaffensdrang nicht in geeigneter Weise befriedigt werden kann, weil real nichts Neues für sie zu finden ist, Trivialitäten dokumentieren und formalisieren, in neue Worte kleiden und Satzstrukturen verwenden, die ein Normalmensch nicht versteht und dessen Achtung der Autor quasi automatisch erhascht. Es macht im Ergebnis keinen Unterschied ob es in diesem System Wissenschaftler gibt, die "wirklich" voller Inbrunst an diese, an Naivität und Widersprüchen schwer zu überbietenden, "theoretischen Implikationen" glauben, oder ob es letztendlich banale wirtschaftliche Interessen gepaart mit akademischer Macht sind, die Wissenschaftler als elitäre Nutznießer ausnutzen, um baren Unsinn zelebrieren und verkünden zu können. Besonders eklatant ist der Umstand, dass im Vergleich zu organisierten Religionen, die Theoretische "Grundlagen-Physik der Teilchen" für sich in Anspruch nimmt, ein hohes Maß an Objektivität und Glaubensfreiheit zu verkörpern. Und so sieht es auch die interessierte Bevölkerung. Die Theoretische Physik ist sicherlich in vielen Köpfen einer der letzten Schau-Plätze an denen man Glaubensbekenntnisse statt Wissenschaft vermutet. Interessant sind die psychologischen und soziologischen Aspekte, die inhärent mit den Machern und Anhängern der Standardmodelle verknüpft sind. Wie konnte es dazu kommen, dass ein eher kleiner Kreis von „Wissenschaftlern“ - trotz dokumentierter Erkenntnislosigkeit, die sich u.a. durch die qualitative wie quantitative inkonsistente Beliebigkeit der postulierten Theorieentitäten und deren postulierten Wechselwirkungen manifestiert - bestimmt, was die anderen zu denken haben? Und warum verhalten sich andere „Wissenschaftler“ so passiv? Die transparent absurden Standard-Theoriewelten bieten Riesenangriffsflächen für logische und argumentativ begründete Kritik, doch es gibt so gut wie keine wahrnehmbar aktiven Kritiker. Die schlichte, übergeordnete Antwort lautet gemäß Gustave le Bon: „Nie haben die Massen nach Wahrheit gedürstet. Von den Tatsachen, die ihnen mißfallen, wenden sie sich ab und ziehen es vor, den Irrtum zu vergöttern, wenn er sie zu verführen vermag. Wer sie zu täuschen versteht, wird leicht ihr Herr, wer sie aufzuklären sucht, stets ihr Opfer.“ Von vielen, möglicherweise fast von allen Physiktreibenden, vom Studenten bis zum Professor, vom Wissenschaftsneugierigen bis zum mathematisch (gut) vorgebildeten Anhänger, vom "irgendwie Versteher" bis zum ahnungslosen Laien geht eine omnipräsente Systemgläubigkeit aus, die je nach Bildungsstand, mit mehr oder weniger scheinbar fundierten Argumenten, "Dinge", wie überlichtschnelle Raumausdehnungen oder Kaskaden von virtuellen Teilchen "vertritt", deren Begründungen aber letztendlich nur einer Prämisse folgen: (Moderne) Wissenschaft ist das, worauf man sich geeinigt hat, auch wenn experimentelle Fakten, Inkonsistenzen und die Anzahl freier Parameter klar gegen herrschende Standardmodelle sprechen. Abgehoben und von der Masse glorifiziert leben die Protagonisten der Modernen Theoretischen Systemphysik bezüglich alternativer Denkmodelle nach dem Motto: »Wir lesen nicht, wir schreiben selber.« Doch was wissen diese Leute wirklich von dem, was sie da treiben und schätzen? Was "kennen" sie, außer den "Dingen", die sie anhimmeln, stetig nachkorrigieren und mit aller Kraft verteidigen und wenn es als letzte Untat die postulierte Unwiderlegbarkeit (Stichwort Confinement-These) selbst ist, die sie propagieren? Methodisch organisierter Realitätsverlust als Wissenschaftsgrundlage Die Ursprünge des Realitätsverlustes, welcher mannigfaltig im Standardmodell der Teilchenphysik zum Tragen kommt, stammt aus der Quantenmechanik. Im Zuge der Kopenhagener Interpretation der Quantenmechanik ist der Realitätsverlust methodisch und gewollt. Gemäß der Kopenhagener Deutung von 1927 ist der Wahrscheinlichkeitscharakter quantentheoretischer Vorhersagen nicht Ausdruck der Unvollkommenheit der Theorie, sondern des prinzipiell indeterministischen (unvorhersagbaren) Charakters von quantenphysikalischen Naturvorgängen. Des Weiteren "ersetzen" die »Objekte des Formalismus« die Realität ohne selbst eine Realität zu besitzen. Die Kopenhagener Deutung zeichnet sich durch die Bequemlichkeit aus, die sie ihren »Gläubigen« liefert. Der Welle-Teilchen-Dualismus gestattet(e) ein "Umsteigen" auf die "Welle" mit einer e-Funktion mit komplexem Exponent, welcher gemäß Fourier Theorem es wiederum gestattet »ALLES« stückweise monotone, also auch jedes experimentelle Ergebnis, formal mathematisch darzustellen. Die statistische Deutung hält von der Mühe ab den physikalischen Prozeß zu erkunden. Anschaulichkeit und Phänomenologie werden ausgeblendet.
Je nach Vorwissen, zur Erinnerung, zur Kenntnisnahme und zur Selbstanalyse
Quarks sind keine Teilchen, weder im phänomenologischen noch im quantentheoretischen Sinne, da sie nicht als isolierbare Partikel bzw. Zustände auftreten. Die physikalischen Teilchen andererseits sind als gebundene Zustände aus Quarks zusammengesetzt zu denken. Den elementaren Größen der Quantenfeld-Theorie entsprechen keine physikalischen Objekte. Also die gewünschten, verschiedenen Arten von postulierten Elementarteilchen im SM unterscheiden sich durch die Quantenzahlen dynamischer Eigenschaften wie Ladung oder Isospin. Einige sind per Postulat masselos, andere nicht. Elektronen sind theoriegewünscht zum Masse- und Ladungspunkt verarmt. Einige andere sollten masselos sein, wie Neutrinos, sind es dann aber doch nicht. Auftretende mathematische Theoriefragmente, wie z.B. "5 Phasen" bei der CKM-Matrix werden einfach verworfen, da diese ergebnisorientiert nicht "passen". Da heißt es lapidar zum Thema „Quarkmischungen“: …Die CKM-Matrix (Cabibbo-Kobayashi-Maskawa-Matrix) wird physikalisch eindeutig durch drei reelle Parameter sowie eine komplexe Phase beschrieben (weitere fünf Phasen, die mathematisch auftreten, haben keine physikalische Bedeutung)…“ Das bedeutet schlicht und ergreifend, dass man sich ergebnisorientiert die mathematischen Elemente nimmt, die „irgendwie passen“ und andere einfach ignoriert. Wie auch immer, quantisierte Eigenschaften werden durch innere Symmetrien charakterisiert und haben nichts mehr mit Eigenschaften im üblichen Sinne gemeinsam, die als den Dingen inhärente physische Qualitäten aufgefasst werden können. Der Isospin der Nukleonen oder die »Farbe« der Quarks drücken überhaupt keine Qualitäten in diesem Sinne mehr aus, sondern nur noch beliebig festgelegte Basiszustände beziehungsweise Richtungen in einem abstrakten Raum, die durch Symmetrietransformationen aufeinander bezogen werden. Nahezu alle bisher bekannten Symbolsysteme werden zitiert. Mal sind es die Farben (rot, blau, grün), mal Buchstaben (u, d, s, c, b, t), mal symbolische Eigenschaften (strange, charm, beauty,...), als Begriff kommen auch noch die Aromen hinzu, für eine noch unterhalb der Quarks liegende Struktur wurden die Bezeichnungen 'tohu' und 'wabohu' aus der Schöpfungsgeschichte im Alten Testament vorgeschlagen. U.a. Religiosität, "neurologische Auffälligkeiten", Größenwahn sowie wissenschaftsbefreite "Kindergartensprache" kommen mit dem Theoretiker als "verwirrten", (Mathematik) gläubigen Menschen ins "Spiel".
Kommen wir zu der Forderung der »SMer«SM, dass ein funktionierendes alternatives Modell hunderte Meßwerte formal reproduzieren muss, so wie es ja auch das SM "macht" (es darf gelacht werden). »SMer« sind sich siegessicher, dass das nie geschehen wird. Ihre absolute Trumpfkarte im Spiel der Forderungen ist die theoretische Berechnung des anomalen magnetischen Moments des Elektrons und der damit assoziierte Meßwert, sofern wir das - aus vielerlei Gründen absurde und argumentativ widerlegte - Postulat der (realphysikalisch möglichen) Messung von Gravitationswellen hier erst einmal nicht berücksichtigen und Physik begutachten wollen. Naja, ich "sage" es mal so, stell' Dir vor es geht. Ich möchte das an dieser Stelle nur thematisch "anreißen", da es gemäß inhaltlichen Umfangs, konkreter Ausführungen etc. weit weg vom Primären über Denkmodellaspekte führt. Eine sehr ausführliche Betrachtung mit einer unerwarteten phänomenologisch begründeten, formalanalytischen - ohne Übertreibung - sensationellen Alternative und im Ergebnis erstaunlichen Werteberechnungen findet sich später in den vorliegenden Ausführungen zu den magnetischen Momenten. Bevor »wir«, die Leser, jedoch diese komplexen Detail-Betrachtungen der Anomalen Magnetischen Momente erreichen, sind die Standardmodelle, nach dem »expressionistischen Stirb- und Werde-Prinzip« im Sinne des »Prinzips der Parsimonie« schon tot. Warum ist das so?
Die grundsätzliche, phänomenologisch begründete Elementarkörper basierende Denkmodell-Forderung besteht darin, dass möglichst minimalistische Gleichungen, sowohl das masselose Photon als auch massebehaftete Materie abbilden.
Sowie, dass der Masse-Raum gekoppelte Mikrokosmos-Formalismus gleichfalls (formal analog) makroskopische Wechselwirkungen und Größen beschreibt und berechnet, ohne das hier erst einmal näher auszuführen:
Mit anderen Worten Konträr zur Aussage der Standardphysik, die vier Grundkräfte postuliert, lässt sich Elementarkörper basierend - auf Grund der (skalenkorrespondierenden) Masse-Raum-Kopplung - jedwede Wechselwirkung auf das Masse-Radius-Verhältnis der interagierenden Wechselwirkungspartner reduzieren. Das führt zu einer »konstruktiven Beschreibungsverarmung«, die entweder durch die Radien oder deren reziprok proportionale Massen ausgedrückt werden kann. Mit Hilfe dieser einkomponentigen wortwörtlichen Minimalbeschreibung lassen sich Materiebildungsmöglichkeiten verstehen und formal analytisch exakt berechnen.
Einzig folgende Meßwerte werden für die EKT benötigt: Masse des Elektrons, Masse des Protons, Gravitationskonstante, Plancksches Wirkunsquantum (als kleinste skalare Wirkung), die Lichtgeschwindigkeit, der Wert der elektrischen Elementarladung, der Wert der Dieelektrizitätskonstanten. Das wären 7 freie Parameter, die von der Natur vorgegeben und relativ einfach meßbar sind. Da wir hier die Gravitationskonstante, Plancksches Wirkunsquantum (als kleinste skalare Wirkung), die Lichtgeschwindigkeit, den Wert der elektrischen Elementarladung, den Wert der Dieelektrizitätskonstanten zu den freien Parametern der EKT zählten, müssen wir diese gemäß der verwendeten Standardmodell-Terminologie jedoch wieder abziehen, da diese nicht als freie Parameter aus Sicht der Standardmodelle gelten. Bedeutet: Die EKT benötigt nur 2 (!!!) freie Parameter!
Die Masse des Protons und die Masse des Elektrons
"Andererseits"...
Zum Vergleich: Das Standardmodell der ElementarteilchenphysikSM zielt darauf ab Materie-Entstehung und Wechselwirkungen durch rein abstrakte mathematische Symmetrien (Eichsymmetrien mit ihren Eichgruppen) zu erfassen. Das Standardmodell der Teilchenphysik benötigt (derzeit) 25 freie ParameterFP, variable Kopplungskonstanten, mehreren Dutzend postuliert essentielle Theorieobjekte]pet, assoziierte Verknüpfungszahlen (Quantenzahlen), diverse Substrukturierungs-Thesen, Confinement-These,…
[FP]
]pet Zählt man die Teilchen nach einer Regel, die zwischen Teilchen und ihren entsprechenden Antiteilchen sowie zwischen den vielen Farbzuständen von Quarks und Gluonen unterscheidet, ergibt sich eine Gesamtzahl von 61 Elementarteilchen. Wenn Neutrinos ihre eigenen Antiteilchen sind, dann würde die Gesamtzahl der Elementarteilchen nach denselben Zählkonventionen 58 betragen.
SM Bei genauer Sicht gibt es das SM nicht. Es ist bereits in sich fragmentiert und diesbezüglich unvereinbar. Hintergrund Weder die Maxwell-Gleichungen noch irgendwelche mathematischen Neu-Konstrukte der zeitgenössischen Quantenelektrodynamik offerieren konsistente Denkmodell-Phänomenologien zur Natur der Strahlung. Zur Verdeutlichung soll hier denkmodell-exemplarisch die Definition des Photons im Rahmen der Elektroschwachen Theorie, die weder in der QED noch allgemein formuliert im SM existiert, skizziert werden. In der Elektroschwachen Theorie werden, wie bei allen quantenfeldtheoretischen Eichtheorien, die Wechselwirkungen durch Eichbosonen vermittelt. In der Elektroschwachen Theorie treten zunächst vier masselose Eichbosonen auf, die auftretenden Eichbosonen werden als "Mischungen" definiert. Grundidee ist eine formale Vereinigung von elektromagnetischer und schwacher Wechselwirkung. Wobei W1, W2 und W3 keinerlei "messtechnische Realität" besitzen. Das Z0-Boson ist nicht wie die W-Bosonen maximal paritätsverletzend, da es einen Anteil des W3-Bosons enthält. Man sagt, die Zustände des Photons γ0 und des Z0-Bosons sind um den so genannten Weinbergwinkel gedreht. Das Photon soll sich in der Elektroschwachen Theorie wie in der QED verhalten. Diese Annahme/Forderung ist (phänomenologisch) haltlos, da das »Photon der QED« nicht dem Mischzustand der elektroschwachen Theorie entspricht. Auch ohne mathematische Konkretisierung lässt sich der Widerspruch qualitativ verstehen. Es wird im Rahmen der QED ein punktförmiges Elektron als strukturloses (elementares) Teilchen postuliert, welches im Theorie-Ergebnis eine unendlich große Ladung besitzt. QED-Trick: Durch die postulierte Polarisation des Vakuums (spontane Bildung von virtuellen Elektron-Positron-Paaren und virtuellen Photonen) wird die unendliche Ladung des Elektrons abgeschirmt und es ergibt sich die endliche, beobachtbare elektrische Ladung. In diesem Zusammenhang kommt es zu einer Ergebnis orientierten Verselbständigung der Mathematik. Es werden als erstes die konstruierten Singularitäten abgespalten (Regularisierung) und dann renormiert (endlich gemacht). Der theoretische Erfolg ist somit selbstprophetisch, das Ergebnis war bekannt. Bedeutet: Statt unverstandene, phänomenologiebefreite Größen bzw. Begriffe, wie Ladung und Masse (bestenfalls) auf primäre Begriffe zu reduzieren, werden weitere willküraffine Theorie-Konstrukte postuliert. Außer einer fragwürdigen, Realphysik befreiten mathematischen "Struktur", die mal richtige und mal (sehr) falsche VoraussagenVE liefert, bleibt (erkenntnistheoretisch) »Nichts«.
Stirb- und Werde- Ausgangssituation Heute regt es höchstwahrscheinlich niemanden mehr auf, wenn rückblickend über den Wechsel vom »Ptolemäischen Weltbild« zum »Heliozentrischen Weltbild« berichtet wird. Das war jedoch zu der damaligen Zeit eine extreme Situation. Es gab zwar bereits im antiken Griechenland Überlegungen, dass die Erde um einen fixen Punkt kreist. Dennoch war es Nikolaus Kopernikus (1473–1543), der mit seinem Hauptwerk „De revolutionibus orbium coelestium“ 1543 für eine wissenschaftliche Sensation sorgte. Er stellte ein mathematisch-naturphilosophisches Modell vor, in dem sich die Erde und die anderen Planeten auf Ellipsen um die Sonne drehten. Bis heute wird daher das heliozentrische auch als kopernikanisches Weltbild bezeichnet.
☼ Das geozentrische Weltbild entsprach der alltäglichen Erfahrung des Beobachters und widersprach nicht der Bibel. Die christlichen Kirchen übernahmen und verteidigten es entschieden. Das geozentrische Weltbild wurde bis zum Beginn der Renaissance nicht öffentlich hinterfragt. Erst mit Nikolaus Kopernikus, Giordano Bruno und Galileo Galilei traten ernstzunehmende Kritiker auf, die wegen der Befürwortung des »heliozentrischen Systems des Kopernikus« von der Inquisition wegen Häresie angeklagt wurden. Es ging für die Kritiker wortwörtlich um »Leben und Tod«. Tod für die, die sich gegen bestehende Ansichten auflehnten. Fakten und wissenschaftliche Argumentationen waren dem Glauben untergeordnet. Interessant zu erwähnen. Kopernikus war ein Bibelgläubiger. Er glaubte daran, dass die Erde - und damit der Mensch - im Zentrum des Kosmos steht. Sein Ziel war es, das ptolemäische Weltbild zu vereinfachen. Kopernikus will Widersprüche des Systems aus der Welt schaffen.
Kopernikus wußte, was ihm wegen seiner Forschungs-Ergebnisse eines heliozentrischen Weltbildes von Seiten der katholischen Kirche droht. Im Vorwort der Abhandlung wendet er sich deshalb direkt an den Papst und verweist darauf, dass die gnädige katholische Kirche schon Wissenschaftlern vor ihm die Freiheit gegeben habe, über die Bahnen der Planeten nachzudenken. Tatsächlich erweist sich der Vatikan zu Kopernikus Lebzeiten gnädig – wohl auch deshalb, weil er zum Zeitpunkt des Erscheinens schon im Sterben liegt. Letztendlich kommt »De revolutionibus orbium coelestium« 1616 auf den Index verbotener Bücher, da ist Kopernikus schon lange tot: Er stirbt am 24. Mai 1543 an einem Schlaganfall.
☼ Ergebnisoffenheit heute - Was hat sich zu "damals" geändert? - Hat sich was geändert? Heute inszenieren sich Wissenschaftler vordergründig gerne als aufgeklärt, faktenfreundlich, ergebnisoffen und bereit für neue Gedanken. Das fällt ihnen leicht, denn sie können sich schlicht nicht vorstellen, dass es zu spektakulären, neuen Ansätzen kommen wird, die sie selbst "alt aussehen lassen". Was passiert jedoch, wenn das, was diese heute lebenden Wissenschaftler – teils über Jahrzehnte – praktizier(t)en, in Analogie zum geozentrischen Weltbild, nicht mehr gelten soll? Ob der Kritiker und Denkmodellkonstrukteur auch heute noch Folter und Tod fürchten muß? Höchst wahrscheinlich nicht. Aber, wer weiß, sage niemals nie. Sicher ist Folgendes: Heute werden Karrieren verhindert und Alternativdenker diskreditiert.
Tatsache ist: Es ist sehr schwer für Menschen, zu akzeptieren, dass alles, was und woran man ein Leben lang geglaubt hat, plötzlich keine Bedeutung mehr hat und mitunter willentlich inszeniert wurde und eine große Lüge war und ist. Mit den Worten Gustave le Bons „Nie haben die Massen nach Wahrheit gedürstet. Von den Tatsachen, die ihnen mißfallen, wenden sie sich ab und ziehen es vor, den Irrtum zu vergöttern, wenn er sie zu verführen vermag. Wer sie zu täuschen versteht, wird leicht ihr Herr, wer sie aufzuklären sucht, stets ihr Opfer.“
Wie auch immer, es ist soweit. »Ihr« müsst jetzt stark sein und für immer Abschied nehmen von dem was war.
Um das im Ansatz zu verstehen, werden "jetzt" herrschende fundamentale Versuchs-Interpretationen und assoziierte Theorie-Wechsel-Wirkungs-Postulate in Frage gestellt und mittels Indizienbeweise, gemäß dem »Prinzip der Parsimonie«, plakativ formuliert, widerlegt. Ich kann mir sehr gut vorstellen, das als Erstreaktion, vom Quantenfeldtheoretiker bis zum Laienliebhaber der Standardmodelle, wenig Verlust-Angst aufkommt, da das Folgende so sehr dem bestehenden Wissensglauben widerspricht, das es als »Blödsinn« abgetan wird. Nun »ihr Lieben«, »ihr« habt theoriebeladen geglaubt aber nicht ergebnisoffen hingeschaut. »Ihr« hattet viele Möglichkeiten in den letzten mehr als 100 Jahren selbst darauf zu kommen. Doch die egozentrische Begeisterung Eures eigenen Schaffens und in dem Zusammenhang »Eure« zunehmende Begeisterung für Nicht-Widerlegbares und nicht Nicht-Detektierbares führten im Ergebnis zu einer Art von extrem willkürlicher, inkonsistenter »mathematischer Metaphysik« ohne Erkenntnisgewinn.
Die experimentelle Sachlage Alle Versuche die durchgeführt wurden, bestätigen gemäß Versuchsergebnissen, deren Berechnungsmöglichkeiten und Meßwerten das, was die Elementarkörpertheorie auf Grundlage der Masse-Raum-Kopplung phänomenologisch beschreibt und einfachst formal-analytisch in sehr guter Übereinstimmung mit Meßwerten berechnet.
Mein Aufklärungs-Tanz beginnt...
Stellen wir uns metaphorisch vor, es gäbe einen Raum der physikalischen Erkenntnis, dann ist die folgende Bestandsaufnahme ein Türöffner. i)
Der differentielle Streuquerschnitt dσ/dΩ nimmt für Elektronen stets die Gestalt dσ/dΩ = (e²/me4πε0c²)² · fW an, wobei der funktionale Zusammenhang fW die spezifische Art der Streuung angibt. Details zu fW finden sich exemplarisch zu den jeweiligen "Streugleichungen", von denen im Anschluss einige explizit aufgeführt sind. Das Verständigungs-Problem der herrschenden Physik bezüglich des (ungeliebten) klassischen Elektronenradius re(kl) löst sich auf, wenn man den wiederkehrenden Term (e²/me4πε0c²) Masse-Radius gekoppelt energetisch analysiert. Letztendlich besteht die Beziehung (e²/me4πε0c²) aus dem Verhältnis: elektrischer Energie zu Gesamtenergie (α/4) und dem Elektronenmasse inhärenten Elektronenradius re, der multipliziert mit π/2 der Comptonwellenlänge des Elektrons entspricht (λe = re · π/2)
Beispiele
Das Denkmodell Masse-Raum gekoppelter Entitäten liefert - phänomenologisch begründet (geometrisch anschaulich nachvollziehbar) - nicht nur Berechnungsmöglichkeiten für die magnetischen Momente von Neutron, Elektron und Proton, sondern auch exakte, einfache formalanalytische Gleichungen zur Berechnung meßbarer Größen, ausschließlich auf Grundlage möglicher Elektron-Proton-Wechselwirkungen, wie exemplarisch ...die Masse des Neutrons, GrundzustandsenergienHA, den Protonenmasse inhärenten Protonenradiuspr, die Masse des Pions, allgemein Masseberechnungen diverser Entitäten (auch die des Higgs-Bosons), die Temperatur der Hintergrundstrahlung, maximale Masse und Radius des Universums.
[pr]
Wie noch ausführlich erörtert wird, kann weder das SM noch das Standardmodell der Kosmologie (ΛCDM-Modell) auch nur einen einzigen Wert näherungsfrei berechnen und es fehlen mitunter fundamentale Begründungen für QM/QED/QCD basierende Rechenvorschriften. Wortwörtlich wird »Alles« mittels Großrechner-Cluster-Anlagen solange "durchgerechnet", bis die gewünschten Werte den Meßwerten entsprechen. Nicht einmal die Grundzustandsenergie des Wasserstoffatoms kann quantenmechanisch begründet sowie hinreichend berechnet werden:
Des Weiteren liefert die EKT u.a. eine exakte Berechnung und Herleitung der Feinstrukturkonstanten α, eine phänomenologische Begründung der Gravitation mit resultierenden exakten Berechnungsmöglichkeiten, eine Phänomenologie der elektrischen Ladung und diverser Ladungswechselwirkungsmöglichkeiten, der Ladungsinvarianz als solche.
Die EKT zeigt die einzige Möglichkeit auf, die Beziehung E = mc2 - phänomenologisch begründet - exakt herzuleiten. Insgesamt wird ein fundamentaler Zusammenhang zwischen Mikro- und Makro-Kosmos Masse-Raum gekoppelt begründet.
Dies führt zu der sagenumwobenen, sagenhaften Vereinheitlichung, von der alle Grundlagenphysiker träum(t)en. |
|
Warum glauben so viele Menschen, dass die bestehenden theoretischen Modelle sehr gut sind? Warum denken so viele Wissenschaftler, dass es keine besseren Alternativen gibt?
Psychologie der Masse(n) Es wäre naiv und töricht weit verbreitete Erwartungshaltungen zu ignorieren. Es ist nicht leicht einem Menschen, der zumindest im Kern einer Sache Realitätsnähe und Verhältnismäßigkeit erwartet, zu erklären, dass dem oft nicht so ist, insbesondere wenn es sich um wissenschaftliche Themen handelt. Das betrifft sowohl Laien als auch Wissenschaftsexperten. Besonders eklatant ist der Umstand, dass im Vergleich zu organisierten Religionen, die Theoretische "Grundlagen-Physik" samt assoziierter theoriebeladener Experimentalphysik suggeriert, ein hohes Maß an Objektivität und Glaubensfreiheit zu verkörpern. Und so sieht es auch die interessierte Bevölkerung. Physik ist sicherlich in vielen Köpfen einer der letzten Schau-Plätze an/auf denen man Glaubensbekenntnisse statt Wissenschaft vermutet.
Mythos »Theorieschaft« [Theorie schafft] Praktisch orientierte Ägypter, Römer und Griechen erschufen lange vor Einführung der Integral- und Differentialrechnung, lange vor theoretischen Modellen zur Tragfähigkeit und Biegemöglichkeit von Balken und Säulen, komplexe Bauwerke, deren Fragmente teils auch heute noch zu besichtigen sind. Nicht die Theorie zum Halbleiter schuf den Halbleiter, der Halbleiter als elektrotechnisches Bastel- und Tüftler-Objekt ließ Spielraum für theoretische Betrachtungen. Funktionierende Technik als Innovation Angewandter Physik bedarf und bedurfte versuchsfreudiger „Macher“, (Miß-)Erfolge (trial & error) zeigten den Weg. Tatsache ist ausnahmslos: Theoretische Modelle hink(t)en stets der (meßbaren) Realität hinterher. Der Mythos, das hochkomplexe, mathematische Theorien die Wirklichkeit beschreiben und Neues generieren konnten und können, lebt. Dass jedoch die Voraussagefähigkeiten der theoretischen Modelle bei genauer Sicht Ergebnisse von immer wieder (neu) durchgeführten Nachkorrekturen sind, erschließt sich den meisten Interessierten nicht. Theoretisches wurde über Jahrzehnte immer wieder genaueren Meßergebnissen angepasst. Sei es durch Zusatzrechnungen, neue Quantenzahlen, neue Wechselwirkungspostulate und Substrukturthesen. Realobjekt-Interpretationen werden im Rahmen der Standardmodelle aus mathematisch formalisierten (esoterischen [BR]) Konzepten geboren. Wie bereits erwähnt, im heutigen Standardmodell orientierten Denken werden theoretische Befunde postuliert, nach denen dann mittels computersimulierten „Versuchsaufbauten“ selektiv gesucht wird. Diese stark theoriebeladene Suche kennt keinen einzigen direkten Nachweis und lässt sich auf Grund der vielen freien Parameter, nicht detektierbaren postulierten Theorieobjekte und deren postulierten Kaskadenereignissen beliebig ergebnis-interpretieren. In dem Zusammenhang ist es erstaunlich, wie viele „Interessierte“ und „Wissenschaftsprofis“ festen Glaubens sind, Quantenfeldtheorien wären innovative theoretische Konzepte, die praktische Anwendungen generier(t)en.
Verbreitungsstrategie von Objekt- und Entstehungsmythen Es beginnt grundsätzlich „ordentlich“, siehe exemplarisch das Youtube-Video Simulation of the neutron star coalescence GW170817 Die Beschreibung seitens des Max-Planck-Instituts für Gravitationsphysik (Albert-Einstein-Institut) beginnt mit …“The video shows a numerical simulation“… Doch keiner der Verkünder, ob Wissenschaftler, Wissenschaftsjournalist, Nachrichtensprecher, …, „meint“ letztendlich, dass es sich, sowohl theoretisch als auch physisch, um nichts weiter als Hypothesen handelt. Stark theoriebeladene Wünsche werden „im guten (doppeldeutig) materiellen Glauben“ materialisiert. Obwohl jeder sehen könnte, was er nie wirklich sehen wird…
Wahrnehmungsmöglichkeiten: In unserem Sonnensystem gibt es weder Neutronensterne, Gamma Ray Bursts (GRBs) noch Schwarze Löcher (respektive „Anomalien“, die als solche interpretiert werden können). Eine Liste postuliert „erdnächster“ Schwarzer-Löcher-Kandidaten findet sich unter https://en.wikipedia.org/wiki/List_of_nearest_black_holes mit einer „kürzesten“ Entfernung von 2800 Lichtjahren. Zum Vergleich: Der nächste Stern „aus unserer Sicht“ ist mit 4,24 Lichtjahren Proxima Centauri (https://de.wikipedia.org/wiki/Proxima_Centauri). Objekt- und Entfernungs-Angaben beziehen sich auf die „Sicht des ΛCDM-Modells“. Das angesiedelte soziologische Wahrnehmungsproblem „besteht“ darin, dass hier, nach einfachem psychologischem Glaubens-Muster, diverse postulierte Theorieobjekte unterschiedlichster Art, teils seit Jahrzehnten - der mit rudimentärem Wissen ausgestatteten Bevölkerung - als 100% real existent sprichwörtlich "verkauft" werden. Diese fördermittelbringenden Theorieobjekte sollen dann ein „Kaskadenereignis“ bilden. Beispiel: Es wird vorausgesetzt, dass kurz bevor zwei hypothetische Neutronensterne verschmelzen, eine Gravitationswelle emittiert wird, der dann ein GammaRayBurst folgt. Die beispielsweise postulierte Verschmelzung zweier Neutronensterne aus „Sicht des Standardmodells der Kosmologie“ in einer Entfernung von 130 Millionen Lichtjahren samt GRB vor 130 Millionen Jahren ist jedoch eine reine Glaubens-Hypothese. Sie wird nicht dadurch wissenschaftlicher, dass „alle“ daran glauben [AB]. Es gab mal eine Zeit, da glaubten die meinungsbildenden „Wissensführer“ die Erde sei Mittelpunkt des Universums. Es gab mal eine Zeit, da glaubten die „Wissensführer“ an die Phlogistontheorie. Man kann diesen Menschen nicht nachsagen, dass sie dumm waren. Es gab aus damaliger Sicht vermeintlich gute Argumente, und im Falle der Geozentrik eine begleitende Mathematik, die diese Ansicht unterstützte.
Wie findet man schnellstmöglich heraus, ob es sich überhaupt lohnt, einem unbekannten Denkmodell Zeit und Beachtung zu schenken? Der einfachste und schnellste Weg ist ein Blick auf die aus dem Modell heraus gebildeten Gleichungen und die daraus ermittelten Ergebnisse, in Form von konkreten Werten für meßbare physikalische Größen. a) Existieren keine Modell basierenden formalisierten Berechnungen die mit meßbaren Werten korrespondieren, handelt es sich nicht um ein brauchbares physikalisches Erklär-Modell. b) Wurden diese experimentell bestätigt, so ist zumindest die erste Hürde genommen. Doch leider tendier(t)en viele Denkmodell-Gestalter dazu, in Anbetracht der geforderten Meßwertgenauigkeit, ihre Gleichungen ergebnisorientiert "weiter zu modellieren", ohne jedoch eine konsistente, nachvollziehbare Erklärung innerhalb ihres Denkmodells dafür zu liefern. Beziehungsweise, es werden freie Parameter eingeführt, die gleichfalls ohne Erklärung ergebnisorientiert in ihrer "Theorie" zum ersehnten, bekannten Meßwertziel führ(t)en. Sind solche Modellierungen nicht vorhanden und wurden auch keine freien Parameter eingeführt, so lohnt sich ein Blick auf das Denkmodell.
Voraussetzungen für die Gestaltung eines epistemologisch bedeutenden Denkmodells Zum konstruktiven kritischen Denken und Handeln gehören Fähigkeiten und Fertigkeiten
…die Fähigkeit der Mustererkennung und beobachteten zahlenmäßigen Auffälligkeiten …die Fähigkeit Argumente zu identifizieren …die Fähigkeit die Qualität der Argumente prüfen zu können …die Fertigkeit Alternativen identifizieren zu können …die Fertigkeit Alternativen formulieren zu können. … die Fertigkeit (das Handwerk) zu formalisieren, sofern es formalisierbar ist. Physikalische Denkmodelle müssen ausnahmslos formalisierbar sein, denn nur im Rahmen der Formalisierung sind Denkmodell-Voraussagen möglich, die im Experiment verifiziert respektive falsifiziert werden können.
Ein naturphilosophisch wertvolles physikalisches Denkmodell ist phänomenologisch begründet, konsistent, sowohl mathematisch als auch plausibel verstehbar, minimalistisch, universell ("skalen-korrespondierend") und experimentell direkt überprüfbar. In einem allgemein verständlichen Denkmodell ist Mathematik nur Mittel zum Zweck. Nichts weiter als ein plausibilitäts-resultierendes, praktisches Ordnungs- und Formalisierungsinstrument.
Weltliches - Cui bono? Übergeordnet stellt sich die Frage, inwieweit Akademisierungen von Naturvorgängen die Natur beschreiben oder eher von Moral und Ideologie beeinflusst werden, um eine Massenmeinung zu etablieren bzw. zu festigen. U.a. mit dem Ziel über ein Fachgebiet hinaus - interdisziplinär vermeintlich verstehbar – Lehraufträge und Forschungsgelder zu begründen und von der Allgemeinheit finanzieren zu lassen. Hier sind Spielräume für metaphysische Betrachtungen, sprachliche Übertreibungen und instrumentalisierte Ungewissheiten deutlich besser geeignet, Massen zu mobilisieren als "schnöde" Denkmodellstringenz. Nicht umsonst heißen die nicht detektierbaren Objekte und deren nicht detektierbare Wechselwirkungen der etablierten Standardmodelle suggestiv Dunkle Materie, Dunkle Energie, Dunkle Photonen. Mystifizierung und wissenschaftlich inszenierte Unwissenheit gehen hier Hand in Hand mit religiösen westlichen Glaubensbekenntnissen. Solche Denkmodelle besitzen eine deutlich größere Strahlkraft für den "gemeinen" populärwissenschaftlich Interessierten als formal-analytisch, determinierte Beschreibungsmodelle.
Sein oder Nichtsein Es geht übergeordnet nicht um die sinnlose Frage, was (physikalische) Wahrheit ist, denn ein Denkmodell ist eben nur ein Denkmodell. Es geht aber sehr wohl um die ehrliche Frage, inwieweit ein gegenwärtiges Modell, beispielsweise zur Materiebildung, minimalistisch ist und zugleich eindeutige formalisierte Lösungen liefert, die sich als Meßwerte experimentell bestätigen lassen.
Natur lässt sich nicht formalisieren. Was sich formalisieren läßt, sind Denkmodelle zur Beschreibung der Natur.
"Objektivität ist die Wahnvorstellung, Beobachtungen könnten ohne Beobachter gemacht werden." Heinz von Foerster ( 1911 – 2002) Ein Beispiel zum Verständnis Der Mond ist ein inhomogenes, makroskopisches Vielteilchenobjekt. Ohne seine Struktur zu kennen, lässt er sich aus der Ferne - ohne Verwendung komplizierterer Denkmodelle – bereits im Rahmen der „Geometrischen Optik“ erkennen und als Objekt im „Lichtweg“ beschreiben. Bedeutet: Bezogen auf ein gewöhnliches Teleskop „sehen“ Beobachter diesen, wenn „Licht“ auf ihn „fällt“, welches in Richtung des Teleskops reflektiert wird. ABER: Kein „Licht“ bedeutet KEIN Mond bei Verwendung eines „Licht“-Teleskops. Was „da“ ist und was nicht, ist grundsätzlich eine Frage der Wahrnehmungsmöglichkeiten. Auch wenn wir den Mond nicht sehen, so wirkt dieser kontinuierlich gravitativ. Haben wir auch keine Möglichkeit Gravitation zu messen und wird der Mond nicht „bestrahlt“ ist er gemäß unserer Messmöglichkeiten auch nicht „da“. Allgemeine Aussagen zur Wahrheit der Wahrnehmungen Wir verfügen über keine allgemein anerkannte Wahrheitstheorie. Die Übereinstimmung von Aussage und Wirklichkeit kann nicht objektiv festgestellt werden. Dieser Sachverhalt wird insbesondere dann problematisch, wenn die Theorie bestimmt, was gemessen werden soll. Mit den historischen Worten Werner Heisenbergs (1931): „Zu jeder Messung einer quantentheoretischen Größe ist ein Eingriff in das zu messende System nötig, der das System unter Umständen empfindlich stört. Die Messung der Strahlungsenergie in einem mathematisch scharf begrenzten Teil eines Hohlraumes wäre nur möglich durch einen ”unendlichen“ Eingriff und ist deshalb eine nutzlose mathematische Fiktion. Ein praktisch durchführbares Experiment kann nur die Energie in einem Bereich mit verwaschenen Grenzen liefern.“ Zum Verständnis Werner Heisenbergs Aussage folgend ein makroskopisches Gedankenexperiment Stellen wir uns vor, wir verwenden zur Untersuchung des Mondes einen weiteren (möglicherweise beschleunigten) Mond und lassen nicht „etwas“ Licht sondern den Untersuchungsmond auf den zu untersuchenden Mond prallen (Kollision). U.a. in Anhängigkeit der Größe und Masse, des Aufprallwinkels und der Geschwindigkeit des Testmondes (bedeutet zusätzliche kinetische Energie) wird das zu untersuchende Objekt nun während und nach der Wechselwirkung mit dem Testobjekt verformt, gespalten, …, (teils) zertrümmert und mit der Zeit werden die Trümmerteile gravitativ neue Strukturen bilden (können) oder „davon fliegen“… Im Ergebnis werden nicht die charakteristischen Eigenschaften des zu untersuchenden Objektes „gemessen“, sondern wir haben mit unserem Untersuchungsobjekt eine neue (Versuchs-)Wirklichkeit geschaffen, aus der wir nahezu keinerlei Aussage über das eigentliche Testobjekt erhalten können. Absurderweise geschieht genau das in einem Teilchenbeschleuniger. Die mit extremer Zusatzenergie „beladenen“ Kollisionspartner können rational logisch betrachtet während der Kollisionswechselwirkung und danach nicht herangezogen werden, um Strukturinformationen über ruhende Teilchen (Protonen, Elektronen, Bleikerne) zu erlangen. Konträr dazu behaupten die Macher des Standardmodells der Elementarteilchenphysik, dass das möglich sei. Bei genauer Betrachtung basiert das gesamte theoretische Gebäude ursächlich und experimentell über Jahrzehnte wiederholt auf dieser fatalen Annahme. Später in den Ausführungen werden detaillierte (fachspezifische) Betrachtungen zu dieser, aus Erkenntnissicht, katastrophalen Denkmodellannahmen von Brigitte Falkenburg zitiert, erörtert und sachlich kritisiert.
|
Gibt es noch etwas "Konträres" in der Theoretischen Grundlagenphysik zu entdecken? Hat der herrschende Indeterminismus der »Modernen Theoretischen Physik« das "letzte Wort"? Der Glaube an das Standardmodell der Teilchenphysik (SM) ist heute so selbstverständlich, wie "damals" der Glaube an die Epizykeltheorie des geozentrischen Weltbildes. Keiner kann sich auf Grund der weltweiten, jahrzehntelangen Beschäftigung der Theoretischen Physik mit Quantenfeldtheorien (QFTn) vorstellen, dass diese (noch) irgendwie fundamental "falsch" sein könnten respektive durch fundamental andersartige Theoriekonzepte im Sinne des Prinzips der Parsimonie ersetzt werden können. Gleiches dogmatisches Denken gilt für das Standardmodell der Kosmologie (ΛCDM-Modell). Und doch... Im Folgenden wird gezeigt, dass das, aus Standardmodellsicht, vollkommen Unerwartete, scheinbar Unmögliche bereits seit Jahren als "Denkmodell-Realität" existiert und im Sinne des Prinzips der Parsimonie den Standardmodellen bezüglich aller signifikanten Parsimonie-Aspekte überlegen ist...
Die Elementarkörpertheorie (EKT) befasst sich insbesondere mit der Frage, wie Masse und Raum basisnah miteinander verknüpft sind und im „Zusammenspiel“ zu verständlichen Materiebildungen führen, die sich näherungsfrei, sowohl mikroskopisch als auch korrespondierend makroskopisch - berechnen lassen.
statt
Konträr zur Aussage der Standardphysik, die vier Grundkräfte postuliert, lässt sich Elementarkörper basierend - auf Grund der (skalenkorrespondierenden) Masse-Raum-Kopplung - jedwede Wechselwirkung auf das Masse-Radius-Verhältnis der interagierenden Wechselwirkungspartner reduzieren. Das führt zu einer konstruktiven Beschreibungsverarmung, die entweder durch die Radien oder deren reziprok proportionale Massen ausgedrückt werden kann. Mit Hilfe dieser einkomponentigen wortwörtlichen Minimalbeschreibung lassen sich Materiebildungsmöglichkeiten verstehen und formal analytisch exakt berechnen.
Die »Freien Parameter« des Masse-Radius-gekoppelten Raumes
Lagrange-Dichte
Neben dieser konkreten »Formulierung« gibt es noch weitere "Abbildungs-Varianten"...
Elementarkörpertheorie Die Elementarkörpertheorie (EKT) liefert neben konkreten Voraussagen insbesondere plausible, sinnerfahrbare Phänomenologie. Mathematik ist zwar "Denkmodell-inhärent", aber im Rahmen der EKT nur "Mittel zum Zweck". Die Elementarkörpertheorie baut auf Plausibilität und Minimalismus auf und ist nachvollziehbar weder an Wahrscheinlichkeiten noch methodischer Materiezersplitterung interessiert. Inhaltliche Konflikte mit bestehenden Theorien und Modellen, insbesondere mit dem Standardmodell der Elementar-Teilchenphysik (SM), der ursächlichen Quantenmechanik (QM) und dem Standardmodell der Kosmologie (ΛCDM-Modell) sind unausweichlich.
Konkrete Wertberechnungen des alternativen Denkmodells der Elementarkörpertheorie sollen das stichprobenartig ("früh" im Text) eindrucksvoll verdeutlichen, ohne hier bereits auf die dem Denkmodell zu Grunde liegende konsistente Phänomenologie ausführlich einzugehen.
Verkörperung des euklidischen Abstandes Die Selbstverständlichkeit, dass die Wegstrecke auf einer Kugeloberfläche nicht der euklidischen Entfernung zwischen den Punkten A und B entspricht bedarf keiner Abstraktion. Die kürzeste Entfernung zweier Punkte auf einer Kugeloberfläche ist die so genannte Orthodrome (griechisch: orthos für gerade und dromos für Lauf).
Die Tatsache, dass wir makroskopisch in sehr guter Näherung - in Korrespondenz zum Masse-Raum-gekoppelten Mikrokosmos gemäß Elementarkörper-Modell – auf einer Kugeloberfläche leben, bedarf wenig Fantasie. Der folgend erste kurze Denk-Ausflug in die Plausibilität des Elementarkörperprinzips ist möglicherweise für Leser mit wenig mathematischen Modell-Verständnis formal etwas verfrüht und doch bietet sich dieser hier an... Elementarkörper(-Theorie EKT) Zentrales Element des Denkmodells ist eine (zeitabhängige, Masse-Radius-gekoppelte) Hohlkugel (Elementarkörper). Die Idee, dass elementare Strukturen initial aus oszillierenden Kugeloberflächen bestehen, führt nicht zu einem vierdimensionalen Konzept mit Vertauschungsmöglichkeiten von Raum und Zeit (Stichwort (postulierte) Raumzeit). Im Rahmen der Elementarkörpertheorie kommt es ganz im Gegenteil zu einer konstruktiven „Beschreibungsverarmung“.
Die Isotropie (Kugelsymmetrie) führt zu einer 2-dimensionalen Plausibilität, die sich formal auf Zeit und Radius „verarmt“, da im Elementarkörper-Denkmodell die Elementarkörper-Masse inhärent (reziprok) mit dem Radius verknüpft ist, ohne das an dieser Stelle bereits im Detail explizit auszuführen:
Ein Verständigungs- und Interpretations-Problem besteht darin, dass stillschweigend vorausgesetzt wird, dass es (im Mikrokosmos) die klassische Möglichkeit eines euklidischen Abstandes gibt und dass dieser euklidische Denk-Ansatz im Rahmen der Allgemeinen Relativitätstheorie (ART) durch einen „gekrümmten dreidimensionalen Raum mit (erweiterter) Zeitfunktion“ eine abstrakte differentialgeometrische Erfüllung findet. Aber beispielsweise weder der »quantenmechanische Spin«, basierend auf einer postulierten Wahrscheinlichkeitswelle oder wahlweise postulierten Punktmasse (des Elektrons), noch die postulierte Krümmung des Raumes beinhalten physikalische Plausibilität, geschweige denn sinnerfahrbare Realität.
Eine weitere Parsimonie-Prinzip-Schock-Möglichkeit Wie gezeigt wird, ergeben sich u.a. alle relevanten Charakteristika der Relativitätstheorie aus einer/dieser "klassischen" Elementarkörperbetrachtung. Das Verständigungs- und Interpretations-Problem begann bzw. beginnt - wie so oft - mit einem Realphysik befreiten Formalismus. Die beobachtbare Invarianz der (Vakuum-)Lichtgeschwindigkeit ist keineswegs "direkt" mit der Speziellen Relativitätstheorie (SRT) verbunden, wie suggeriert wird. Das historisch viel zitierte Michelson-Morley-Experiment ist eindimensional konzipiert und sagt gar nichts über Masse behaftete Teilchen im Sinne der herrschenden Physik aus und behandelt auch keine transversalen Komponenten. Die mathematische Invarianz der transversalen Komponenten ist lediglich eine formale Konsequenz der geradlinig gleichförmig bewegten Beobachter bezüglich kräftefreier Teilchen in einem mathematischen Denkmodell. Mit anderen Worten, dass gesamte Konstrukt der Lorentztransformation(en) ist an Inertialsysteme gebunden. Phänomenologisch sagt die SRT schlicht nichts über die Invarianz der Lichtgeschwindigkeit. Bevor hier Mißverständnisse aufkommen, es wird nicht behauptet, dass die Mathematik der Relativitätstheorie falsch ist. Wie könnte auch eine axiomatisch begründete These falsch sein? Doch das mathematische Konstrukt besitzt - außer der zu Grunde liegenden beobachtbaren Invarianz der [Vakuum-]Lichtgeschwindigkeit - keine realphysikalische Basis. Es existieren zwar Beobachtungen aber es existiert schlicht keine Phänomenologie zur Mathematik der SRT. Die Inertialsystem behaftete »Relativität der Beobachter« ist eine "heikle Sache", da es in der Natur nur dann zu messbaren Systemänderungen kommt, wenn Energie ausgetauscht wird. Energieaustausch bedeutet aber grundsätzlich, dass "Kräfte" wirkten oder weniger mystisch ausgedrückt, daß Beschleunigungen auftraten. Mit der Beschleunigung "verabschiedet" sich das Inertialsystem und folgerichtig gleichfalls die Lorentztransformationen. Die Mathematik der SRT ist nicht falsch sondern schon "per Definition" nicht dynamisch. Physik bedeutet Wechselwirkung und Energieaustausch. Koordinatensysteme und Koordinatentransformationen "sind" keine physikalischen Vorgänge, sondern Mathematik. Es wird nicht geklärt, wie die Energiedifferenz und die „Struktur der Energiespeicherung“ über Koordinatentransformationen erzeugt wird oder „verschwindet“. Gemäß Relativitätstheorie gilt: Der Energieinhalt eines Teilchens ist abhängig von der Geschwindigkeit dieses Teilchens und resultiert aus einer Beobachtung, all das relativ aus Sicht eines Inertialsystem behafteten Beobachters. Wenn sich die Geschwindigkeit ändert, dann ändert sich auch der Energieinhalt. Dies bedeutet: Durch den veränderten Energieinhalt muß sich zwangsläufig auch die innere Struktur der Teilchen ändern, denn die Energie wird „irgendwie“ und „irgendwo“ gespeichert und ist abrufbar. Phänomene wie die Änderung des Massenwertes in Abhängigkeit der Geschwindigkeit können mit der Relativitätstheorie nicht erklärt werden. Die Relativitätstheorie liefert keine physikalische Rechtfertigung, die erklärt, warum und wie Masse größer oder kleiner wird. Für Relativitätstheorie-Eingeweihte kommt jetzt möglicherweise der erste nachhaltige »Parsimonie-Prinzip-Schock«, sofern man an Bekanntem festhalten möchte aber - ergebnisoffen und an Rationalität orientiert - bereits "SRT-fern" realisieren kann, was hier geschieht. Die zeitabhängigen Elementarkörper-Entwicklungs-Gleichungen leiten sich aus der beobachteten Invarianz der (Vakuum-)Lichtgeschwindigkeit ab. Der fundamentale Unterschied zur (Speziellen) Relativitätstheorie respektive zur Lorentztransformation ist der wechselwirkungsnotwendige radialsymmetrisch-dynamische Charakter dieser Gleichungen. Der dynamische Faktor γdyn ist inertialsystembefreit und wirkt radialsymmetrisch. γdyn lässt sich "einfachst" aus der Elementarkörpergleichung r(t) mittels dr/dt ableiten :
Aus Sicht der realphysikorientierten Elementarkörpertheorie bleibt - wenn man so will - von der Speziellen Relativitätstheorie (nur) der Lorentzfaktor γSRT als eindimensionaler, statischer Fall einer Elementarkörpertheorie basierenden allgemein gültigen Formulierung γdyn "übrig":
»eΥch« (Eich-)Basisgrößen der Elementarkörpertheorie Das Denkmodell der Elementarkörper arbeitet mit folgenden, experimentell ermittelten Beobachtungs-Größen: Invarianz der (Vakuum-)Lichtgeschwindigkeit c, der Gravitationskonstanten γ und der elektrischen Elementarladung e. Als (Mengen-)Postulat wird das Planksche Wirkungsquantum h als kleinste (skalare) Wirkung definiert, welche sich phänomenologisch und "rechnerisch" zwanglos aus der Elementarkörperdynamik ergibt : ΔE · Δt = (m0c²) · ( r0π/2c) = h.
Details siehe das Kapitel Plancksches Wirkungsquantum. Auch der Term m0c² lässt sich direkt aus der Elementarkörperdynamik ableiten, Details siehe das Kapitel Herleitung der Masse-Energie-Äquivalenz. Zeitstabiles Elektron und zeitstabiles Proton respektive Elektronen- und Protonenmasse sind zwar gestalterisch von realteilchenursächlicher Bedeutung und führen in der makroskopischen Betrachtung (mittels Grundzustandsenergie des Wasserstoffatoms und der Gravitationskonstante) u.a. zur Endgröße (Gesamtmasse und Gesamtradius) des Universums, aber die (allgemeine) Elementarkörper-Phänomenologie als solche, ist nicht von diesen konkreten Massen abhängig.
Übergeordnete system-methodische Problematik(en)
In diesem Sinne geht es weiter mit phänomenologisch begründeter
"Schön" ist (auch) die
Eigene Geschichte „Schuld“ ist Klaus von Klitzing (1943 geboren), Nobelpreisträger für Physik des Jahres 1985. Während meines Physik-Studiums hielt er im Rahmen einer Jubiläumsfeier an der Universität Duisburg einen Gast-Vortrag und referierte u.a. über das Thema Naturkonstanten und in dem Zusammenhang bekräftigte er die Idee des Zufalls in der Natur. Das widersprach und widerspricht meinem Denken über Natur. Da ich mich u.a. fragte, warum jemand überhaupt einen Nobelpreis für Experimente zur Quantelung des Magnetfeldes bekam, da ich das «quantisierte Magnetfeld» im Rahmen Quantenfeldtheorie basierender Formalismen als stringent weiter gedacht, voraussetzte, entstand eine gewisse sportliche, nonkonforme Motivation, mich intensiv mit dem Sein der Materie zu beschäftigen. So entstanden im Jahre 1986 die ersten Ausführungen zur Elementarkörpertheorie (EKT).
Duisburg Impressionen "Nowhere to run"
[Angela Brasil Berlin adf c-print]
[Raubtier & Alex Dirk Freyling c-print foto von T.B. 59ndf] ...am Rand des Wissens dem Wirrsein nah stumm die mein Schweigen mehren das Leben ist so wunderbar... [Basissuche Dirk Freyling 47ndf]
Landleben Impressionen
[Strand Warnemünde c-print adf 59ndf]
[Madlaine & Angela Warnemünde Strand c-print adf 46ndf]
[Miss Cheyenne Warnemünde Strand c-print adf 46ndf]
[Miss Cheyenne & Kathleen White Warnemünde Strand c-print adf 46ndf]
[ nature c-prints adf 45ndf ]
es war einmal... ![]()
[ DominaSilvia & AlexD
Dungeon BeaudryStreet Montreal c-print
32ndf (1996) ]
Mitte-Ende der 1990er Jahre Fetish Cafe Montreal
[Domina Silvia Stacy Philip "gute Seele" Hausmeister des Fetish Cafes]
[ von links Salem, "Bedienung" im Fetish Café ...Latex-Mode-Foto-Session, (part time lover) Jennifer-Ann Domina Silvia AlexD ]
[ Stacy "Bedienung" Fetish Cafe & part time lover]
[ Chriss Lee von Talamasca ...live im Fetish Cafe ]
[ AlexD-Fotosession Polymorphe Latex Fetish Cafe & Beaudry Street Dungeon adf ] Ich war auch einer der ersten Fotografen, die das damals gegründete Latex-Mode-Label Polymorphe aus Montreal abbildeten.
Ich habe diverse Musik Video Projekte initiiert und durchgeführt. Wie z.B. für Soulstripper...
[ Dungeon Beaudrystreet (gegenüber vom Fetish Cafe) Musik-Video-Aufnahmen mit Soulstripper ]
Montreal Fetish Festival Ich bin der Mit-Vater (Festival-Geburtsjahr 1996) der größten nordamerikanischen Fetisch-Veranstaltung, siehe »Montreal-Fetish-Festival«, welches nach wie vor und aktuell von dem Französisch-Kanadier Eric Paradis (damaliger Geschäftspartner) betrieben wird.
AlexD Fetisch-Filme Ich habe insbesondere im Zeitraum von 2000 bis ~ 2010 „gut und gerne“, international erfolgreich, von der Gestaltung, Durchführung, Produktion und dem Vertrieb von explizit erotischen Fetischfilmen in einem künstlerischen Gesamtkonzept gelebt [AD]. Das ermöglichte mir eine nachhaltige Basis zu schaffen, zeitreich zu sein. Zur Berlinale 2014 „durfte“ ich in einem RBB-Interview kurz zu »Pornografie und Kunst« [PK] sprechen.
[AD] ... Ich bin, ohne Übertreibung, ein international bekannter Fetischfilmregisseur (AlexD), u.a. auch Venus-Award-Gewinner 2004. Ich gehöre weltweit historisch zu den TOP TEN dieses Genres.
Das Problem war/ist, dass im Zuge der deutschen und europäischen Informationszensur, alle direkten Einträge bezüglich meines Künstlernamens AlexD aus europäischen Suchmaschinen Schritt für Schritt auf Initiative der deutschen Bundesprüfstelle gestrichen wurden. Nicht weil meine Inhalte gefährlich wären, der Grund war/ist: Ich habe mehrfach die Bundesprüfstelle massiv auf sachlicher Ebene in Frage gestellt. Ich hatte u.a. Horst Ehmke (1927 – 2017) persönlich kennengelernt und war an der Seite des Parteivorsitzenden Uwe Albrecht Ende der 1990er Jahre kurzzeitig Mitglied der SPD-Augsburg (Arbeitskreis Innere Sicherheit). Zuvor wurde ich vom kanadischen Staat wegen moralischer Verfehlungen verfolgt (… „Täter ohne Opfer“) und hatte letztendlich die Wahl zwischen Deportation oder freiwilligen Wegzug aus Kanada. Meine Internetseiten im Rahmen meines Künstlernamens AlexD wurden, wie bereits erwähnt, auf Bestreben der deutschen Bundesprüfstelle [BP heute Bundeszentrale für Kinder- und Jugendmedienschutz (BzKJ)] letztendlich im gesamten europäischen Raum aus den Suchmaschinen verbannt, da im Zuge der „europäischen Homogenisierung“ auch Inhalte im europäischen „Suchmaschinen-Ausland“ wegzensiert wurden, obwohl diese dort in jeder Hinsicht unproblematisch sind. Wenn man so will im Ergebnis ein europäisches Werbe- respektive diesbezügliches Berufswerbeverbot auf Grundlage von tradierten, willkürlichen Moralvorstellungen.
Wünschenswertes Säugetier-Lebensmodell Dass es nicht irgendeiner staatlichen Führung oder Religion bedarf, um Ordnung zu generieren, beweisen eindrucksvoll und nahezu gewaltfrei Zwergschimpansen. Das Bonobo-Erfolgsmodell des Zusammenlebens wird täglich gelebt. Die universelle Lösung der Bonobos ist die Beseitigung aller Gruppenkonflikte mittels Sex. Bonobos sind mit Abstand die gewaltfreiesten höher entwickelten Säugetiere. Dieses Konzept kann auf Grund der religiös motivierten basisfremden Menschen-Moral nicht auf den Menschen von heute übertragen werden. Wie ausgeprägt die Empathiefähigkeit der Bonobos entwickelt ist, verdeutlicht der Artikel Bonobos helfen auch Fremden Konkreter: Im Gegensatz zum Menschen und im Gegensatz zu Schimpansen (siehe z.B. Schimpansenkrieg von Gombe) führen Bonobos keinen Krieg untereinander. Bonobos sind bezüglich ihres sozialen Verhaltens bei genauer(er) Sicht weder mit Schimpansen noch mit Menschen zu vergleichen. Übermäßige Aggressionen werden mit sexuellen Interaktionen im wahrsten Sinne des Wortes „entspannt“. Sexualität ist wichtiger und fester Bestandteil der Gruppe. Auch das Gewähren sexueller Kontakte untereinander im Gegenzug zur Nahrungsabgabe ist Alltag. Anders als die meisten Tiere sind Bonobos nicht nur in bestimmten Situationen, sondern bei vielen Gelegenheiten sexuell aktiv. Das scheint geradezu ein integraler Bestandteil ihrer sozialen Beziehungen zu sein – und nicht nur derer zwischen Männchen und Weibchen. Frans B. M. de Waal (niederländischer Zoologe und Verhaltensforscher) zeigt in dem Artikel Die Bonobos und ihre weiblich bestimmte Gemeinschaft exemplarisch die fundamentalen Unterschiede im sozialen Verhalten zwischen Bonobos und dem „Rest der Säugetiere (Mensch inklusive)“ auf. Insgesamt sollte jedoch klar erkannt werden: Leben ist egoistisch. Das ist u.a. eine wesentliche Voraussetzung für (angenehmes) Überleben. Der postulierte natürliche, persönliche Einsatz zum Wohle Anderer ist Wunsch aber nahezu nie Wirklichkeit einer sehr romantischen Sicht der Natur. Da sieht jemand nett aussehende, bunte Vögel auf einer Wiese, die zum Wohle der Arterhaltung in der Natur rumpicken. Die Wahrheit sieht etwas anders aus. Die netten Vögel fressen Frösche, Insekten und Würmer bei lebendigem Leib. Fressen und gefressen werden auf der Mörderwiese.
Zur Kenntnisnahme und Selbstanalyse ..."Ein funktionierender Zellhaufen ist kein Mensch. Ein Neugeborenes das ausgesetzt und von einem Apparat oder Tier ernährt wird, lernt nicht Sprechen und kaum Denken. Es wird sich seinem Ernährer anpassen, ihm ähnlich werden, und sollte es einmal einen Menschen treffen, wird es, wenn es nicht lieber flieht, ihn „wie eine Kuh anglotzen“. Zu sagen jedenfalls haben sie sich nichts. Der Mensch mag im Wilden einen Menschen sehen, der Wilde im Menschen nur ein anderes Tier. Der Mensch kommt als Möglichkeit auf die Welt und entwickelt sich erst in (der) Gesellschaft zum Menschen. Zunächst aber sind wir nur „Hardware“, deren Komponenten genetisch minimal unterschiedlich, schlimmstenfalls defekt sein können. Erst mit der Vernetzung außerhalb des Mutterleibes entsteht die Fähigkeit zum Sprechen, Rechnen, in Beziehung setzen, aber noch ist diese Fähigkeit ohne Programm. Einem Kleinkind ist es völlig gleichgültig, ob es Deutsch oder Englisch, das Zehner- oder Zwölfersystem, assoziatives oder logisches Denken lernen wird, sein Betriebssystem funktioniert für jedes Programm, vorausgesetzt, es bekommt überhaupt ein Programm vermittelt. Ohne sprachliche Anregung z. B. bleibt es stumm."...
Mörderischer Naturalltag Leben ist egoistisch Fremdnachwuchs wird getötet, um triebgesteuert schnellstmöglich eigene Nachkommen zu zeugen.
Infantizid (von lateinischen infanticidium, „Kindestötung“; abgeleitet aus lat. infans „Kind“ und cidere „Tötung“): Männliche Tiere, die den Nachwuchs einer Mutter töten, haben so selbst die Möglichkeit sich schneller fortzupflanzen. Männchen töten nur Jungtiere, die sie nicht selbst gezeugt haben und paaren sich danach mit den Müttern. Diese Strategie wird bei Säugetieren und auch von einigen Vogel- und Fischarten angewendet. Werden die getöteten Nachkommen auch gefressen spricht man von Kronismus.
Unternehmerische Realität Der Unternehmer spricht von „Humankapital“ welches Teil der Betriebsstruktur ist. Beobachtbare Firmentreue der „Belegschaft“ ist eine sehr einseitige Treue. Der Erhalt des Arbeitsplatzes respektive die Existenzfähigkeit des Arbeitnehmers ist in den meisten Fällen kein Kriterium für betriebliche Veränderungen. Aktuelle Profitperspektiven lassen treue Mitarbeiter schnell arbeitslos zurück.
Vergleichendes Fazit Hier schließt sich der Bewertungs-Kreis. Bonobos haben auch eine Hierarchie. Bonobos sind egoistisch. Aber der Egoismus der Bonobos mündet täglich in einem Feuerwerk positiver Interaktionen. Niemand in der Bonobogruppe muß um seine Existenz fürchten. Was dem Menschen offensichtlich fehlt ist ein basisnahes Verständnis für wichtige soziale Aspekte. Die sich aus religiösen Männerfantasien entwickelte, von dem restlichen Leben abgespaltene Sexualität, ist eine wesentliche Fehlentwicklung der Menschheit. Es sieht nicht so aus, als ob sich da in absehbarer Zeit etwas ändert.
Impressionen meines AlexD Treibens
[ Beauty Christina Berlin c-print adf 37ndf ]
_______________________________________________________
Die Bedeutung des Protonenradius für die Ausarbeitung der EKT Anfang 2012 stieß ich durch Zufall auf das Ergebnis der Protonenradiusmessung am myonischen Wasserstoff aus dem Juli 2010 am Schweizer Paul Scherrer Institut. Mit dem Ergebnis: Jetzt will ich es wissen. Ich hatte bereits 1986 während meiner Studienzeit die Grundidee der EKT entwickelt. Damals galt jedoch noch der Protonenradiuswert von ~ 0,88 fm. Somit schien meine theoretische Berechnung falsch zu sein. Die zwar um ein Viertel Jahrhundert verspätete Kenntnis, dass die sensationell, formal einfache Voraussage des Protonenradius im Bild der Elementarkörpertheorie bestätigt wurde, erzeugt(e) große Freude und war der Auftakt zu intensiver Elementarkörper-Denkmodell basierender Forschung. Mein Kontaktversuch mit Dr. Randolf Pohl vom Max-Planck-Institut für Quantenoptik, einem der benannten Physiker der Protonenradiusmessung, war ergebnislos. Das Telefonat ergab, dass sich Herr Pohl kategorisch nur für die in einschlägigen Magazinen „ordentlich“ veröffentlichten „scientific papers“ interessiert. Tatsache ist: Anfang 2012 "klebten" die Berechnungen noch am Protonenradius. Mit Entwicklungspausen entfaltete sich in den Folgejahren ein konsistentes Denkmodell welches, phänomenologisch begründet, korrespondierend Photon und Raum-Masse-gekoppelte Materie sowie Mikro- und Makro-Kosmos vereint. "out of the box" Was mich seit Wiedereintritt in das Erkenntnisgebäude der Theoretischen Grundlagenphysik, beginnend Februar 2012, zeitlich und inhaltlich extrem aufgehalten hat und nach wie vor sehr zeitraubend ist, war herauszufinden bzw. ist herauszufinden, wieso die Verkünder der Standardmodellphysik all diesen offensichtlich widersprüchlichen Konzepten folgten und folgen, die Beliebigkeit und Nichtnachweis zur "Norm" erklär(t)en. Das bedeutet(e), ich musste mich explizit mit all den Facetten der Standardmodelle, insbesondere mit den Inhalten des Standardmodells der Teilchenphysik, im Sinne der vielfältigen Einzelheiten, Ausnahmeregeln, Postulaten etc. detailliert beschäftigen. Im Ergebnis drängt sich u.a. der Verdacht auf, dass insbesondere die Protagonisten der jüngsten Generation von Theoretischen Standardmodellphysikern ausschließlich im praktizierten Formalismus verankert sind. Um jedoch die vielfältigen Zusammenhänge durchschauen und verstehen zu können, bedarf es beträchtlicher historischer Kenntnisse. Diese gehören seit mehreren Jahrzehnten nicht zur Schul- und Universitätsausbildung von Physikern und Mathematikern. Zentrale Fragen einfacher Anschauung werden also weder in einem historischen Kontext erörtert, noch im Rahmen der herrschenden mathematischen Modelle adressiert.
Oder wie wäre es exemplarisch mit der Berechnung der Grundzustandsenergie des Wasserstoffatoms,...
Elementarkörpertheorie basierend sind alle Ladungswechselwirkungen auf Masse-Raum-Kopplungen zurückzuführen. Wie gezeigt wird, kommen elektrische Ladungen innerhalb der Elementarkörpertheorie nur implizit über Funktionen der Sommerfeldschen Feinstrukturkonstanten α vor.
Die Elementarkörpertheorie bringt den Standardmodellen einen weiteren Knock-out im Sinne des Prinzips der Parsimonie mittels der Berechnung der Grundzustandsenergie des Wasserstoffatoms
Die obige Berechnung ist nicht nur die einfachste sondern auch die genaueste phänomenologisch begründete theoretische Berechnung der Grundzustandsenergie des Wasserstoffatoms (weltweit) verglichen mit dem experimentellen Wert (ERy(exp)). An diesem Beispiel lassen sich auch exemplarisch omnipräsente Indoktrinationen respektive Falschdarstellungen der Systemphysik aufzeigen. Auf der Webseite chemie.de findet sich für den Begriff »Rydberg-Energie« Folgendes: Die Rydberg-Energie ER (nach Johannes Rydberg) ist die Bindungsenergie des 1s Elektrons (d. h. des Grundzustandes) des Wasserstoffatoms.
Das ist offensichtlich falsch. Da das mit maßgebende Proton nicht in der Gleichung vorkommt, ohne hier auf den phänomenologisch sinnfreien semiklassischen Werdegang dieser Gleichungsermittlung einzugehen. Aber auch die Einführung des Hamiltonoperators im Rahmen der Quantenmechanik oder weiterführend eine quantenelektrodynamische Betrachtung führt zu keinem brauchbaren Ergebnis. Hintergrund Die Berechnung von Grundzustandsenergien ist weder quantenmechanisch noch quantenelektrodynamisch begründet, da ein signifikant maßgebender Anteil von dem Verhältnis der wechselwirkenden Massen bestimmt wird. Es gibt weder QM und schon gar nicht QED basierend die Möglichkeit die reduzierte Masse mred = mA / (1 + mA/mB) quantenfeld-phänomenologisch einzuführen[8]. Der reduzierte Masseterm mred = mA / (1 + mA/mB) wirkt sich auf die energetischen Verhältnisse aus. Die reduzierte Masse ist – ob man es wahr haben will oder nicht – im Rahmen der Standardphysik historisch aus der Himmelsmechanik abgeleitet. Das bedeutet im Klartext, dass im Sinne atomarer Wechselwirkungen, diese weder QM noch QED begründet ist.
Auch das Gleichsetzen einer elektrischen Zentripetalkraft mit einer masse-abhängigen Zentrifugalkraft im semiklassischen Bild ist zwar mathematisch kein Problem, aber im Rahmen der hiesigen Physik phänomenologisch unbegründet. Des Weiteren: Unabhängig von den Massen der Ladungsträger „erleiden“ zwei betragsmäßig gleiche Ladungen keine Massen-Verschiebung, da die gravitative Wechselwirkung (exemplarisch Proton-Elektron) um ~ 40 Zehnerpotenzen kleiner ist. Das verwendete suggestive Modell ist offensichtlich phänomenologisch unbegründet. Die Frage, wie wechselwirkt eine Masse mit einer Ladung, bleibt im Denkmodell der QM respektive im Standardmodell der Elementarteilchenphysik unbeantwortet. Nun darauf zu verweisen, dass im Rahmen der QM respektive Quantenfeldtheorien diskrete Objekte, die eine Masse und eine elektrische Ladung besitzen, mathematisch als Wellenfunktionen beschrieben werden können, löst nicht das Problem der fehlenden Phänomenologie. Der Term der reduzierten Masse bleibt als notwendiges Berechnungsobjekt für Energie(eigen)werte der QM und QED fern. Diesen Term stillschweigend in den Hamilton-Operator “unterzubringen” ist praktisch nachvollziehbar aber anschaulich sowie theoretisch vollkommen unbegründet, da es die dazu notwendigen diskreten Theorieobjekte gemäß der QM/QFT-Postulate in der QM/QFT gar nicht gibt.
Ergänzend sei darauf hingewiesen, das quantenmechanisch beim Bohrschen-Atom-Radius die Aufenthaltswahrscheinlichkeit für das Elektron maximal ist. Im Mittel befindet sich das Elektron jedoch im 1,5-fachen Abstand zum Kern. Diese Feststellung ist nicht trivial.
Was fangen wir mit dem Erwartungswert <r> an, wenn die auch in der Quantenmechanik verwendete Grundzustandsenergie des H-Atoms, nicht mit dem Erwartungswert, sondern falsch mit dem Bohrschen Atomradius korrespondiert? Bohrsches Atommodell und Quantenmechanik Der Grund warum das masseleichtere Elektron um das masseschwerere Proton kreisen soll(e), obwohl betragsmäßig die Ladungen gleich sind, hatte man sich vom Himmelsmechanik-Denkmodell abgeschaut, eine durchaus menschlich, wie formal nahe liegende Tat. In den Spektren beobachtete man bei genauerer Inspektion Dubletts oder Multipletts (zwei oder mehrere nahe beieinander liegende Linien). Zur Erklärung wurde ad hoc ein Eigendrehimpuls oder Spin mit der Spinquantenzahl s = ±½. eingeführt.
Der Grund warum das diskrete „Bohrsche“ Elektron auf einer diskreten Bahn wieder abgeschafft wurde, hat mit der Kohärenzrettung des Wellenmodells zu tun. Die „Einteilchen-Verschmierung“ des Elektrons und die spätere im Standardmodell Verarmung zum Punkt sind Realobjekt befreite mathematische Konzepte, die die Norm eines anschaulichen Denkmodells nicht erfüllen, da die experimentellen Befunde diese Annahmen nicht abbilden, auch wenn das semantisch mit der inhaltlosen Begrifflichkeit der Reduktion der Wellenfunktion „erreicht“ wird. Mit der Verarmung des Elektrons zum Masse- und Ladungspunkt verschwinden mechanisch-dynamische Größen wie das Trägheitsmoment, die Anschaulichkeit einer rotierenden Masseverteilung „um sich selbst“ (Spin) „lebt“ aber von einer räumlichen Ausdehnung. Der Spin eines Massepunktes ist denkmodell-grotesk und anschaulich sinnleer. Physikalisch-phänomenologische Aspekte wurden im Glauben an übergeordnete mathematische Formalismen gezielt einer Irrealität geopfert. Was schwingt bei der deBroglie Materiewelle ohne Medium? Schwingt die Masse des Elektrons? Schwingt die Ladung des Elektrons? Was ist Ladung? Was ist Masse? Was ist eine stehende Materiewelle? Was ist der Spin eines Massepunktes? Was ist der Spin einer Wahrscheinlichkeitswelle? Oder, was ist der Spin des Wahrscheinlichkeitswellenquadrates, wenn diese Fragestellung mehr Spaß in Richtung Observable machen soll. Man sollte in diesem Zusammenhang nicht vergessen, dass die Grundlage für die QM meist reine Rechenvorschriften sind, die keinerlei Phänomenologie enthalten. Hauptquantenzahlen, n²-Abhängigkeit, strahlungslose Übergänge etc. sind nach wie vor unbegründet. Die QED löst(e) keine grundsätzlichen Probleme fehlender Anschauung. Virtuelle Photonen sind Theorieparameter, Störungstheorie, Taylorreihenentwicklungen, Feynman-Diagramme, resultierende Entwicklungskoeffizienten sind mathematische Konzepte, die zu rein iterativen Lösungsansätzen führen.
Erinnerungen an die Epizykeltheorie im Rahmen der Himmelsmechanik werden wach
Am Rande bemerkt: Begleitende Glaubens-Geschichte... Wahrheiten, die heute keiner aus kirchlichem und politischem Kalkül benennt
Bohr-Sommerfeld-Atommodell
Himmelsmechanisch sowie postuliert im Bohr-Sommerfeldschen Atommodell bewegen sich zwei Massen mA, mB um den gemeinsamen Schwerpunkt. Um dies energetisch auszudrücken wird (für die kleinere Masse,) die so genannte reduzierte Masse eingeführt. mred = mA / (1 + mA/mB).
Phänomenologisch begründet sieht die Welt Masse-Raum gekoppelt verständlich anders aus Elektrische Ladung ist ein Sekundärbegriff der herrschenden Physik, der eine von der Masse (und dem Radius) des Ladungsträgers abgekoppelte "phänomenologische Entität" suggeriert. Elementarkörpertheorie basierend sind alle Ladungswechselwirkungen sowie »Ladung« selbst anschaulich auf Masse-Radius-Kopplungen zurückzuführen. Elektrische Ladungen im Elementarkörper-Denkmodell sind phänomenologisch begründet und kommen als (formales) Resultat der Masse-Radius-Kopplung nur implizit über Funktionen der Sommerfeldschen Feinstrukturkonstanten α vor. "Schlüssel" zum Verständnis der Materiebildungen sind die phänomenologisch begründeten Ladungsmöglichkeiten. Zum einen die energetisch ruhemasse-äquivalente (starke) Elementarkörper-Ladung q0 und die elektrische Elementarladung e.
Konsequenterweise wird somit die Feinstrukturkonstante α Elementarkörper basierend energetisch bestimmt. Sie ergibt sich aus dem Vergleich von elektrischer Energie und Gesamt-Energie...
Hier ist zu bemerken, dass quantitativ nicht α sondern α/4 das "Maß der Dinge" ist. f7 wurde oben "eingeführt", um u.a. suggestiv zu verdeutlichen, dass es sich bei der [Elementarkörper-]Ladung q0 ("nur") um eine skalierte Masse-Radius-Funktion handelt. Banalerweise ist f7 auch numerisch (1·107) einfacher zu merken als der Wert der Dielektrizitätskonstanten. Die Frage nach der Herkunft und Bedeutung der Sommerfeldschen Feinstrukturkonstanten führt zur elektrischen Elementarladung. α ist somit eine "abgeleitete" Größe, die aus der elektrischen Elementarladung e "entstammt".
Im cgs-System (Zentimeter, Gramm, Sekunde) ist die elektrische Ladung qcgs "gleich" als Wurzel aus dem Produkt aus m0r0c² definiert.
Nichts dreht sich, nichts bewegt sich im "natürlichen" Gleichgewicht der Masse-Raum-Kopplung Im Bild der Elementarkörper sieht die QM-postuliert himmelsmechanische Verschiebung im Mikrokosmos, exemplarisch zwischen Proton und Elektron, phänomenologisch ganz anders aus. Die reduzierte Elektronenmasse, die in die Berechnung der Grundzustands-Energie und exemplarisch in die Berechnung aller möglichen Energie-Niveaus des Wasserstoff-Atoms "Einzug hält" ergibt sich vollkommen symmetrisch aus einer einfachen Überlagerung zweier Elementarkörper A und B mit den Massen mA und mB und den inhärent Masse gekoppelten Radien rA und rB. Mittels Masse-Radius-Konstanten-Gleichung [F1] gibt es hier keinen Interpretationsspielraum. Das Ergebnis gilt für jegliche Ladungsträgerkonstellationen (...A-B, Proton-Elektron, Proton-Myon,...). Im Gegensatz zu einer Bahnbewegung, die nur im statistischen Mittel als symmetrisch verstanden werden kann, da sich die bewegenden Massen stets zeitabhängig lokal manifestieren, ist die Elementarkörperüberlagerung bewegungslos zeitstabil symmetrisch.
Hier sieht man deutlich, dass die vermeintliche Schwerpunkt-Korrektur des »Himmelsmechanischen Denkmodells in der QM«, exemplarisch zwischen Proton und Elektron, mit dem Schwerpunkt zweier Ladungen im Abstand r nichts zu tun hat, da Elektron und Proton, damals wie heute, als gleichstarke Ladungen keine Schwerpunktsverschiebung erleiden können, weder phänomenologisch noch rechnerisch.
Es ist erstaunlich wie dieser Sachverhalt über Generationen massenpsychologisch ignoriert wurde und nach wie vor ignoriert wird. Insgesamt betrachtet kann im Weltbild der herrschenden Physik eine Masse mit einer Ladung nicht wechselwirken.
Das Gleichsetzen einer elektrischen Zentripetalkraft mit einer (nur) masse-abhängigen Zentrifugalkraft ist im Rahmen der hiesigen Physik phänomenologisch unbegründet und erinnert an die Epizykeltheorie. Halten wir fest: Der Ausdruck für die resultierende Masse m(rA + rB) in Gleichung [MAB] ist mathematisch zwar identisch mit der himmelsmechanischen Schwerpunktkorrektur zweier makroskopischer Massen, die rechnerisch als Punktmassen elastisch interagieren, die Phänomenologie zur Gleichung [MAB] ist aber eine gänzlich andere.
"Wechselwirkungstechnisch" liegt der phänomenologisch begründete Symmetrievorteil zweier ursprungsüberlagerter Elementarkörper "klar auf der Hand". Alle Wechselwirkungs-Punkt-Elemente der Kugeloberfläche sind unbewegt und gleichberechtigt. Jedwede andere Konstellation postulierter wechselwirkender "Entitäten" ist asymmetrisch. Man denke zum Vergleich (lieber nicht) an das postuliert "leptonische" Elektron ohne Struktur und ohne Radius und an das postuliert asymmetrisch "ladungsfragmentierte", substrukturierte Proton des SM.
Elektronenmasse inhärenter Elektronenradius
Da nahezu alle erfolgreich Indoktrinierte bei dem Begriff Elektronenradius eine Krise bekommen und "instantan" an den ungeliebten klassischen Elektronenradius denken, sollen diese vorerst den, wie sich zeigen wird, Elektronen-Masse inhärenten Radius re, durch die "problemfreie" Comptonwellenlänge des Elektrons λe gedanklich ersetzen, bzw. erst einmal re als Rechengröße "hinnehmen". Faktisches zur Anregung des eigenständigen Denkens Außerhalb des "Interpretationsspielraumes" des Teilchenbeschleunigers kommt der Elektronenmasse inhärente Elektronenradius re, respektive der klassische Elektronenradius re(klassisch) (= ( α/4) · re), in allen (!) verwendeten Gleichungen zur Berechnung der Streuquerschnitte bei elastischen und inelastischen Streuungen an Elektronen vor (Stichworte: Møller-Streuung, Compton-Streuung, Elektron-Positron-Paarbildung, Photoelektrischer Effekt, Klein-Nishina-Gleichung, Bethe-Bloch-Sternheimer-Gleichung) und steht in einem phänomenologischen Zusammenhang mit der Comptonwellenlänge (des Elektrons). Hier gibt es die größten emotionalen Ausbrüche und eine methodische Plausibilitäts-Verweigerung der Standard(-Modell-)Physiker und deren Anhänger. Nicht die "typischen" energieabhängigen Elektronenradien kleiner als 10-18 [m] in Verbindung mit Teilchenbeschleunigern sind "falsch", sondern die von der Elementarteilchenphysik resultierenden Schlußfolgerungen bezüglich ruhender Elektronen und dessen Elektronenmasse inhärenten Radius. Die Elementarkörpertheorie beschreibt konsistent, sowohl das Verhalten bei „konventionellen“ Streu-Energien der Streu-Partner des Elektrons als auch hochenergetisch im Teilchenbeschleuniger. Eine ausführliche Diskussion des omnipräsenten Elektronenmasse inhärenten Elektronenradius re findet sich unter : Elektronenradius
Differentieller Streuquerschnitt
Der differentielle Streuquerschnitt dσ/dΩ nimmt für Elektronen stets die Gestalt dσ/dΩ = (e²/me4πε0c²)² · fW an, wobei der funktionale Zusammenhang fW die spezifische Art der Streuung angibt. Das Verständigungs-Problem der herrschenden Physik bezüglich des (ungeliebten) klassischen Elektronenradius re(klassisch) löst sich auf, wenn man den wiederkehrenden Term (e²/me4πε0c²) masse-radius-gekoppelt-energetisch analysiert. Letztendlich besteht die Beziehung (e²/me4πε0c²) aus dem Verhältnis: elektrischer Energie zur Gesamtenergie = (α/4) und dem Elektronenmasse inhärenten Elektronenradius re, der multipliziert mit π/2 der Comptonwellenlänge des Elektrons entspricht (λe = re · π/2). Das Fazit des Elektronenmasse inhärenten Elektronenradius basierend auf der Phänomenologie der Elementarkörper und ausnahmslos bei allen Streuversuchen bestätigt: Der Elektronenmasse me inhärente Elektronenradius re führt, über den klassischen Elektronenradius re(klassisch), der als (skalierter) Wechselwirkungsradius bei allen Elektronen-Streuexperimenten in Erscheinung tritt, zu einem allgemeinen Verständnis über den Masse-Radius-Zusammenhang elementarer Körper.
Exemplarisch
Hier wird die fundamentale Masse-Radius-Kopplung deutlich, die formal mittels der Masse-Radius-Konstanten-Gleichung [F1] abgebildet wird. Es gilt für das ruhende Elektron: me · re = Fek
Übergeordnet zur Erinnerung, Kenntnisnahme und Selbstanalyse Was ist eine physikalische Gleichung? Eine physikalische Gleichung besteht aus maßgebenden Größen (Ladung, Masse, Radius,...), möglicherweise Naturkonstanten, Koeffizienten und Rechenvorschriften. Der Sinn einer physikalischen Gleichung besteht darin, in Abhängigkeit der vorkommenden Gleichungsbestandteile, eine qualitative und quantitative Aussage zu treffen. Nun zu behaupten, der klassische Elektronenradius re(klassisch), respektive der Elektronenmasse inhärente Elektronenradius re käme zwar in allen Gleichungen zur Streuung an Elektronen vor, hätte aber keine "maßgebende" Bedeutung, sondern sei nichts weiter als eine Rechengröße, ist irreal und interdisziplinär grotesk.
Leser-Anregung Die Suggestion einer realmessbaren Situation für Theorieobjekte der Standardmodelle scheint mantramäßig auf „die Masse(n)“ zu wirken. Um hier eine selbständige Analyse vornehmen zu können, sollten Aussagen selbständig überprüft werden: Ob Neutrino, Higgs-Boson oder man denke sich ein beliebiges Teilchen aus dem Beschleuniger aus, keines ist zeitstabil, keines wurde je direkt gemessen. Umso tiefer man in die konkrete Konzeption und die technische Realisation des Messvorganges „eindringt“, umso deutlicher wird verständlich, wie theoriebeladen, beliebig und aussagelos die Experimente sind. Man sollte nicht einfach an eine korrekte Meß-Existenz glauben, sondern selbst die meßtechnischen Randbedingungen sowie theoretischen „Implikationen“ die die angeblichen Existenzbeweise liefern überprüfen. Die eigene Modellforschung war/ist somit zwangsweise mit den Postulaten, Thesen und stark theoriebeladenen Experimenten der bestehenden Modelle konfrontiert (gewesen). So entsteht nach Jahren der Beschäftigung mit dem SM ein tiefgründiges Fachwissen. Das führt manchmal dazu, dass ich in der Wissensprojektion "Dinge" zum Verständnis bei Lesern voraussetze, die noch nicht oder nur im Ansatz als SM-Konsistenzprobleme erkannt respektive verstanden wurden. Sofern Geduld und Neugierde vorhanden sind, lassen sich dem thematisch Interessierten jedoch die wesentlichen Unstimmigkeiten und schwerwiegenden logischen Denkfehler der Standardmodelle auch ohne tiefgreifende formal-mathematische Kenntnisse plausibel machen.
Zur Erinnerung Die »Freien Parameter« des Masse-Radius-gekoppelten Raumes
Konträr zur Aussage der Standardphysik, die vier Grundkräfte postuliert, lässt sich Elementarkörper basierend - auf Grund der (skalenkorrespondierenden) Masse-Raum-Kopplung - jedwede Wechselwirkung auf das Masse-Radius-Verhältnis der interagierenden Wechselwirkungspartner reduzieren. Das führt zu einer konstruktiven Beschreibungsverarmung, die entweder durch die Radien oder deren reziprok proportionale Massen ausgedrückt werden kann. Mit Hilfe dieser einkomponentigen wortwörtlichen Minimalbeschreibung lassen sich Materiebildungsmöglichkeiten verstehen und formal analytisch exakt berechnen.
statt
Die zeitabhängigen Elementarkörper-Entwicklungs-Gleichungen leiten sich aus der beobachteten Invarianz der (Vakuum-)Lichtgeschwindigkeit ab. Der fundamentale Unterschied zur (Speziellen) Relativitätstheorie respektive zur Lorentztransformation ist der wechselwirkungsnotwendige radialsymmetrisch-dynamische Charakter dieser Gleichungen. Für ein anschauliches Verständnis und resultierend für die phänomenologisch begründeten Elementarkörpertheorie basierenden Gleichungen sind nachweislich weder eine substrukturierte Zeit, noch mathematische Raum-Zeit-Konstrukte notwendig. Die Transformation von einem Photon zu einem masse-radius-gekoppelten Raum entspricht phänomenologisch nicht einer periodischen Teilschwingung, wie anfänglich (auch) im Rahmen des Elementarkörperdenkmodells angenommen wurde. Die materiebildende Transformation von einem Photon entspricht einer irreversiblen Zustandsänderung. Zeitumkehr, wie sie „mechanistisch“ von der klassischen Physik bis hin zur Quantenmechanik gefordert wird, steht ganz allgemein im Widerspruch zur Meß-Realität.
Im Rahmen der EKT ist das Formal zwingende maßgebend und führt stringent-konsequent - ergebnisoffen gedacht - interessanterweise über den einfachen Formalismus r(t) = r0 ·sin(c·t/r0) und m(t) = m0 ·sin(c·t/r0) zur plausiblen Grund-Anschauung. Mit dem Ergebnis, das lichtschnelle Bewegung raum- und masselos ist. Des Weiteren führt das gemäß der Energieerhaltungsforderung weitergedacht zu der Aussage, das Information selbst eine Energieform ist. Inwieweit man sich das "sinnlich" vorstellen kann, ist letztendlich aus Sicht eines Denkmodells ohne Belang. Insbesondere unter dem Aspekt, das die exakten Berechnungen der EKT den Elementarkörperentstehungsprozess explizit nicht (mehr) enthalten. Zur Frage, wie man sich den raum- und masselosen Zustand für r(t) = 0 vorstellen kann?
Plakativ
formuliert: Immer dann, wenn Singularitäten ins Spiel kommen,
ist die realphysikalische Anschauung "am Ende". In der
Mathematik ist es hingegen eine Standardprozedur mittels
Abstraktionen, wie mit Punkten zu "rechnen", um die Realität
formal zu beschreiben, die so gut wie nie - aus Sicht der
(Nicht-)Möglichkeit einer Sinnerfahrung - kritisch hinterfragt
werden.
Gibt es experimentelle Bestätigungen dafür, das sich Körper mit Masse und Ausdehnung in masse- und raumlose Entitäten umwandeln? Oder etwas anders gefragt: Gibt es experimentelle Hinweise, die die innere Dynamik des Elementarkörpers (»Impuls-Masse-Inversion«) im Hinblick auf seine Entstehung bestätigen können? Die Genese respektive die innere Dynamik von Elementarkörpern Blicken wir (experimentell bestätigt) in die „andere Richtung“. Was passiert wenn Entitäten annihilieren?Experimentelles Ergebnis: Sie "zerstrahlen". Sie werden zu Photonen! Nichts anderes "sagt", genauer drückt die Elementarkörpertheorie mittels der Entstehungsgleichungen r(t) = r0 ·sin(c ·t/r0) und m(t) = m0 ·sin(c ·t/ r0) für t = 0 aus. Ja. Siehe die Annihilation von Protonen und Elektronen. Lassen wir hier außen vor, wie sich das im Standardmodell der (Elementar-)Teilchenphysik abspielen soll.
Interdisziplinäres Es ist in der interdisziplinären, insbesondere philosophischen Rezeption eine spannende Frage, inwieweit selbst Metaphysiker auf den »Paradigmenwechselzug der Elementarkörpertheorie« aufspringen wollen oder können, wenn klar wird, das der Ursprung des Elementarkörpers r(t) = 0 für Entstehungsspekulationen offen ist und offen bleiben wird. Aus Sicht der "Arbeit eines Denkmodells" ist das nicht relevant. Für den Erfolg der EKT im Vergleich zu den Standardmodellen ist das gleichfalls irrelevant.
"Ankopplung" an Bestehendes Die minimalistische Elementarkörpergleichung r(t) :
erfüllt offensichtlich die Grundvoraussetzung für Superpositionen, wie diese in der Quantenmechanik (QM) und allgemein in Quantenfeldtheorien (QFTn) über Wellenfunktionen üblich sind. Ein wesentlicher Unterschied besteht in der Tatsache, dass die Elementarkörpergleichung r(t) einen deterministischen Real-Objekt bezogenen Charakter besitzt, während hingegen die indeterministische "quantenmechanische Wahrscheinlichkeits-Wellenfunktion" ψ u.a. "objektbefreit" ist. Ein einziges, „einsames“, stoßfähiges Teilchen ist "undifferenziert" weder eine Welle, noch erzeugt es eine Welle. Die zentrale Frage lautet: Was muß "geschehen", dass »es« als Teilchen und Welle wahrgenommen wird?
Information als materieller Zustand = Elementarkörper Zustand als Information = Photon Erkenntnistheoretisch - und wenn man so will philosophisch - "steht" der Nullpunkt, die "Null", nicht für "Nichts", sondern repräsentiert den maximalen Bewegungszustand. Dieser Zustand entspricht der (zeitlosen) Lichtgeschwindigkeit.
Das grundsätzliche Mißverständnis ("außerhalb" der Elementarkörpertheorie) besteht darin, dass die Eigenschaften eines wechselwirkenden Photons auf den »Ruhezustand« des Photons projiziert werden. Der »Ruhezustand« des Photons ist jedoch gemäß Gleichung [P2.3] und deren zeitlicher Ableitung [P2.3b], sowie [P2m] der raum- und masselose, „lichtschnelle“ (Energie-)Zustand maximaler Bewegung. Das bedeutet: Das sich gerichtet eine Information ausbreitet, die sich erst bei Absorption des Photons gemäß Gleichungen [P2.3], [P2m] und deren Ableitungen „entfaltet“ und dann die zeitabhängigen meßtypischen Phänomene der Interferenz und des (massebehafteten) Stoßes zeigt. Die vermeintlich immerwährende Wechselwirkungs-Wellennatur des Lichtes ist eine falsche Annahme.
Phänomenologisches Fazit Die zeitlich begrenzte Interaktion des Photons reduziert sich auf die «sinusförmige Ausschwingung» des Photons. Es wird bei dieser materiebildenden Reaktion phänomenologisch raum- und masselose, „reine“ Bewegungsenergie in einen Masse gekoppelten Raum gemäß Gleichungen [P2.3] und [P2m] umgewandelt. Hier werden plausible Zusammenhänge zwischen Information (Entropie), Energie, Masse und Raum „sichtbar“. Daraus folgt, dass Information eine Energieform ist. E = m0c² steckt also nicht nur im Masse gekoppelten Raum sondern auch in der Information über diesen Zustand in Form eines Photons. Die Transformation von einem Photon zu einem masse-radius-gekoppelten Raum entspricht phänomenologisch nicht einer Teilschwingung, wie anfänglich (auch) im Rahmen des Elementarkörperdenkmodells angenommen wurde. Das ist unter thermodynamischen Gesichtspunkten eine wichtige Erkenntnis, respektive die Thermodynamik gibt diese notwendige Randbedingung vor. Die materiebildende Transformation von einem Photon entspricht einer irreversiblen Zustandsänderung. Zeitumkehr, wie sie „mechanistisch“ von der klassischen Physik bis hin zur Quantenmechanik gefordert wird, steht ganz allgemein im Widerspruch zur Meß-Realität thermodynamischer Prozesse (u.a. die physikalische Chemie lässt hier grüssen). Der voll ausgebildete Elementarkörper (r(t) = r0 , m(t) = m0) kann aus sich heraus nicht wieder den Zustand des Photons erreichen. Die Wechselwirkungs-Irreversibilität, die möglich ist, muß über eine Anregung von „außen“ geschehen. Das könnte die Wechselwirkung mit weiteren Elementarkörpern, Photonen oder „verkörperten Feldern“ sein, die letztendlich bezogen auf (Feld-)Raum-Zustände energetisch stets als Elementarkörper(-Zustände) verstanden werden können. Wechselwirkungsbasierende sinusförmige Ausschwingung Der durch eine Wechselwirkung ausgelöste Prozess der «sinusförmigen Ausschwingung» ist reversibel und fundamental von der im wahrsten Sinne des Wortes ursprünglichen theoretischen Zustandsänderung eines einzelnen Elementarkörper zu unterscheiden. Das heißt, dass ein massegekoppelter Raum gemäß Gleichungen [P2.3] und [P2m] und deren zeitlicher Ableitungen wieder zu einem Photon werden kann, welches als solches „abgestrahlt“ wird. Dieses Photon verbleibt im »Photonen-Ruhezustand« bis es (erneut) wechselwirkt. Einfachstes Beispiel wäre die Proton-Elektron-Wechselwirkung, die durch „Abgabe“ einer Energie-Information (Rydberg-Energie im Photonenzustand) zu einem Wasserstoff-Atom führt und bei „Ergänzung“ der Rydberg-Energie zur Lösung der Verbindung führt. Diese Wechselwirkung kann zu einem Zustand teil-reduzierter Energie-Information führen (beispielsweise Compton-Streuung), exemplarisch die „Energielücke“ der Bindung einer bestehenden Atom oder Molekül-Struktur ergänzen, so dass diese (wieder) aufgespalten wird oder es kommt zur Paarbildung. Die Paarbildung (und auch die Paarvernichtung) ist ein eindeutiges Indiz für die These, dass eine Elementarkörperwechselwirkung und inhärent eine (Teil-)Transformation des Zustandes stets die Anwesenheit von mindestens zwei Elementarkörpern erfordert. Stellt man sich die Elektromagnetische Welle (das Photon) als eine „lichtschnelle“ Schwerpunktsbewegung eines Elementarkörpers im Zustand maximaler Bewegung vor, so wird begründet, warum das elektrische und magnetische Feld im Zuge einer Wechselwirkung in energetischer Analogie zeitgleich periodisch oszillieren. Zweitens lassen sich Interferenzmuster qualitativ deuten. Maxima und Minima sind phasen- und zeitabhängig, da der Elementarkörper und somit das energetisch gedacht gleichwertige elektromagnetische Feld räumlich begrenzt (r0) wechselwirkt. Des Weiteren sind sowohl Strahlungsdruck als auch eine gravitative Wechselwirkung (nun) mit Gleichung [P2m] klar verständlich. Das nichtwechselwirkende Photon jedoch verbleibt im masse-, raum- und zeit-losen Zustand maximaler Bewegung. Nur es handelt sich nicht um Felder, was das auch immer sein mag. Die «sinusförmige Ausschwingung» erscheint wie ein Feld, ist aber keines.
Einleitend Bekanntes zur Erinnerung für die weiteren Ausführungen In der Elementarkörpertheorie ist die Zeit eine Variable ohne Substruktur, bedeutet u.a. Zeit ist nicht dilatierbar. Phänomenologisch: Zeitdilatation ist genauso wenig vorstellbar wie die Krümmung eines dreidimensionalen Raumes. Physik wird hier in einem dreidimensionalen, sinnlich vorstellbaren Raum beschrieben, die sich auf Grund der Radialsymmetrie räumlich konstruktiv reduziert und sich mit Hilfe des Radius abbilden und formalisieren lässt. Besondere physikalische und epistemologische Bedeutung erlangt das Modell der phänomenologisch begründeten Masse-Radius-gekoppelten Elementarkörper durch die Ergebnis-Genauigkeit und Einfachheit der resultierenden Gleichungen, die stets auf leicht verständlichen, konsistenten Denkansätzen beruhen. Das exakte Ergebnisspektrum umfasst Größen von der exakten theoretischen Berechnung des Protonenradius, der Berechnung der Neutronenmasse, der genauesten theoretischen Berechnung der Ionisierungsenergie des Wasserstoffatoms, der Herleitung der Sommerfeldschen Feinstrukturkonstanten, aus Vergleich von elektrischer und Gesamt-Energie, der anomalen magnetischen Momente für Elektron, Proton, Neutron bis hin zu makroskopischen, wie der Temperatur der kosmischen Hintergrundstrahlung, um nur einige wichtige zu nennen. Die zugrunde liegenden Gleichungen sind korrespondierend skalen- und mengeninvariant.
Was ist Masse?
In der Elementarkörpertheorie ist die Ruhe-Masse m0 ein Maß für die Oszillationsfrequenz des Elementarkörpers. Die radius-kleineren Elementarkörper besitzen eine größere Masse, da diese äquivalent zur (möglichen inneren : 0 ≤ r(t) ≤ r0 ) Bewegung der oszillierenden Oberfläche ist. Masse ist also im Bild des Elementarkörpers äquivalent zur inneren Bewegung und wird über die reziproke Proportionalität auf den Radius zurückgeführt. Details siehe exemplarisch zum Verständnis die Ausführungen zur Impulsmasse-Inversion.
Ist die Elementarkörpertheorie "relativistisch"? Das Verständigungs- und Interpretations-Problem begann bzw. beginnt - wie so oft - mit einem Realphysik befreiten Formalismus. Die beobachtbare Invarianz der (Vakuum-)Lichtgeschwindigkeit ist keineswegs "direkt" mit der Speziellen Relativitätstheorie (SRT) verbunden, wie suggeriert wird. Das historisch viel zitierte Michelson-Morley-Experiment ist eindimensional konzipiert und sagt gar nichts über Masse behaftete Teilchen im Sinne der herrschenden Physik aus und behandelt auch keine transversalen Komponenten. Die mathematische Invarianz der transversalen Komponenten ist lediglich eine formale Konsequenz der geradlinig gleichförmig bewegten Beobachter bezüglich kräftefreier Teilchen in einem mathematischen Denkmodell. Mit anderen Worten, dass gesamte Konstrukt der Lorentztransformation(en) ist an Inertialsysteme gebunden. Phänomenologisch sagt die SRT schlicht nichts über die Invarianz der Lichtgeschwindigkeit. Mit anderen Worten: Bevor hier Mißverständnisse aufkommen. Es wird nicht behauptet, das die Mathematik der Relativitätstheorie falsch ist. Wie könnte auch eine axiomatisch begründete These falsch sein? Doch das mathematische Konstrukt besitzt - außer der zu Grunde liegenden beobachtbaren Invarianz der [Vakuum-]Lichtgeschwindigkeit - keine realphysikalische Basis. Es existieren zwar Beobachtungen aber es existiert schlicht keine Phänomenologie zur Mathematik der SRT. Die Inertialsystem behaftete »Relativität der Beobachter« ist eine "heikle Sache", da es in der Natur nur dann zu messbaren Systemänderungen kommt, wenn Energie ausgetauscht wird. Energieaustausch bedeutet aber grundsätzlich dass "Kräfte" wirkten oder weniger mystisch ausgedrückt, dass Beschleunigungen auftraten. Mit der Beschleunigung "verabschiedet" sich das Inertialsystem und folgerichtig gleichfalls die Lorentztransformationen. Die Mathematik der SRT ist nicht falsch sondern schon "per Definition" nicht dynamisch. Physik bedeutet Wechselwirkung und Energieaustausch. Koordinatensysteme und Koordinatentransformationen "sind" keine physikalischen Vorgänge, sondern Mathematik. Es wird nicht geklärt, wie die Energiedifferenz und die „Struktur der Energiespeicherung“ über Koordinatentransformationen erzeugt wird oder „verschwindet“. Gemäß Relativitätstheorie gilt: Der Energieinhalt eines Teilchens ist abhängig von der Geschwindigkeit dieses Teilchens und resultiert aus einer Beobachtung, all das relativ aus Sicht eines Inertialsystem behafteten Beobachters. Wenn sich die Geschwindigkeit ändert, dann ändert sich auch der Energieinhalt. Dies bedeutet: Durch den veränderten Energieinhalt muß sich zwangsläufig auch die innere Struktur der Teilchen ändern, denn die Energie wird „irgendwie“ und „irgendwo“ gespeichert und ist abrufbar. Phänomene wie die Änderung des Massenwertes in Abhängigkeit der Geschwindigkeit können mit der Relativitätstheorie nicht erklärt werden. Die Relativitätstheorie liefert keine physikalische Rechtfertigung, die erklärt, warum und wie Masse größer oder kleiner wird. Die Relativität als solche verliert ihre Bedeutung in der Realität. Siehe exemplarisch einen Teilchenbeschleuniger. Dort nimmt die Masse der beschleunigten Teilchen nicht relativ zum Beobachter sondern (sehr) real zu. Aus Sicht der Realphysik orientierten Elementarkörpertheorie bleibt von der Relativitätstheorie nur der Lorentzfaktor γSRT als statischer Fall einer Elementarkörpertheorie basierenden allgemein gültigen Formulierung γdyn übrig:
Der dynamisierte Faktor γdyn ist Inertialsystem befreit und wirkt radialsymmetrisch. γdyn lässt sich "einfachst" und elegant aus der Elementarkörpergleichung r(t) ableiten:
Siehe zu γdyn die detaillierten Ausführungen und ein erklärendes Video
"Randnotiz" Strahlende Ladungen Die Aussage das beschleunigte Ladungen Energie abstrahlen ist zwar richtig aber vollkommen falsch verstanden. Denn die abgestrahlte Energie ist ein Teil der Energie, die von außen eingebracht wurde, um die Ladung zu beschleunigen. Somit zerstrahlt die Ladung selbst nicht, sondern sie kann nur einen Teil der Energie aufnehmen, die ihr von außen zugeführt wurde. Es ist bemerkenswert, äußerst befremdlich und letztendlich fatal, dass hier seit Generationen eine etablierte Falsch-Annahme selbstzerstrahlungsfähiger beschleunigter Ladungen das gesamte Denken der Physik mitgestaltet hat und mitgestaltet.
Der methodische Irrtum des Standardmodells
Im wahrsten Sinne des Wortes ist ein Teilchenbeschleuniger das von Menschenhand energetisch dimensionsgrößte Nichtinertialsystem. Dort gilt die Lorentztransformation der SRT nicht. Auch das Relativitätsprinzip gilt nicht für einen Teilchenbeschleuniger. Die kontinuierlich beschleunigten Teilchen - gleichgültig welcher Art - und deren beschleunigte Bezugssysteme - zur formalen Beschreibung - sind eindeutig von dem Beschleunigersystem unterscheidbar. Die zugeführte Energie, die sich durch die vergrößerte Gesamtenergie der Teilchen manifestiert lässt sich nicht mit der Lorentztransformation beschreiben, da die „Relativität“ unmissverständlich an Inertialsysteme gebunden wäre. Wer nun - mit oder ohne akademischen Grad - glaubt, dass sich in Ermangelung eines bekannten Formalismus bequemerweise die Lorentztransformation für einen Teilchenbeschleuniger anwenden lässt und zu einer eindimensionalen Längenkontraktion sowie zu einer zeitgleichen „relativen“ Massenvergrößerung der beschleunigten Teilchen führt, unterliegt (s)einer naiven Dekadenz. Oder wie sollte man es „anders“ ausdrücken, wenn eine axiomatische Wirklichkeit nach Belieben ausgeblendet wird? Realphysikalisch motiviertes, Phänomenologie basierendes Ergebnis der Elementarkörpertheorie: Beschleunigte, hochenergetische Teilchen in Beschleunigern, meist Protonen und Elektronen, ändern auf Grund der zugeführten Energie radialsymmetrisch ihre Masse-Radius-Verhältnisse. Das bedeutet: Sie werden mit zunehmender Geschwindigkeit masse-schwerer und proportional radius-kleiner. Die Wirkungsquerschnitte werden mit r², respektive mit 1/m² kleiner.
Es wird Raum-Energie in Masse abhängige Energie transformiert. Die innere Energie des Teilchens aus Masse- und Raum-Energie ändert sich nicht! Dies wird eindrucksvoll durch die Ladungsinvarianz aufgezeigt. Da die Ladung im Bild der EKT "nichts weiter" als das skalierte Produkt aus Masse und Radius ist. Die SRT suggeriert, dass sich die innere Energie in Abhängigkeit der (Relativ-)Geschwindigkeit ändert, diese Annahme ist falsch. Es ändert sich "lediglich" das Verhältnis von Masse abhängiger Energie und Raum-Energie, die Summe dieser beiden Energien ist stets konstant. Geschwindigkeitsänderungen liegen Beschleunigungen zu Grunde. Werden geladene Teilchen beschleunigt, so wird kontinuierlich Strahlung freigesetzt. Warum ist das so? Grundsätzliches zur Strahlung beschleunigter Ladungen Jede Schwerpunkt-Geschwindigkeitsänderung beruht letztendlich auf Beschleunigung. Die Idee der Eigen-Strahlung auf Grund einer Schwerpunkts-Beschleunigung ist generell irreführend, wie bereits bemerkt, denn Elektronen, Protonen und allgemein Ionen werden ja durch elektrische, magnetische, respektive entsprechende „Wechselfelder“ beschleunigt. Für die einzelne Ladung stellt das Beschleunigersystem ein unendlich großes Energie-Reservoir dar. Das bedeutet, durch die Energiezufuhr wird das innere Verhältnis von Raum-Energie zur Masse-Energie radialsymmetrisch verändert, es kommt des Weiteren zu einer Schwerpunktsbewegung und ein Teil der zugeführten Energie wird wieder in Form von Strahlung abgestrahlt. Die vermeintlich von der Ladung abgestrahlte Energie gehörte nicht zur unbeschleunigten Ladung, sondern zum Beschleunigersystem mit unendlich großem Energie-Reservoir. Die Ladung teilt sozusagen als „Mittler“ die zugeführte äußere Energie in Bewegungsenergie und Strahlungs-Energie auf und „erleidet“ eine im Vergleich zum unbeschleunigten „Teilchen“ eine innere Umgestaltung, salopp formuliert wird es radialsymmetrisch zusammengedrückt und schwerpunkt-bewegt. Auf Grund des praktisch unendlich großen Energiereservoirs des Beschleunigersystems, lässt sich keine Energiebilanz erstellen. Somit ist die Phänomenologie des Gesamt-Vorgangs alles andere als geklärt. Auf die resultierenden Ergebnisse im Sinne des Missverständnisses über die Größenverhältnisse, hat die fehlende Phänomenologie der Strahlung jedoch keinen Einfluß. Beispiel: Ein Elektron, welches in einem Beschleuniger mit einer Energie von 28 [GeV] ausgestattet ist, besitzt gemäß Masse-Radius-Konstanten-Gleichung [F1] "noch" einen Radius von ≈ 2,8 10-17 [m]. Bringt man nun dieses Elektron zur Kollision mit einem Proton mit einer Energie von 920 [GeV], was einen Protonenradius von ca. 8,6 10-19 [m] zur Folge hat, dann erscheint den Theoretischen Physikern des Standardmodells die Situation wie folgt: Im Standardmodell ist der Protonenradius konstant ≈ 0.84 fm. Somit scheint das Elektron keinen Radius, bzw. einen Radius kleiner als 10-19 [m], zu besitzen. Die Elektronen streuen im Innenbereich des Protons und vermitteln eine Substruktur. So wurden und werden Quarks und Gluonen geboren. Doch diese Geburten sind nichts weiter als Quantenfeld theoriebeladene Artefakte einer inkonsistenten, Realphysik befreiten Wünsch-Dir-Was-Theorie. Obige Energiewerte sind "übliche" Elektron-Proton-Kollisions-Energien. In der Masse-Radius-gekoppelten Realität sind die Proton-Streuzentren mit Wirkungsquerschnitten kleiner als der Wirkungsquerschnitt des Protons - die theorieinduziert als (Quark-Gluonen)-Substruktur interpretiert werden - die radialsymmetrisch Radius verkleinerten Protonen selbst. Analoges gilt für hochenergetische Elektronen. Nur hier führt das etablierte Denkschema dazu, dass man den Elektronen per Postulat keine Substruktur geben möchte, im Resultat „erleiden“ Elektronen gemäß Standardmodell der Teilchenphysik die phänomenologisch sinnleere Punktverarmung von Masse und elektrischer Ladung. Die daraus resultierenden Divergenzen sind „punktveramungs-inhärent“. Resultierende Unendlichkeiten der Masse-, Ladungs- und Energiedichte werden sodann mittels aufwendigen, mathematisch-axiomatisch „bedenklichen“ Neukonstruktionen – Stichworte Renormierung und Regularisierung – mit eigens für dieses Problem konstruierten, kompensatorisch wirkenden (negativen) Unendlichkeiten zum Verschwinden gebracht.
Menschliches Ich komme jetzt zu einem Aspekt, der zwar nichts mit der Mathematik und nichts mit der Physik der Denkmodelle zu tun hat, aber den größten Einfluss darauf nimmt, ob ein »Alternativmodell« überhaupt in eine ernsthafte Diskussion "kommt". Wenn ein »Alternatives Denkmodell« doch so gut ist, wie propagiert, warum wird dem trotzdem wenig bis keine Beachtung geschenkt? Warum wird es nicht in Fachkreisen beachtet und darüber diskutiert? Kaum jemand traut sich, trotz der Vielzahl an Widersprüchen, willküraffinen Postulaten, Ergebnis orientierten Nachkorrekturen,... herrschende Theoretische Grundlagenforschung zu kritisieren. Auch „eingeweihte“ Physiker und Mathematiker tun dies nicht. Die einen, weil sie glauben, sie hätten nicht die nötige Kompetenz, die anderen aus Kalkül. Die Probleme als solche sind leicht identifiziert. Theoretische Grundlagenphysiker verlangen, ohne es explizit aussprechen zu müssen, dass nur Wissenschaftler mit der nötigen mathematischen Ausbildung etwas zum Formalismus sagen dürfen. Der Weg über den Formalismus führt aber unweigerlich zur Akzeptanz dessen, was man eigentlich kritisieren müsste. Und: Mathematik ist geduldig und kann den größten Unsinn korrekt bestimmen.
Die etablierte Meinung, dass theoretische Aspekte der Physik und Kosmologie nur von Fachleuten bewertet werden können, ist unzutreffend. Jedwede erkenntnistheoretisch wertvolle, konsistente Theorie kann von intelligenten Menschen mit einem gewissen Grad an Vorbereitung verstanden werden. Es sind vielmehr die zeitgenössischen theoretischen Konzepte, denen es an formaler Logik fehlt. Jeder freie Parameter ist ein freier Parameter zuviel. Die beliebte Unart bereits vorhandene sekundäre Größen und Begriffe, durch weitere sekundäre Größen und Begriffe oder weiterer postulierter Substrukturierung vermeintlich zu erklären, führt unweigerlich in die Beliebigkeit. Überlichtschnelle Expansion, seit Jahrzehnten undefinierte, unbeobachtete Theorie-Objekte - wie Dunkle Energie, Dunkle Materie und Dunkle Photonen - lassen sich schnell auf einen Nenner bringen. Es gelten ganz aktuell und verstärkt die Worte Theodor Fontanes : »Wir stecken bereits tief in der Dekadenz. Das Sensationelle gilt, und nur einem strömt die Menge noch begeisterter zu, dem baren Unsinn.«
Wenn Prüflinge gleichzeitig Prüfer sind oder so ähnlich... Diejenigen, die es am besten und schnellsten, im Hinblick auf Konsistenz und Aussagefähigkeit, untersuchen könn(t)en, ob ein »Alternativmodell« im Sinne des Prinzips der Parsimonie eine Existenzberechtigung hat, sind im 21. Jahrhundert fast ausnahmslos Theoretische Physiker und in diesem Bereich angesiedelte Mathematiker. Diese sind allesamt, sofern sie sich mit den Standardmodellen der Teilchenphysik und Kosmologie beschäftigen, Protagonisten, Apologeten oder Epigonen dieser. Es ist, sowohl für einen unbetreuten Quantenfeldtheoretiker als auch für einen unbetreuten »ART affinen Differentialgeometriker«, schlicht unmöglich, sich vorstellen zu können, dass es brauchbare Denkmodellalternativen ohne Quantenfelder und Differentialgeometrie geben kann. Das ist keine Übertreibung. Es ist für diese "Standardmodell-Denker" komplett unmöglich. Das bedeutet, diese haben keinen eigenen Primärimpuls etwas derartig »Anderes« auch nur im Geringsten zu betrachten. Aphoristisch lautet ihr Ausschließungs-Motto... Wir lesen nicht, wir schreiben selber!
Die Physiker und Mathematiker, die nicht selbst mit den Standardmodellen assoziiert sind, stehen »Alternativen Denkmodellen« gleichfalls kritisch gegenüber, weil sie sich nicht vorstellen können, das ihre Kollegen-Experten falsch liegen können. Sie denken, dass am Ende Alternativen sich nicht durchsetzten können, weil sie glauben, was die Standardmodellmacher seit Jahrzehnten propagieren, wie ausgereift, aussagekräftig und alternativlos doch ihre Modelle sein. Mitunter schwingt auch die Angst mit, sich mit öffentlich wahrnehmbarer Kritik zu blamieren. Das hat damit zu tun, dass die angewandte Mathematik so komplex und schwierig ist, dass sie erst einmal mit dem Vorwurf konfrontiert werden, dass sie ja gar nicht verstehen, was sie da kritisieren. Das ist auch in den meisten Fällen aus rein mathematisch-formaler Sicht zutreffend.
Des Weiteren gibt es noch die egozentrischen Standardmodell-Kritiker, die neben ihrer Kritik auch gerne kreativ werden würden. Mit oder ohne sachrelevante Vorkenntnisse, fehlt es jedoch nahezu allen, bis auf die »one in a million« - Ausnahme an »schöpferischem Geist« ein brauchbares physikalisches Denkmodell zu entwickeln. Die Fokussierung auf das ich, macht sie in dem Fall, das sie Kenntnis von einem inhaltlich erfolgreichen »Alternativen Denkmodell« nehmen und das somit höchstwahrscheinlich einer aus ihren Kritiker-Reihen, das schafft(e), was ihnen nicht gelang respektive gelingt und wohl auch perspektivisch nicht gelingen mag, zu Verdrängern und Ignoranten. Ihre Strategie: Sie vermeiden es, sich mit dem neuen alternativen Denkmodell auseinanderzusetzen. Sie haben Angst sich den Ausführungen im Detail zu nähern, da eine Kaskade von Gefahren besteht. Erst einmal, dass sie für sich erkennen müss(t)en, dass das Modell tauglich ist. Das bereitet vielen einen starken Egoschmerz. Als nächstes wären sie - früher oder später - in der Pflicht auch darüber im Rahmen ihrer Möglichkeiten zu berichten. Insbesondere öffentlich bekannte Kritiker wären dann verpflichtet, auf Grund ihrer medialen Reichweite für eine entsprechende Verbreitung zu sorgen oder müssten sich irgendwann erklären, warum sie das nicht taten. Die Geschichte zeigt, dass diese Vermeidungs-Strategie selten erfolgreich ist. Es mag lange dauern, doch eines Tages kommt das »Neue« ans Tageslicht. Trotz dieser Erkenntnis sind auch Egozentriker in den Reihen der Denkmodellphysiker diesbezüglich beobachtungs- und lernunfähig.
Bei den Kritikern, die ihre Kritik professionalisiert haben und Geld mit Büchern, Vorträgern etc. diesbezüglich verdienen, geht es offensichtlich nicht nur um Egoproblematiken sondern auch um Materielles. Spätestens an dem Tag, wo jedem klar ist, dass die alten Konzepte nicht mehr relevant sind und das nicht nur in Fachkreisen sondern auch populärwissenschaftlich kommuniziert wird, ist auch die diesbezügliche Kritik obsolet. Das bedeutet - leicht verständlich - sie verdienen nichts mehr mit ihrer Kritik an den überholten Denkmodellen.
Psychologie der Masse(n) Es ist nicht leicht einem Menschen, der zumindest im Kern einer Sache Realitätsnähe und Verhältnismäßigkeit erwartet, zu erklären, dass dem oft nicht so ist, insbesondere wenn es sich um wissenschaftliche Themen handelt. Alle verbreiteten Standardmodelle, insbesondere wenn diese über größere Zeiträume herrsch(t)en, beinhalten Machtpositionen und Versorgungsstrukturen. Die Machthalter und Nutznießer werden alles tun um diese Zustände aufrecht zu erhalten. Fatalerweise avancierten aus erkenntnistheoretischer Sicht Differentialgeometrie- und Quantenfeld-Fantasien zu neuen Denkdogmen. Heute bestimmen nicht messbare postulierte Theorieobjekte, deren gewünschte mathematische Symmetrien und willküraffine Substrukturthesen das Denken der Theoretischen Grundlagenphysik. Dass diese Konstruktionen u.a. weder konsistent noch alternativlos sind, wird im Folgenden ausgeführt. Inhalts-analytisch erstaunlich ist die Tatsache, dass die "großen" Standardmodelle der Physik sprich das Standardmodell der Elementarteilchenphysik (SM) und das Standardmodell der Kosmologie (ΛCDM-Modell), sowie vermeintlich konkurrierende Modelle (Stringtheorien) und die gewünschte SM-"Erweiterung" SUSY (Supersymmetrie) keinerlei rational logischer Kritik standhalten, wie im Zusammenhang mit der Elementarkörpertheorie (EKT) an zahlreichen Beispielen ausgeführt wird. Einzig das soziologische "Argument", dass sich doch nicht zehntausende mathematisch hervorragend ausgebildete Wissenschaftler über mittlerweile mehrere Generationen, mit Modellen beschäftigen, wenn diese bedeutungslos sind, wird zum finalen Schlag ins Felde geführt. Dieses schwerwiegende allgemein-psychologische "Argument" ist sehr gut erprobt, wie allgemein bekannt die Beständigkeit und Macht der irrationalen Weltreligionen leidvoll bestätigen. Postulierte Quarks oder postulierte Superpartner sind exemplarisch wie Adam und Eva. SM und Artverwandtes sind heilige Schriften der Theoretiker. Dort herrscht die Lagrangedichte und produziert stetig Willkürliches. Entstehungsmythen, egal welcher Ausrichtung, gehören nicht in Denkmodelle zur Materiebildung. Die Welt der Götter ist "bestenfalls" ein unterhaltsames Psycho-Konzept für Glaubensabhängige aber kein meßtechnisch erfassbares Objekt. Die Unterschiede zwischen »Geistern und Dämonen« und »Dunkler Energie und Dunkler Materie« sind marginal. Die Verdrängung realphysikorientierter Plausibilität zu Gunsten Logik beraubter Denkmodelle (ΛCDM-Modell, SM, SUSY) charakterisiert ein seit Jahrzehnten anhaltendes modernes Trauerspiel. Wir erleben mit der heutigen etablierten Standardmodellphysik ein erneutes, doch diesmal deutlich komplexeres, Phlogiston-Drama. "Willkommen" im Barock 2.0 sozusagen.
Nicht die Mathematik, die generell nicht zwischen Staub und Staubsauger unterscheiden kann, ist "falsch", sondern die mathematisch formulierten, willkürlich postulierten Denkkonstrukte sind es, die bei genauer Sicht schon einfachster Logik entbehren und letztendlich keinen Erkenntnisgewinn generieren. Die etablierte Meinung, dass theoretische Aspekte der Physik nur von Fachleuten bewertet werden können, ist unzutreffend. Jedwede nachhaltig Erkenntnis bringende, konsistente Theorie kann von intelligenten Menschen mit einem gewissen Grad an Vorbereitung verstanden werden. Es sind vielmehr die zeitgenössischen theoretischen Konzepte, denen es an formaler Logik fehlt.
Psychologie und Notwendigkeit alternativer Denkmodelle Der Kritik eines bestehenden Denkmodells „folgt“ zwingend ein neues Denkmodell, sofern ein nachhaltiger Erkenntnisgewinn angestrebt wird. Jede noch so fundierte Kritik bedarf einer konstruktiven Alternative, solange diese nicht existiert „verpufft“ selbst die „beste“ Kritik. Natur kann nur addieren oder subtrahieren. Eine gesicherte »höhere mathematische Realität« existiert ausschließlich im Rahmen axiomatisch begründeter Sprache (Mathematik). Inwieweit eine korrekte mathematische Struktur (»höhere mathematische Realität«) physikalisch anwendbar ist, lässt sich mit den Mitteln der Mathematik nicht entscheiden (siehe unstrittig-exemplarisch Epizykeltheorie und Banach-Tarski-Paradoxon). Mathematik erfasst letztendlich Mengen und kann nicht zwischen Staubsauger und Staub unterscheiden. "Hier" beginnt das fundamentale Mißverständnis über das, was Physik aus einem naturphilosophischen, respektive erkenntnistheoretischen Blickwinkel sein sollte, ohne den nützlichen, formalisierten Charakter der physikalischen Beschreibung zu verlieren. Den komplizierten Standardmodellausführungen fehlen letztendlich meist konkrete Berechnungsmöglichkeiten oder diese führen in einigen Fällen zwar zu Ergebnissen, doch der mathematische Weg zum "Rechenergebnis" bleibt phänomenologisch unverstanden. Die Standard-Annahme der Standardmodelle, dass komplexe mathematische Formalismen einen erkenntnistheoretischen Gewinn „mathematik-selbstgestaltet“ generieren können, ist ein fataler Irrglaube, der zu theoriebeladenen Versuchen führt und in dessen Verlauf Versuchsergebnisse weder reproduzierbar noch direkt meßbar sind.
Salopp formuliert: „Früher“ fielen bei einer Milliarde Einzelversuchen, eine Milliarden Mal die Äpfel vom Baum, was zur theoretischen Rechtfertigung einer anziehenden, gravitativen Kraft führte. Heute wird als Teilchen-Existenzbeweis ein Ereignis bei einer Milliarde Versuchen mit »einer Milliarde -1« Fehlversuchen gewertet und das postulierte Teilchen ist, anders als der Apfel, auch nicht direkter Bestandteil der Messung. Wie beliebig und nachvollziehbar grotesk die Moderne Teilchenphysik „aufgestellt“ ist, wird hier an verschiedenen Stellen und in den Kapiteln zum Standardmodell der Teilchenphysik (SM) und zum Higgs-Formalismus detailliert ausgeführt. Von vielen, möglicherweise fast von allen Physiktreibenden, vom Studenten bis zum Professor, vom Wissenschaftsneugierigen bis zum mathematisch (gut) vorgebildeten Anhänger, vom "irgendwie Versteher" bis zum ahnungslosen Laien geht eine omnipräsente Systemgläubigkeit aus, die je nach Bildungsstand, mit mehr oder weniger scheinbar fundierten Argumenten, "Dinge", wie überlichtschnelle Raumausdehnungen oder Kaskaden von virtuellen Teilchen "vertritt", deren Begründungen aber letztendlich nur einer Prämisse folgen: (Moderne) Wissenschaft ist das, worauf man sich geeinigt hat, auch wenn experimentelle Fakten, Inkonsistenzen und die Anzahl freier Parameter klar gegen herrschende Standardmodelle sprechen. Abgehoben und von der Masse glorifiziert leben die Protagonisten der Modernen Theoretischen Systemphysik bezüglich alternativer Denkmodelle nach dem Motto: »Wir lesen nicht, wir schreiben selber.« Doch was wissen diese Leute wirklich von dem, was sie da treiben und schätzen? Was "kennen" sie, außer den "Dingen", die sie anhimmeln, stetig nachkorrigieren und mit aller Kraft verteidigen und wenn es als letzte Untat die postulierte Unwiderlegbarkeit (Stichwort Confinement-These) selbst ist, die sie propagieren? Konträr zur sachdienlichen Forderung erkenntnistheoretischer Betrachtungen sind die „Ergebnisse“ der Theoretischen Grundlagenphysik eher emotional statt wissenschaftlich begründete Antworten auf die ideologische Frage, auf welches theoretische Konzept man sich „heute und demnächst“ einigt. Die Natur hat sich gefälligst den aktuellen theoretischen Implikationen zu unterwerfen. Heute sind es beispielsweise noch postuliert elementare Quarks, morgen möglicherweise "Preonen-Substrukturierte". Gemessen wird stark selektiv in vorgezeichneten Zerfallskanälen. Beobachtet wird das, was die aktuell herrschende Theorie fordert. Wirklich interessant sind die psychologischen und soziologischen Aspekte, die inhärent mit den Machern und Anhängern der Standardmodelle verknüpft sind. Wie konnte es dazu kommen, daß ein eher kleiner Kreis von „Wissenschaftlern“ trotz dokumentierter Erkenntnislosigkeit bestimmt, was die anderen zu denken haben? Und warum verhalten sich andere „Wissenschaftler“ so passiv? Die transparent absurden Standard-Theoriewelten bieten Riesenangriffsflächen für logische und formal-logische Kritik, doch es gibt so gut wie keine wahrnehmbar aktiven Kritiker.
Gibt es Schnittmengen zwischen dem Alternativmodell und den Standardmodellen?
Versuchsergebnisse und Versuchsergebnisinterpretationen Auch wenn das erst einmal, insbesondere aus der Sicht von Standardmodellprotagonisten, erstaunlich oder gar unmöglich klingt, aber die Elementarkörpertheorie (EKT) wird sowohl experimentell im Teilchenbeschleuniger, in allen bekannten - egal in welcher Kombination - Protonen-Elektronen - Streuexeprimenten sowie auf kosmischen Skalen bestätigt, das wird im weiteren Verlauf der Ausführungen deutlich.
SM-Ausgangssituation Das Standardmodell der Elementarteilchenphysik (SM) zielt darauf ab, Materie-Entstehung und Wechselwirkungen durch rein abstrakte mathematische Symmetrien (Eichsymmetrien mit ihren Eichgruppen) zu erfassen. Die Definition der Masse eines Teilchens bezieht sich im Rahmen des Standardmodells ausschließlich auf ihre kinematische Wirkung. Ihre Wirkung als Quelle eines Gravitationsfeldes bleibt dagegen unberücksichtigt, wie auch die Gravitationswechselwirkung die im Standardmodell nicht beschrieben werden kann.
Der mathematische Ansatz des Standardmodells der Teilchenphysik, ausgehend von nulldimensionalen, masselosen Objekten liefert offensichtlich keine Anbindung an die wahrnehmbare physikalische Realität in der Masse und Ausdehnung Fundamentaleigenschaften darstellen.
Ausgangssituation Mass-Raum-Kopplung Die grundsätzliche Denkmodell-Forderung besteht darin, dass minimalistische Gleichungen sowohl das masselose Photon als auch massebehaftete Materie in ihrer Entstehung als Elementarkörper abbilden.
Elementarkörper-Entstehungsgleichungen
In diesem Sinne gibt es auch im Denkmodell der Elementarkörper den masse- und raumlosen Zustand (als Energieäquivalent). Das bedeutet: Das (kodierte) Information eine Energieform ist. Interessanterweise hat dies keinen Einfluss auf die Wechselwirkungen der Elementarkörper respektive der daraus konstruierten Materie im Hinblick auf den Wechselwirkungs-Formalismus. Wie später erläutert wird, muss zwischen der inneren Dynamik des Elementarkörpers (EK) und der Informations- respektive Energie-Translation mit Lichtgeschwindigkeit in "Gestalt" von Photonen phänomenologisch unterschieden werden.
Information als materieller Zustand = Elementarkörper
m0 · r0 = FEK = const. : Masse-Radius-Konstantengleichung
Urknall Inflationär ohne Masse(n) im Raum und Masse-Raum gekoppelt
Urknall-These-Standardmodell Ohne hier auf die zahlreichen Details, insbesondere die komplizierte und komplexe Mathematik (Stichworte Differentialgeometrie, Friedmann-Lemaître-Robertson-Walker-Metrik) explizit einzugehen und ohne die notwendige These des Standardmodells der Kosmologie (Lambda-CDM-Modell) der Inflationszeit (temporär vielfache Überlichtgeschwindigkeit für eine ultrakurze Zeitspanne) an dieser Stelle bereits zu thematisieren, ist der Raum von der Materie in den Standardmodellen zwingend entkoppelt worden.
Der postulierte Urknall Die ursprüngliche Urknall-Theorie, dass das Universum vor endlicher Zeit aus einer Singularität “entsprang“, stammt vom belgischen Abbé Georges Edouard Lemaitre, einem wissenschaftlich ausgebildeten Mann der katholischen Kirche, der schon in jungen Jahren von der Idee beflügelt war, eine Theorie zu schaffen, mit der Wissenschaft und katholische Schöpfungslehre in Übereinstimmung gebracht werden kann. Das Konzept eines expandierenden Universums, wie wir es heute kennen, war von dem russischen Wissenschaftler Alexander Friedmann und Lemaitre unabhängig voneinander entwickelt worden. Mit ihren Lösungen wendeten sie die Allgemeine Relativitätstheorie (ART) auf das kosmische Medium an. Ihre Arbeiten über das Thema wurden in den Jahren 1922 und 1924 sowie auch 1927 und 1931 veröffentlicht. Die (scheinbare) Rotverschiebungs-Helligkeits-Relation wurde von Edwin Hubble im Jahre 1929 entdeckt und erklärte das neue theoretische Bild. Das so genannte Hubble-Gesetz wurde sowohl von Friedmanns und Lemaitres Modellen theoretisch bestätigt. Es wurde sofort auf den Status einer „beobachteten“ Entdeckung eines expandierenden Universums gehoben, obwohl die Idee einer Expansion vor allem eine theoretische Idee ist. Hubbles Beobachtungen sind konsistent mit dieser Idee, aber kein Beweis dafür. Hubble selbst war sich dessen bewusst und suchte während seines ganzen Lebens eine Antwort auf die gestellte Frage nach seiner Entdeckung: Was ist die Ursache für die Rotverschiebung? Lemaitres Überlegungen waren im Sinne der katholischen Kirche, die in ihnen die glänzende Bestätigung der Schöpfungsidee sah. Nachdem diese Idee anfangs unter den Wissenschaftlern keine Anerkennung fand und man Lemaitre zum Teil verspottete, wurde er im Dezember 1940 aufgrund seiner wissenschaftlichen Leistungen an die Päpstliche Akademie der Wissenschaften berufen. Auf einer Tagung im November 1951 befürwortete die Päpstliche Akademie der Wissenschaften Lemaitres Theorie. Papst Pius XII. sprach am 23.11.1951 vor den Mitgliedern der Akademie und erklärte in einem abschließenden Vortrag, dass der mit dem Urknall zeitlich festlegbare Anfang der Welt einem göttlichen Schöpfungsakt entspränge. Die Ergebnisse "moderner Wissenschaft", auf die sich Papst Pius XII. beruft, wurden so mit der kirchlichen Doktrin zusammengeführt. Von 1960 bis zu seinem Tod war Lemaitre Präsident der Akademie. Mit dem Amt verbunden war die Verleihung des Titels eines päpstlichen Prälaten. 1964 wurde Abbé Georges Edouard Lemaitre emeritiert. Die Geschichte der Urknalltheorie ist so verlaufen, dass neue hypothetische „Objekte“ eingeführt werden mussten, für die es keine Belege gab und nach wie vor gibt, außer dass sie die zugrunde liegende Theorie rette(te)n. Der Begriff »Inflation«, der ein Feld und eine Energie beinhaltet, die völlig unbekannt sind, wurde Anfang der 1980er Jahre eingeführt, um den Urknall trotz vieler sehr schwerwiegender Widersprüche in der Beobachtung zu halten. Bald darauf kam die nichtbarionische »Dunkle Materie« als postulierte Theorie-"Entität" hinzu und in den 1998er Jahren die »Dunkle Energie«. Die dunkle Energie ist eine postulierte, nicht detektierbare (!?!), Form von Energie, die das Universum auf großen Skalen beeinflusst. Ihr postulierter Haupteffekt besteht darin, dass sie die beschleunigte Expansion des Universums auslöst respektive aufrecht erhält. Der Begriff wurde 1998 von dem Astrophysiker Michael S.Turner geprägt. Das Vorgehen erinnert sehr an die Epizyklen des ptolemäischen Weltbildes.
Raumzeit Das gesamte gegenwärtige physikalische Weltbild baut auf dem Paradigma der »(physikalischen) Raumzeit« auf. Die Theorie des geschlossenen sich ausdehnenden Universums und die Urknalltheorie basieren auf mathematischen Berechnungen dieser konstruierten vierdimensionalen Raumzeit. Die vierdimensionale »(physikalische) Raumzeit« wurde nicht von Albert Einstein entwickelt, sondern vom Mathematiker Hermann Minkowski (1864-1909). Minkowski hielt am 21.09.1908 in Köln auf der 80. Versammlung der Deutschen Gesellschaft der Naturforscher und Ärzte seinen Vortrag »Raum und Zeit«. In diesem Vortrag führt Minkowski die mathematischen Notationen ein, mit denen die Spezielle Relativitätstheorie Einsteins zur Allgemeinen Relativitätstheorie erweitert werden kann. Aufgrund des Relativitätsprinzips und der daraus folgenden Invarianz gegenüber Lorentztransformationen trägt nicht nur Masse, sondern auch jede Form von Energie zur Krümmung der Raumzeit bei. Dies gilt einschließlich der mit der Gravitation selber verbundenen Energie. Daher sind die einsteinschen Feldgleichungen nichtlinear. Sie lassen sich im Bereich schwacher Krümmung durch lineare Gleichungen annähern, in denen sich das Newtonsche Gravitationsgesetz wieder finden lässt. Phänomenologisch bleibt diese mathematisch formulierte Raumzeitkrümmung ohne Anschauung. Die Raumzeit ist nicht sinnlich erfahrbar und auch nicht apparativ meßbar. Die Raumzeit ist ein rein mathematisches Konstrukt. Am Rande bemerkt: Vergleiche exemplarisch die deutschen und englischen Wikipedia-Ausführungen zur Raumzeit. Vergleiche die deutschen und englischen Ausführungen zum Minkowski-Raum. Und vergleiche die deutschen und englischen Ausführungen zur Lorentz-Transformation. Hier fällt auf, dass insbesondere der Laie mittels der deutschen Wikipedia im wahrsten Sinne des Wortes unzureichend informiert wird. Es ist kaum zu glauben, dass die »Galionsfiguren der Raumzeit«, der deutsche Albert Einstein und der deutsche Hermann Minkowski waren. Warum ist die deutsche Wikipedia „so schlecht“ im Verhältnis zur englischen? Dass Englisch die Sprache der Wissenschaft ist, daran kann es nicht liegen, da die Idee von Wikipedia ja die Vermittlung von Information sein soll. „Brauchen“ deutschsprachige Interessierte keine ausreichende, themen-adäquate Information? Kein Wunder, wenn sich Deutschlesende alles Mögliche zu diesem Thema „zusammenspinnen“, da ihnen nicht einmal die Grundlagen vollständig und meist unreflektiert von deutschen Wikipedia-Autoren vermittelt werden. Siehe hierzu weiterführend und themenübergreifend den Beitrag: Die Grenzen meiner Sprache sind die Grenzen meiner Welt Vom Umgang der Deutschen mit ihrer Sprache und wo die Pädagogik versagt hat von Marita Ellenbürger, November 2015. Der Kosmos ist kein Versuchslabor Bei allen kosmologischen „Beobachtungsstudien“ handelt es sich nicht um kontrollierbare Laborexperimente. Die menschliche Beobachtungs-Zeitspanne ist verglichen mit den Zeitspannen, in denen sich kosmische Bewegungen abspielten und abspielen, extrem klein. Mit den Angaben aus der menschlichen Beobachtungsdauer Annahmen zu begründen, ist wortwörtlich „weit hergeholt“ um es mal salopp zu formulieren. Alle derzeitigen vermeintlich empirischen Messungen sind stark (Urknall-)theoriebeladen. Postulierte Zeitspannen, Entfernungen und Energiedichten sind subjektiv-theorieabhängig. Es wäre naiv und töricht weit verbreitete Erwartungshaltungen zu ignorieren. Es ist nicht leicht Menschen, die zumindest im Kern einer Sache Realitätsnähe und Verhältnismäßigkeit erwarten, zu erklären, dass dem oft nicht so ist, insbesondere wenn es sich um wissenschaftliche Themen handelt. Besonders eklatant ist der Umstand, dass im Vergleich zu organisierten Religionen, die Theoretische "Grundlagen-Physik" samt assoziierter theoriebeladener Experimentalphysik suggeriert ein hohes Maß an Objektivität und Glaubensfreiheit zu verkörpern. Und so sieht es auch die interessierte Bevölkerung. Physik ist sicherlich in vielen Köpfen einer der letzten Schau-Plätze an denen man Glaubensbekenntnisse statt Wissenschaft vermutet. Verbreitungsstrategie von Objekt- und Entstehungsmythen Es beginnt grundsätzlich „ordentlich“, siehe exemplarisch das youtube-video Simulation of the neutron star coalescence GW170817. Die Beschreibung seitens des Max-Planck-Instituts für Gravitationsphysik (Albert-Einstein-Institut) beginnt mit …“The video shows a numerical simulation“… Doch keiner der Verkünder, ob Wissenschaftler, Wissenschaftsjournalist, Nachrichtensprecher, …, „meint“ letztendlich, dass es sich, sowohl theoretisch als auch physisch, um nichts weiter als Hypothesen und Simulationen handelt. Stark theoriebeladene Wünsche werden „im guten (doppeldeutig) materiellen Glauben“ materialisiert. Obwohl jeder sehen könnte, was er nie wirklich sehen wird… Wahrnehmungsmöglichkeiten In unserem Sonnensystem gibt es weder Neutronensterne, Gamma Ray Bursts (GRBs) noch Schwarze Löcher (respektive „Anomalien“, die als solche interpretiert werden können). Eine Liste postuliert „erdnächster“ Schwarzer-Löcher-Kandidaten findet sich unter https://en.wikipedia.org/wiki/List_of_nearest_black_holes mit einer „kürzesten“ Entfernung von 2800 Lichtjahren. Zum Vergleich: Der nächste Stern „aus unserer Sicht“ ist mit 4,24 Lichtjahren Proxima Centauri (https://de.wikipedia.org/wiki/Proxima_Centauri). Objekt- und Entfernungs-Angaben beziehen sich auf die Sicht des ΛCDM-Modells. Das angesiedelte soziologische Wahrnehmungsproblem „besteht“ darin, dass hier, nach einfachem psychologischem Glaubens-Muster, diverse postulierte Theorieobjekte unterschiedlichster Art, seit Jahrzehnten - der mit rudimentärem Wissen ausgestatteten Bevölkerung - als 100% real existent sprichwörtlich verkauft werden. Hier kommen Wissens-Vermittler ins Spiel, die möglichst objektiv erst einmal die Sachlage erklären (können). Diese Aufgabe ist bezüglich der physikalischen Standardmodelle extrem schwierig, da viele fundamentale Aspekte keinen Plausibilitätsbetrachtungen entsprechen, die sinnlich wahrnehmbar sind. Raum und Zeit sind primär "Ordnungsmuster des Verstandes". Um aus diesen Ordnungsmustern Physik zu "erhalten", bedarf es zwingend einer phänomenologischen Betrachtung und Erklärung.
Raumzeit - Was expandiert? Das Postulat der Raumzeit besagt, dass es im Rahmen der (formalisierten) Betrachtung der Allgemeinen Relativitätstheorie (ART) Zeit und Raum nur als Einheit gibt. Im Rahmen der ART expandiert nicht ein sinnlich wahrnehmbarer Raum bzw. in vereinfachter Anschauungs-Form eine Ballonoberfläche, sondern das mathematische Konstrukt der Raumzeit. Es existiert kein einzigartiger Ursprung, sondern die Raumzeit expandiert überall. Weiter wird willkürlich festgelegt: Es ist zwar die Raumzeit selbst, die sich ausdehnt, doch die Galaxien werden (nur) mitbewegt. Etabliertes Postulat: Gravitativ gebundene Objekte wie Galaxien oder Galaxienhaufen expandieren nicht. Hier stellt sich die rational-analytische Frage, wie, wo, warum und wann der Grenzübergang von „etwas“ nicht raumzeitexpandierendem zu etwas raumzeitexpandierenden stattfindet? Diese Frage wird von den Vertretern des ΛCDM-Modells nicht beantwortet. Bezogen auf die populärwissenschaftlich gern verwiesene Luft-Ballon-Analogie expandieren, konträr zu diesem Postulat, für den Beobachter auch die Markierungen auf der Ballonoberfläche. Nach heutigen Vorstellungen ist im Vergleich zur Radiusvergrößerung der Luftballonvorstellung die kosmische Expansion beschleunigt. Im „Ballonverständnis“ expandiert der Ballon gleichmäßig oder verlangsamt (bis zu einem materialbedingten Maximum, bevor der Ballon platzt). Verschwiegen werden in der Analogie auch die (überlichtschnelle, zeitlich stark begrenzte) postulierte, theorienotwendige Inflationsphase, sowie die Annahmen und Wirkungen der postulierten Dunklen Materie und postuliert Dunklen Energie, die im Ballonmodell nicht vorkommen.
Masse-Raum-gekoppelter Ursprung des Universums Die Elementarkörpertheorie bietet sowohl für mikroskopische Objekte als auch für komplexe, dynamisch-verschachtelte Strukturen, bis hin zum »Universum«, einen Ergebnis orientierten Rahmen, in dem mit wenigen Annahmen bemerkenswerte analytische Ausdrücke abgeleitet werden können. In Analogie lassen sich die Entstehungsgleichungen für den Elementarkörper auf kosmische Verhältnisse anwenden... Elementarkörper-Entstehungsgleichungen
Ein Ergebnis dieser Betrachtung ist die Berechnung der Masse des Universums in Abhängigkeit der Zeit (Alter des Universums) ► Gleichung [MUNI]. Ohne an dieser Stelle näher auf die notwendigen Elementarkörpertheorie basierenden phänomenologischen Hintergründe einzugehen, folgt mittels der Elementarkörper-Entwicklungsgleichung r(t) eine Abschätzung der oberen zeitabhängigen Radius-Grenze, die mit der gleichfalls Elementarkörpertheorie basierenden Idee der verkörperten Gravitationskonstanten zum allgemeinen Gravitationsradius und zu einem konkreten mathematischen Ausdruck führt, mit dem sich die Masse des Universums mUniversum(t) alleinig aus dem Alter des Universums ergibt.
Der Fehler zu Gleichung [P2m], bei genauer Kenntnis der maximalen Universumsmasse***, beträgt hier (zeitabhängig) ~ -5%. Diese Elementarkörper basierende Abschätzung, die in sehr guter Übereinstimmung mit den Schätzwerten des Standardmodells der Kosmologie ist: mUniversum ~ 1·1053 [kg], deutet an, welche Macht in realphysikalisch orientierten, phänomenologisch begründeten Plausibilitätsbetrachtungen "steckt", die im Gesamtbild konträr zu differential-geometrischen komplexen Formalismen und resultierenden Raum-Zeit-Kontinuum-Fantasien, mittels Masse-Raum-Kopplung letztendlich zum Paradigmenwechsel führen. Denn im Gegensatz zur "gängigen" Urknall-Theorie notwendigen teils überlichtschnellen Materie entkoppelten Expansion des Raumes, basiert die Elementarkörpertheorie-Gleichung [MUNI] auf einer Masse-Raum-Kopplung, die zu keinem Zeitpunkt eine überlichtschnelle Ausbreitung besitzt.
***Die Berechnung der maximalen Universumsmasse ergibt sich mittels der »Wasserstoff-Parameter«: Protonenmasse, Elektronenmasse, Rydberg-Energie und der Gravitationskonstanten verkörpert durch das Elementarquant,… Wasserstoff-Parameter und die Verbindung zwischen dem Kleinsten und dem Größten Was könnte nahe liegender sein als die Alleinstellungsmerkmale des Wasserstoffatoms als Grundlage für die Verbindung zwischen dem denkbar kleinsten Körper, dem so genannten Elementarquant (auch faktorisiert als Planckgrössen) und Universumsgrössen zu verwenden. Die (faktorisierten) Planckgrössen repräsentieren die verkörperte Gravitationskonstante. Das nur die doppelte Plancklänge als Radius rG = 2 · rPl und nur die inhärent doppelte Planckmasse als Masse mG = 2 · mPl energetisch den "längenkleinsten", Radius-Masse-gekoppelten Einzelkörper {G} bilden können, ergibt sich zwanglos aus dem Vergleich von Masse-Radius-gekoppelter Gesamt-Energie und Gravitations-Energie: Korrespondierend gedacht ist das Verhältnis von Protonenmasse zu Elektronenmasse (mp/me) ein maßsystemunabhängiger, einzigartiger Bildungsparameter. Eine Addition von "Plancklänge" (rG = 2 · rPl) und Universum macht keinen "beschreibenden" Sinn, weder phänomenologisch noch mathematisch, also kommt hier als "nächste einfache" mathematische Rechenoperation die Multiplikation in Betracht (rG · rUni). Die "längen"-charakteristische Größe ist Wasserstoff-Atom basierend der Rydberg-Energie inhärente Radius der Rydberg-Energie-Verkörperung, rRy. Dimensionsanalytisch kommt also in der kleinsten Potenz (rRy/2) in der 2.Potenz vor, damit dies rG · rUni entspricht. Das Verhältnis (mp/me) beschreibt ein H-Atom, also folgt gemäß einfachster mathematischer Konstruktionsmöglichkeit : (rRy/2)² · (mp/me)² = (rG · rUni) [U1]. Die Grundgedanken, die zu der Gleichung [U1] führen, sind intuitiv-logisch. Jeder Folgegedanke ist, mit der strikten Vorgabe, sowohl Realobjekt orientiert phänomenologisch als auch mathematisch minimalistisch zu sein , "zwingend".
Das obige "Größen" korrespondierend den längen-kleinsten Körper {G} und das "maximal Makroskopische" (Universum) qualitativ und quantitativ bestimmen, ist physikalisch und philosophisch ein enormer Erkenntnisgewinn. Maximaler Radius des Universums Der Radius des Universums ist gemäß Gleichung [U1] von der Grundzustands-Energie des Wasserstoffatoms und dem Verhältnis von Protonenmasse zu Elektronenmasse, sowie (indirekt) von der Gravitationskonstanten γG abhängig, die sich explizit durch den längenkleinsten, massereichsten mikroskopischen Elementar-Körper {G} mit der Masse mG und dem Radius rG manifestiert. Es ergibt sich ein maximaler Universumsradius von rUni = 8,78507806 · 1025 [m].
Maximale Masse des Universums Die Masse des Universums ergibt sich aus der Kosmischen Konstantengleichung [K1], die phänomenologisch auf der radius-masse-gekoppelten, korrespondierenden Selbstähnlichkeit von mikroskopischen Einzel-Körper und makroskopischen Vielteilchen-Körper basiert: Maximale Masse des Universums : mUni = 1,1830721741 1053 [kg]
Alter des maximal ausgedehnten Universums Mit der Extremwert-Bedingung für r(t) = rUni · sin(c·t/rUni) folgt: tmax = (π/2c) · rUni Daraus folgt dann: tmax = 4,6030405299 · 1017 [s] ~ 14,5961 Milliarden Jahre
Ergebnisgleiche Berechnungsalternative:
Aktueller Zustand des Universums Es erscheint auf den ersten Blick widersprüchlich mit dem Alter des Universums "zu rechnen", welches das ΛCDM-Modell propagiert. Um jedoch aufzuzeigen, wie einfach Elementarkörpertheorie basierende Gleichungen aussehen und welche quantitative Kraft in ihnen steckt, lohnt es sich auch hier als Vergleich mit dem Alters-Wert des Universums des ΛCDM-Modells zu rechnen. Zumal eine spektrale Altersabschätzung des Universums mittels der Halbwertszeit von Uran 238 (Halbwertszeit ~ 4,47 Milliarden Jahre) am Beispiel des Sterns CS 31082-001 grob das Alter des Universums vorgibt. Genauer: Das Verhältnis von Thorium 232 zu Uran 238 ermöglicht die Altersbestimmung des Sterns von etwa 12,5 Milliarden Jahren. Da der Stern nicht älter als das Gesamtsystem (Universum) sein kann, ist der vom Standardmodell vorgegebene Wert zumindest größenordnungsmäßig vertretbar. Gemäß "Abschätzungen" des ΛCDM-Modells beträgt das derzeitige Alter des Universums ~ 4,351968·1017[s] ~ 13,8 Milliarden Jahre Daraus errechnet sich mit den Elementarkörpergleichungen:
eine radiale Expansionsgeschwindigkeit von vexp = 0,0857886319294 · c , eine "aktuelle" Universums-Masse von mexp = 1,178732430 · 1053 [kg] und ein Radius von rexp = 8,752852647 · 1025 [m]. Das entspricht ~ 0,9963318 der maximalen Masse und des maximalen Radius des Universums.
Bemerkenswert ist die derzeitige Größe der radialen Expansionsgeschwindigkeit in Abhängigkeit des geschätzten Alters des Universums. Diese beträgt vexp ~ c · √α ► (√α = 0,085424543134863) / vexp ~ 0,998251 Das bedeutet, dass eine - für kosmische Abschätzungen - geringfügige Korrektur von ~ 0,175% der Universumsaltersabschätzung einen Zusammenhang zwischen der Sommerfeldschen Feinstrukturkonstanten α und der derzeitigen Expansionsgeschwindigkeit des Universums zur Lichtgeschwindigkeit offenbart. Allgemein gilt für die Expansionsgeschwindigkeit vexp , sowohl für den Elementarkörper als auch für das Universum:
Korrigiert respektive postuliert man nun die Berechnung der Expansionsgeschwindigkeit im Hinblick auf √α, dann ergibt sich gemäß der Gleichung arccos(√α)·(runi/c) = texp = 4,352408132 1017 [s] ~ 13,801396 Milliarden Jahre für das derzeitige Alter des Universums und somit eine Masse von 1,17900069 · 1053 [kg] und ein Radius von 8,75484465 1025 [m].
Mit v = √α · c ergibt sich der relativistische Faktor [: √(1-(v/c)²) ] zu √(1-α). Das ist als Beobachtung (Mustererkennung respektive als formalisierte Werteauffälligkeit) äußerst interessant, da das Verhältnis √(1-α) in die Berechnungen der Materiebildungsmöglichkeiten und deren Materieeigenschaften, wie beispielsweise bei den anomalen magnetischen Momenten zum Tragen kommt.
Die räumliche Anatomie des Universums im Bild der EKT Das Universum als solches manifestiert sich primär auf einer Kugelschale, dessen Radius bis zum Maximum zeitabhängig ist. Im Ergebnis wird Information, Masse und inhärent Raum primär zweidimensional gespeichert. Das erinnert an das holografische Prinzip. Die "Dicke" der expandierenden Kugelschale und somit der darin befindliche dreidimensionale Raum ist aus "irdischer" Sicht nicht von einem "Volumenuniversum" zu unterscheiden. Da sich die gebildeten Objekte (lokale Inhomogenitäten wie Gashaufen, ..., Planeten,..., Galaxien,...) auf der Kugelschale durch ihre gravitative Dynamik in alle Richtungen bewegen konnten und können. Der Kugeloberflächen basierende Raum war und ist dreidimensional dynamisch. Dass diese Dynamik einer Kugelschalenexpansion überlagert ist, können wir nicht (mehr) wahrnehmen, weil dieser anhaltende Prozeß zeitgleich zur primären Expansion einsetzte. Das bedeutet eine Massenansammlung auf der Kugelschale hatte und hat drei unabhängige Translationsfreiheitsgrade zusätzlich zur radialen Expansion. Abstrakt lässt sich qualitativ "so" - phänomenologisch begründet - eine Art expandierender Raum-Zeit-Konstruktion bilden.
Insgesamt stellt sich die Frage, ob die aus der Bewegung entstandene (neue) raumgekoppelte Masse einem Selbstähnlichkeitsprozess unterliegt. Soll heißen: Entsteht neue Masse und inhärent neuer Raum fraktal? Kann jeder Raumpunkt auch "Quelle" einer neuen Elementarkörperbildung sein? Energetisch ist das im Bild der Elementarkörperdynamik kein phänomenologisches Problem (siehe das Kapitel über die innere Dynamik des Elementarkörpers). Die Wahrnehmungsmöglichkeiten der Menschheit und apparativ der Experimentellen Physik, respektive der Experimentellen Astronomie sind in eine Ära hineingeboren, die wesentliche Bildungsprozesse verpasst hat, dass darf auch zweideutig verstanden werden, wenn man sich die Theoriekonstrukte der »Inflations-Knallisten« verdeutlicht.
Es hat sich somit reine Bewegung(s-Energie) in Raum(-Energie) umgewandelt. An diesen Raum ist inhärent Masse gekoppelt. Die zeitabhängigen Entstehungsgleichungen und daraus resultierend die Kosmische Konstanten-Gleichung [K1] sind:
"Überleitend" sei darauf hingewiesen, dass im Bild der Elementarkörpertheorie Energie stets auch in Wechselwirkungsprozessen (teilweise) verkörpert ist. Das bedeutet u.a., dass Photonen mit Lichtgeschwindigkeit schwerpunktbewegte Elementarkörper sind, die sich bei einer Wechselwirkung manifestieren. (Details siehe u.a. die Kapitel Anatomie des Photons und deBroglie-Materiewelle).
...ergänzend KOSMISCHES zum Vergleich Populärwissenschaftliche Ausführungen zur Allgemeinen Relativitätstheorie (ART) und in einem größeren Rahmen des Standardmodells der Kosmologie (Lambda-CDM-Modell) sind allesamt unzulässige Interpretationen, da die zum Verständnis notwendige Komplexität nicht berücksichtigt wird. Das ist so, als wenn jemand chinesische Schriftzeichen einem diesbezüglich nicht schriftkompetenten Publikum zur Anschauung und Diskussion vorstellt. Da kann dann alles und nichts hineininterpretiert werden, da niemand die Voraussetzungen zur Dekodierung sowie niemand die Voraussetzungen der Schriftgestaltung hat. Plakativ formuliert: In der ART führen auch Schreibfehler zu neuen Lösungen und das gilt (bereits) für Leute, die Differentialgeometrie professionell betreiben.
Metriken, Schwarze Löcher und ihre Bedeutung(slosigkeit)
In der üblichen "physikalischen Auswertung" des Linienelementes ds² der Schwarzschild-Metrik der ART wird eine Nullstelle bzw. Polstelle als Schwarzschild-Radius interpretiert.
In einer mehr oder weniger assoziierten Plausibilitätsbetrachtung wird danach gefragt, ab welcher Entfernung (auch) Photonen/elektromagnetische Wellen im Feld einer "gravitierenden Masse" (Raum-Zeit-Krümmung [?]) energetisch nicht mehr entweichen können. Ohne alternative Theorien zu bemühen, folgt im Rahmen der »Knallisten« - Theorien : Die zur "Schwarzschild-Metrik" theoretisch gleichberechtigte Lösungsmöglichkeit der so genannten Eddington-Finkelstein-Koordinatentransformation beseitigt die Koordinatensingularität der Schwarzschildlösung, "sorgt" aber auch dafür, dass für die "avancierte" Lösung nach innen und für die "retardierte" Lösung nach außen Teilchen ins Schwarze Loch eindringen und austreten können! Mit anderen Worten: Die postulierten Schwarzen Löcher der Ur-Version der Schwarzschild-Metrik waren bei genauer Betrachtung das Resultat zweier Integrationskonstanten eines beliebig gewählten Koordinatensystems. Ein weiteres Koordinatensystem der Herrn Eddington und Finkelstein behebt das Koordinaten-Artefakt, "bringt" dem vermeintlich Schwarzen Loch aber nun die Eigenschaft, dass Teilchen das Schwarze Loch verlassen können. Der Vollständigkeit halber sei erwähnt, dass "man" mit den Eddington-Finkelstein-Koordinaten "unzufrieden" war. Es folgten 1960 die Kruskal-Szekeres-Koordinaten. "Man" charakterisiert die Kruskal-Szekeres-Koordinaten als die maximale analytische Fortsetzung der Schwarzschild-Lösung. Das bedeutet, dass in diesen Koordinaten die größte Information über die Schwarzschild-Raumzeit steckt. In der Relativitätstheorie heißt die übergeordnete Mannigfaltigkeit, die die Schwarzschild-Lösung einschließt, die Kruskal-Lösung. Die assoziierte duale Struktur der Schwarzschild-Geometrie fand J.L. Synge bereits 1950, zehn Jahre vor Einführung der Kruskal-Szekeres-Koordinaten.
Hintergründe Das basisverletzte Kovarianzprinzip Die allgemeine Relativitätstheorie (ART) ist eine Gravitationstheorie und geht von der Gleichheit der trägen und der schweren Masse aus [»Äquivalenzprinzip«]. Aber die ART erklärt dieses Prinzip nicht sondern setzt es voraus. Die Allgemeine Relativitätstheorie wurde u.a. aus der Forderung geboren, zur Beschreibung der Naturgesetze beliebige Koordinatensysteme verwenden zu können. Entsprechend dem Kovarianzprinzip sollte die Form der Naturgesetze nicht entscheidend von der Wahl des speziellen Koordinatensystems abhängen. Diese Forderung ist ursächlich mathematisch und führt zu einer Vielfalt von möglichen Koordinatensystemen [Metriken] bleibt aber physikalisch "unmotiviert". Schlimmer noch: Es ergeben sich je nach Wahl des Koordinatensystems phänomenologische Interpretationsspielräume (siehe oben). Der Grund ist "relativ" einfach: Koordinatensysteme sind mathematische Konstrukte, die keinerlei physikalische Eigenschaften besitzen (müssen). Die Gleichungssysteme (Einstein, Friedmann) der Allgemeinen Relativitätstheorie, die den Aussagen des Standardmodells der Kosmologie zu Grunde liegen, liefern keine analytischen Lösungen. Erst Idealisierungen und Näherungen führen begrenzt zu rechenbaren Lösungen. Die unvermeidbaren ("kovarianten") Widersprüche kommen mit den offensichtlich unzulässigen Idealisierungen und Näherungen des Systems von nichtlinearen, verketteten Differentialgleichungen. Mathematisch kann das Kovarianzprinzip nicht „verletzt“ werden, da es ja axiomatisch begründet ist. Nur diese axiomatische Voraussetzung „entschwindet mit der Verstümmelung“ (Idealisierung und Näherung) der eigentlichen Gleichungen. Mit anderen Worten: Die mathematisch korrekten Gleichungen besitzen keine analytischen Lösungen. Die reduzierten Gleichungen (Näherungen, Idealisierung) besitzen zwar Lösungen, diese sind jedoch nicht kovariant. Somit besitzt keine Lösung eine realphysikalisch begründete Bedeutung. Mit anderen Worten: Das Kovarianzprinzip ist realphysikalisch betrachtet formales Blablabla und kann jeglichen theoretischen Mist hervorbringen. Selbst Schreibfehler können im Rahmen der Differentialgeometrie der ART Lösungen generieren.
Zur Erinnerung Das theoretisch „einfachste“ ΛCDM-Modell basiert, wie bereits erwähnt, auf sechs freien Parametern: Parameter der physikalischen Baryonendichte, Parameter der physikalischen Dichte der dunklen Materie, Alter des Universums, skalarer Spektralindex, Amplitude der Krümmungsfluktuation und optische Tiefe der Reionisierung. Da diese Parameter noch freier erfunden wurden, erfunden sind, als im SM und stetig nachkorrigiert wurden und werden, lohnt sich hier keine weitere Detail-Erläuterung.
Zusammenhänge Hubble-Konstante, Kosmologische Konstante und Dynamik des Universums Je nach »Theoriemode« werden die Werte für H0 und Λ so angepasst, dass diese den aktuellen Theorie-Trends entsprechen. Dass der Kehrwert der Hubblekonstanten nicht dem Alter des Universums entspricht, wird von den Urknall-Freunden so interpretiert, dass die Hubblekonstante eine nichtlineare Korrektur in Hinblick auf die Allmacht der Dunklen Seite erfährt.
Noch in den 1990er Jahren schwankte der Zahlenwert der Hubble-Konstanten zwischen 50 und 100 km/s/Mpc und sorgte für heftigen Streit zwischen den Kosmologen. Die Meß-Resultate des Planck-Satelliten aus dem Jahre 2013 lieferten einen Wert für die Hubble-Konstante, der um ca. 10% kleiner ist, als der "anerkannte" Literaturwert (74,3 +/-1 kms−1Mpc−1). Siehe: Planck satellite 2013 results Dieser signifikant kleinere Meßwert ist entweder eine klare Absage an bisherige Theorien oder zeigt auf, wie beliebig Meßergebnisse erzielt werden. Denn hätte der Meßwert dem bisherigen Wert entsprochen, wäre Niemand auf die Idee gekommen, dass hier etwas "sehr falsch" ist. Die Urknall-Hypothese steht und fällt mit der Annahme, dass die gesamte beobachtete Rotverschiebung allein auf der Raum-Zeit-Expansion basierenden Fluchtgeschwindigkeit beruht. Nur dann kann man aus der Hubble-Konstanten auf ein Alter des Universums von ca. 13,7 Mrd. Jahren schließen. Sobald man einen prozentualen Anteil der Rotverschiebung zulässt, der von physikalischen Prozessen verursacht wird, verabschiedet sich das ΛCDM-Modell. Neuere Messungen der Planck-Mission, die 2018 veröffentlicht wurden, weisen auf einen niedrigeren Wert von 67,66±0,42 (km/s)/Mpc hin, obwohl im März 2019, ein höherer Wert von 74,03±1,42 (km/s)/Mpc mit einem verbesserten Verfahren unter Einbeziehung des Hubble-Weltraumteleskops ermittelt wurde. Die beiden Messungen stimmen auf dem 4,4σ-Niveau nicht über ein plausibles Zufallsniveau hinaus überein. Bei allen Messungen zur Rotverschiebung und assoziierten 3-K-Hintergrundstrahlung sollte klar sein, dass der inhomogene Vordergrund "entfernt" werden muß, um das 3-K-Temperaturspektrum als solches aufzufinden. Nur wie soll das praktisch realisiert werden? Die Vordergrundsignale sind 1000-mal größer als das zu messende "Ereignis" der Hintergrundstrahlung. Des Weiteren strahlen alle kosmischen Objekte auch im Infrarotbereich. Ohnehin sind die Intensitäten der Strahlquellen geschätzt. Das bedeutet erst einmal nicht, dass es nicht da ist, es bedeutet schlicht, dass sie es mit einem Rauschsignal zu Meßsignal von 1000 : 1 nicht messen können, so wie es für wissenschaftliche Zwecke notwendig wäre. Es ist also absurd, wenn behauptet wird, die Temperatur der Hintergrundstrahlung (TCMB) beträgt ≈ 2,7255 [°K] ± 0.001[°K]. Die der Messung zu Grunde liegende Planck’sche Strahlungskurve ist eine Idealisierung für einen perfekten Hohlraumstrahler. Das Universum ist alles Mögliche aber mit Sicherheit dies nicht. Der so genannte best fit ist Nonsens, da hier ein nicht existenter theoretischer Körper als Vorlage dient. Es macht keinen Erkenntnisunterschied ob man nun diese Art von Wissenschaft als naiv oder "berechnend" identifiziert. Berechnend in dem Sinne, dass dieses offensichtlich "falsche Spiel" massiv genutzt wird um Forschungsgelder abzukassieren, die dann die falschen Propheten, im wahrsten Sinne des Wortes, am Leben halten.
Zurück zur...
Gibt es noch etwas "Konträres" in der Theoretischen Grundlagenphysik zu entdecken? Hat der herrschende Indeterminismus der »Modernen Theoretischen Physik« das "letzte Wort"?
Was wäre ein Paradigmenwechsel? Es ist alles andere als trivial, Raum und Zeit als "physikalische Gegenstände" zu betrachten. Raum und Zeit sind primär »Ordnungsmuster des Verstandes«. Um aus diesen Ordnungsmustern Physik "zu erhalten", bedarf es zwingend einer phänomenologischen Betrachtung und Erklärung. Schon Isaac Newton hielt die Vorstellung, dass Gravitation durch den leeren Raum wirken könne, berechtigterweise für absurd. Das »Newtonsche Gravitationsgesetz« erlebt im Rahmen eines Masse gekoppelten Raumes im alternativen Denkmodell der Elementarkörper eine unerwartete Renaissance. Das Hinterfragen des scheinbar Banalen führt zu neuen Ideen und eröffnet nachvollziehbare Transparenz und Gesamtheit. Mikro- und Makrokosmos lassen sich phänomenologisch basierend verstehen und voraussagefähig formalisieren. Konträr zur Aussage der Standardphysik, die vier Grundkräfte postuliert, lässt sich Elementarkörper basierend - auf Grund der (skalenkorrespondierenden) Masse-Raum-Kopplung - jedwede Wechselwirkung auf das Masse-Radius-Verhältnis der interagierenden Wechselwirkungspartner reduzieren. Das führt zu einer konstruktiven Beschreibungsverarmung, die entweder durch die Radien oder deren reziprok proportionale Massen ausgedrückt werden kann. Mit Hilfe dieser einkomponentigen sprichwörtlichen Minimalbeschreibung lassen sich Materiebildungsmöglichkeiten verstehen und formal analytisch exakt berechnen.
Wie bereits eindrucksvoll mehrfach exemplarisch gezeigt, gibt es das "Konträre". Es wird weiterhin folgend gezeigt, dass das, aus Standardmodellsicht, vollkommen Unerwartete, scheinbar Unmögliche bereits seit Jahren als "Denkmodell-Realität" konsistent und skalenübergreifend existiert und im Sinne des Prinzips der Parsimonie den Standardmodellen bezüglich aller signifikanten Parsimonie-Aspekte überlegen ist... bedeutet: i) extrem deutlich weniger freie Parameter... ii) eine Phänomenologie die konsistent mikroskopische sowie makroskopische Entitäten und deren Wechselwirkungen skalenübergreifend vereinend beschreibt...
iii) eine Ende der undefinierten sekundären Begriffe, wie Masse, Ladung, quantenmechanischer Drehimpuls etc., die Masse-Raum-gekoppelt respektive als so genannte »energetische Analogie« verstanden und zu einer formal erfassbaren Einheit werden...
iv) ein Formalismus der sich mit einfacher Mathematik beschreiben lässt... v) daraus resultierend einfache Gleichungen mit exakter Vorrausagefähigkeit, die in allen relevanten Experimenten als Meßwerte bestätigt wurden... vi) fundamentale Beobachtungs-Ergebnisse, wie die Invarianz der Lichtgeschwindigkeit, die Invarianz der elektrischen Ladung im Rahmen des Denkmodells der Masse-Raum-Kopplung phänomenologisch erklärt... und u.a. die Bedeutung und Herleitung der Feinstrukturkonstanten aus Vergleich von elektrischer und Gesamtenergie ...
statt
Das Produkt aus der [Ruhe-]Masse m0 und dem [maximalen] Radius r0 eines «Elementar-Körpers» ist konstant und wird durch die Masse-Radius-Konstanten-Gleichung (Freylingsche-Konstanten-Gleichung) [F1] beschrieben.
Erweiterter Energieerhaltungssatz Grundlage eines Paradigmenwechsels, in Form eines konsistenten Denkmodells, das als solches fundamental verschieden von herrschenden Modellen ist, ist ein Masse gekoppelter Raum, statt eines derzeit postuliert und propagiert Masse entkoppelten Raumes. Die Masse-Raum-Kopplung führt direkt zu einer maßgebenden Erweiterung des Energieerhaltungssatzes, was sicherlich für sich betrachtet bereits Neue Physik bedeutet.
Vergleich mit dem Standardmodell der Kosmologie Zur Orientierung U.a. bedingt durch die notwendige These des Standardmodells der Kosmologie (Lambda-CDM-Modell) der Inflationszeit (temporär vielfache Überlichtgeschwindigkeit) ist der Raum von der Materie in den Standardmodellen entkoppelt worden.
Gravitation im Bild der Masse-Raum-Kopplung
Gravitationskonstanten Der weiterführende Modellgedanke, dass in Analogie zum Makrokosmos im Mikrokosmos »Elementarkörper spezifische Gravitationskonstanten« führt zum erweiterten Energie-Erhaltungssatz [E1r] und zur Ruhe-Energie E0.
Elementare Gravitation und elementares Gravitationspotential Für einen Elementarkörper mit der Ruhe-Masse m0 und dem Ruhe-Radius r0 ergeben sich somit die Gravitationskonstante γ0 und allgemein das Gravitationspotential Φ zu:
Multiplikation des Gravitationspotentials Φ(r0,r) mit der Ruhemasse m0 ergibt den erweiterten Energie-Erhaltungssatz:
Halten wir fest... Merkmale des Paradigmenwechsels
Grundlage eines Paradigmenwechsels, in Form des vorliegenden konsistenten Denkmodells, das als solches fundamental verschieden von herrschenden Modellen ist, ist ein Masse gekoppelter Raum, statt eines postuliert und propagiert Masse entkoppelten Raumes. Konträr zur Aussage der Standardphysik, die vier Grundkräfte postuliert, lässt sich Elementarkörper basierend - auf Grund der (skalenkorrespondierenden) Masse-Raum-Kopplung - jedwede Wechselwirkung auf das Masse-Radius-Verhältnis der interagierenden Wechselwirkungspartner reduzieren. Das führt zu einer konstruktiven Beschreibungsverarmung, die entweder durch die Radien oder deren reziprok proportionale Massen ausgedrückt werden kann. Mit Hilfe dieser einkomponentigen sprichwörtlichen Minimalbeschreibung lassen sich Materiebildungsmöglichkeiten verstehen und formal analytisch exakt berechnen.
statt
Erweiterter Energieerhaltungssatz Die Masse-Raum-Kopplung führt direkt zu einer maßgebenden Erweiterung des Energieerhaltungssatzes, was sicherlich für sich betrachtet bereits Neue Physik bedeutet.
Da mit dem inhärent Masse gekoppelten Raum die Neutrinoexistenz und die Neutrino-Wechselwirkungsszenarien "(weg)fallen", ist das Konzept der Masse-Raum-Kopplung schon aus diesem Grund ein »Standardmodell-Zerstörer«. Das auch die Quantenmechanik sowie die Relativitätstheorie mit dem Masse gekoppelten Raum "fallen", werden die letzten 120 Jahre Theoretische Modellphysik nachträglich obsolet. Um hier Mißverständnissen vorzubeugen, es bleiben sehr wohl eine Vielzahl von Meßwerten erhalten, was "geht" sind die Quantenfeldtheoretischen Interpretationen der Messungen. Zur Erinnerung Niels Bohr äußerte bereits 1931 auf einer Konferenz in Rom die Ansicht, dass zum Verständnis des Betazerfalls nicht neue Teilchen, sondern ein ähnlich schwerwiegender Umsturz der bestehenden Vorstellungen nötig sei wie bei der Quantenmechanik. Er zweifelte den Satz von der Energieerhaltung an, ohne jedoch einen konkreten Gegenvorschlag entwickelt zu haben. Analytisch betrachtet Ein Experiment braucht zu seiner Konzeption eine konkrete Fragestellung. Ist die Fragestellung das Ergebnis eines mathematischen Formalismus, so wie heute im Rahmen der Standardmodelle üblich, so ist das Versuchsergebnis entsprechend theoriebeladen. Wenn dann noch die messbaren Ergebnisse vorselektiert und nur indirekt mit den postulierten Theorieobjekten „verbunden“ sind, ist der Interpretations-Beliebigkeit nichts mehr entgegenzusetzen. Die so theorieinduzierte, „erfundene“ Wissenschaft ist dann nichts weiter als ein (dogmatischer) Einigungsprozess. Tatsachen Auch für Neutrinos gilt: Es gab und gibt keinen einzigen direkten Neutrinonachweis. Es handelt sich stets um stark theoriebeladene Versuchsergebnisinterpretationen.
Wie werden Neutrinos nachgewiesen? Postulate der »SMer« und experimentelle Wirklichkeiten Aufgrund der extrem kleinen Wirkungsquerschnitte kann man Neutrinos in einem Detektor nicht nachweisen. Man bedient sich daher, speziell in Kollisionsexperimenten, eines experimentellen »Tricks«, für den Nachweis über die »fehlende Energie«. Man konstruiert den Detektor völlig hermetisch, so dass eine Energie/Impuls-Bilanz aufgestellt werden kann. Der fehlende Energie-Impuls-Vektor wird einem entweichenden Neutrino zugewiesen. ABER: Vorausgesetzt man könnte ein real-physikalisches System hermetisch gestalten, so verbleibt dieser vermeintliche Neutrino-Nachweis offensichtlich "Neutrinotheorie beladen" und im Sinne eines physikalischen Experimentes "methodisch völlig beliebig". Denn, wenn es keine Neutrinos geben würde, ändert sich an dem Versuchsergebnis schlicht nichts. Das Einzige, was im "Experiment" festgestellt wird, ist fehlende masse-abhängige Energie gemäß vermuteter Energiebilanz. Die "zweite Klasse" von vermeintlichen Neutrinonachweisen beruht auf theoretischen Annahmen, die besagen, dass bei Entstehungs- und Zerfallsprozessen Neutrinos beteiligt waren. Es handelt sich in allen Fällen um theoriebeladene, indirekte "Existenzbeweise". In keinem dieser "Experimente" werden Neutrinos direkt nachgewiesen.
Wie sieht die Alternative mit wenigen Worten beschrieben aus? Die Elementarkörpertheorie (EKT) befasst sich insbesondere mit der Frage, wie Masse und Raum basisnah miteinander verknüpft sind und im „Zusammenspiel“ zu verständlichen Materiebildungen führen, die sich näherungsfrei mit drei freien Parametern und einigen wenigen Meßwerten [0] formal-analytisch - sowohl mikroskopisch als auch korrespondierend makroskopisch - berechnen lassen. Die Elementarkörpertheorie stellt einen Energie erhaltenden fundamentalen Zusammenhang zwischen dem «Phänomen Bewegung» und dem «Phänomen Raum» her. Die Essenz der Fourier-Analysis als elementarer Bildungsbaustein Das stetige „Analyse- und Synthese-System“ in Form der Fourier-Reihe respektive Fouriertransformation ist allgegenwärtig. Die Basis-Funktion ist die Sinusfunktion. Konsequent minimalistisch gedacht, ist es also nahe liegend, nicht die Fourier-Transformation als Methode der Fourier-Analysis als einfachste Abbildungsmöglichkeit zu Grunde zu legen, sondern minimalistisch die „reine“ Sinusfunktion selbst. Resultierend lassen sich intuitiv logische Randbedingungen für eine Basisbetrachtung formulieren. Die grundsätzliche Denkmodell-Forderung besteht darin, dass minimalistische Gleichungen sowohl das masselose Photon als auch massebehaftete Materie abbilden.
Information als materieller Zustand = Elementarkörper
m0 · r0 = FEK = const. : Masse Radius Konstantengleichung
Die Elementarkörpertheorie liefert neben konkreten Voraussagen insbesondere Phänomenologie. Mathematik ist zwar "Denkmodell-inhärent", aber hier nur "Mittel zum Zweck". Die Elementarkörpertheorie baut auf Plausibilität und Minimalismus auf und ist nachvollziehbar weder an Wahrscheinlichkeiten noch methodischer Materiezersplitterung interessiert.
Anomale magnetische Momente Bemerkenswert ist die Tatsache, dass die experimentellen Ergebnisse, sofern man diese ohne theoriebeladene Erwartungen in Richtung "leptonischer "Strukturlosigkeit" bzw. Quarks-basierender Substruktur betrachtet, eine leicht feststellbare Gemeinsamkeit aufweisen. Die zusätzlichen (vermeintlich anomalen) magnetische Moment-Beiträge zu den semiklassisch zu erwartenden sind sowohl für Proton, Neutron als auch für das Elektron stets ~ 1·10-26 Joule/Tesla.
Das Neutron ist gemäß Elementarkörpertheorie, wie bereits erwähnt, Proton-Elektron basierend...
Obige Berechnung der Neutronenmasse, eines Proton-Elektron-wechselwirkungsbasierenden Neutrons ist extrem einfach und im Ergebnis sensationell im Vergleich mit der gemessenen Neutronenmasse. Das Standardmodell der Teilchenphysik kann die Neutronenmasse - wenn überhaupt - nur grob abschätzen. Gemäß Higgs-Mechanismus als Erweiterung des SM erhält das postuliert Quarks basierende Neutron über das Higgs-Feld nur ungefähr 1% seiner Masse, ohne das an dieser Stelle auszuführen (wir kommen später noch ausführlich auf das »Higgs korrigierte« Standardmodell zu "sprechen"). Das bedeutet für das magnetische Moment des Neutrons, dass die zusätzlichen magnetischen Momentbeiträge von den zu untersuchenden Teilchen im Magnetfeld induziert werden und nicht intrinsisch sind. Aus rational logischen Gründen ergab sich (system-)analytisch die Frage, ob diese Beiträge eine gemeinsame Ursache haben. Die Annahme, dass diese Beiträge zum magnetischen Moment der materiebildenden primären Ladungsträger in einem äußeren Magnetfeld messungsinhärent aus dem Feld kommen und nicht intrinsisch sind, wurde zahlenanalytisch, naturphilosophisch als auch formal untersucht und bestätigt.
Anomales Magnetische Moment des Protons Zur Verdeutlichung wird hier exemplarisch folgend aufgezeigt, wie aussagefähig und extrem einfach die primär phänomenologisch begründete Gleichung zur Berechnung des magnetischen Moments des Protons aussieht... EKT basierende Berechnung des magnetischen Moments des Protons
Das ist ein sensationelles Ergebnis, insbesondere wenn man weiß, das im Rahmen der QCD das magnetische Moment des Protons, wenn überhaupt, nur grob geschätzt berechnet werden kann.
Denkmodellanatomien zur Kenntnisnahme, zur Selbstanalyse und zum Verstehen von Dirk Freyling Ansprüche an »erkenntnistheoretische Verbindlichkeiten« müssen so hoch wie möglich sein. Es geht (jedoch) nicht um die sinnlose Frage, was (physikalische) Wahrheit ist, denn ein Denkmodell ist eben nur ein Denkmodell. Es geht aber sehr wohl um die ehrliche Frage, inwieweit ein gegenwärtiges Modell, beispielsweise zur Materiebildung, minimalistisch ist und zugleich eindeutige Lösungen liefert. Diese Frage ist stets beantwortbar. Denkmodelle können nur auf Konsistenz, Aussagefähigkeit, bezüglich konkreter Vorhersagen von tatsächlich gemessenen Größen und Minimalistik im Sinne des Prinzips der Parsimonie bewertet werden. Skepsis ist eigentlich eine gute "Sache". Aber, Skepsis wird dann zum Problem, wenn die Aufnahmefähigkeit des Betrachters dadurch signifikant gestört wird. Jemand der sich einem Denkmodell inhaltlich nähert und (wiederholt) die Frage stellt, ob das Denkmodell seinen eigenen bisherigen Vorstellungen entspricht oder anfängt selbst (ergänzend) zu spekulieren, bevor das Denkmodell hinreichend verstanden wurde, ist kaum in der Lage sich den neuen Gedanken mit der nötigen Aufmerksamkeit zu nähern. Die eigentlichen Probleme des Verstehens kommen dann, selbst bei einem leicht verständlichen Denkmodell mit wenig Mathematik, von der Egozentrik des Betrachters. Fatal wird es, wenn der Betrachter Aussagen und Postulate bestehender Modelle als Grundlage seiner Bewertung des neuen Denkmodells annimmt. Nicht selten waren/sind die Betrachter gar nicht in der Lage die formalen Grundlagen und die Fülle an Inkonsistenzen bestehender Modelle zu erfassen. In der Regel sind dem Gros der Betrachter die Randbedingungen der bestehenden Modelle gar nicht bekannt. [1] Andererseits ist zu beachten, dass es sich bei der überwiegenden Anzahl von vermeintlichen (alternativen) physikalischen Denkmodellen eher um rein metaphysische respektive philosophische Modelle handelt. Diese können zwar eine große Strahlkraft besitzen, da diese dem Betrachter meist Spielräume für eigene Gedanken und fantasievolle Ausschmückungen lassen, aber letztendlich zu einer konkreten physikalischen Naturbeschreibung unbrauchbar sind. Wie findet man schnellstmöglich heraus, ob es sich überhaupt lohnt, einem unbekannten Denkmodell Zeit und Beachtung zu schenken? Der einfachste und schnellste Weg ist ein Blick auf die aus dem Modell heraus gebildeten Gleichungen und die daraus ermittelten Ergebnisse, in Form von konkreten Werten für physikalische Größen. a) Wurden diese experimentell bestätigt, so ist zumindest die erste Hürde genommen. Doch leider tendier(t)en viele Denkmodell-Gestalter dazu, in Anbetracht der geforderten Meßwertgenauigkeit, ihre Gleichungen ergebnisorientiert "weiter zu modellieren", ohne jedoch eine konsistente, nachvollziehbare Erklärung innerhalb ihres Denkmodells dafür zu liefern. Beziehungsweise, es werden freie Parameter eingeführt, die gleichfalls ohne Erklärung ergebnisorientiert in ihrer "Theorie" zum ersehnten Meßwertziel führ(t)en. Sind solche Modellierungen nicht vorhanden und wurden auch keine freien Parameter eingeführt, so lohnt sich ein Blick auf das Denkmodell. b) Existieren keine Modell basierenden formalisierten Berechnungen, handelt es sich nicht um ein brauchbares physikalisches Erklär-Modell.
Des Weiteren fordern die Standardmodell-Protagonisten, deren Epigonen und Apologeten, dass ein funktionierendes alternatives Modell hunderte Meßwerte formal reproduzieren muss, so wie es ja auch das SM "macht". Sie sind sich siegessicher, das das nie geschehen wird. Ihre absolute Trumpfkarte im Spiel der Forderungen ist die theoretische Berechnung des anomalen magnetischen Moments des Elektrons und der damit assoziierte Meßwert.
Das ein Modell mit einer derart großen Gestaltungswillkür und Gestaltungsbeliebigkeit als erfolgreich gepriesen und medial verkauft wird, erinnert stark an Religionen respektive Glaubensgemeinschaften.
Psychologie der Masse Es ist nicht leicht einem Menschen, der zumindest im Kern einer Sache Realitätsnähe und Verhältnismäßigkeit erwartet, zu erklären, dass dem oft nicht so ist, insbesondere wenn es sich um wissenschaftliche Themen handelt. Alle verbreiteten Standardmodelle, insbesondere wenn diese über größere Zeiträume herrschen, beinhalten Machtpositionen und Versorgungsstrukturen. Die Machthalter und Nutznießer werden alles tun um diese Zustände aufrecht zu erhalten. Inhalts-analytisch erstaunlich ist die Tatsache, dass die "großen" Standardmodelle der Physik sprich das Standardmodell der Elementarteilchenphysik (SM) und das Standardmodell der Kosmologie (ΛCDM-Modell) und die gewünschte SM-"Erweiterung" SUSY (Supersymmetrie) sowie vermeintlich konkurrierende Modelle (wie die prominenten Stringtheorien) keinerlei rational logischer Kritik standhalten, wie im weiteren Verlauf im Zusammenhang und Vergleich mit der Elementarkörpertheorie an zahlreichen Beispielen ausgeführt wird. Einzig das soziologische Totschlagargument, dass sich doch nicht zehntausende mathematisch hervorragend ausgebildete Wissenschaftler, über mittlerweile mehrere Generationen, mit Modellen beschäftigen, wenn diese bedeutungslos wären, wird zum Rundumschlag ins Feld geführt.
Kommen wir zu der Forderung der »SMer« zurück, dass ein funktionierendes alternatives Modell hunderte Meßwerte formal reproduzieren muss, so wie es ja auch das SM "macht" (es darf jetzt gelacht werden). Sie sind sich siegessicher, das das nie geschehen wird. Ihre absolute Trumpfkarte im Spiel der Forderungen ist die theoretische Berechnung des anomalen magnetischen Moments des Elektrons und der damit assoziierte Meßwert. Naja, ich "sage" es mal so, stell Dir vor es geht. Ich kann das hier erst einmal nur thematisch "anreißen", da es gemäß inhaltlichen Umfangs, konkreter Ausführungen etc. weit weg vom Primären über Denkmodellaspekte führt. Eine sehr ausführliche Betrachtung mit einer unerwarteten phänomenologisch begründeten, formalanalytischen - ohne Übertreibung - sensationellen Alternative und im Ergebnis erstaunlichen Werteberechnungen findet sich (später) "unter": Anatomie der anomalen magnetischen Momente "Kurz gesagt": QED-Berechnungen als solche erschienen und erscheinen mit zunehmender Genauigkeit auch zunehmend selbstprophetisch, da als „historisch dynamische Referenz“ die Meßergebnisse letztendlich die Renormierungstaktik steuer(te)n. Bereits die (konstruierte) Axiomatik des „Renormierungsformalismus“ ist diskussionswürdig, um es moderat auszudrücken. Die Geschichte gibt hier exemplarisch eine praktische Vorstellung von dem mathematischen und zeitlichen Aufwand, sowie der „Fehlerlast“ selbst der ersten Rechnungen, die im Verhältnis zu Korrekturen höherer Ordnung zu den »extrem einfach lösbaren« gehör(t)en. In der Folgezeit wurden stetig diverse mathematische Ergänzungen und Umformungen durchgeführt, um das theoretische Ergebnis den jeweils veränderten experimentellen Ergebnissen iterativ anzupassen. Das war und ist aber nur möglich, weil es sich um ein rein mathematisches Modell handelt, welches mit dem Umstand "spielt", dass denkmodell-inhärente Unendlichkeiten jedwede Addition oder Subtraktion vertragen. Wäre die (Störungs-)Theorie "präziser", gäbe es keine Möglichkeit im Hinblick auf "neue" Messwerte theoretische Anpassungen nachzuliefern. Die heutige propagierte Berechenbarkeit entspricht der Entfernung Erde-Mond mit sprichwörtlicher Haaresbreite-Genauigkeit. Messtechnisch kommt die Frage auf, ob die Information verloren gegangen ist, dass exemplarisch der propagiert messbare „Spiegelstrom“ oder „Spin-Flip“ einzelner Elektronen und Protonen, beispielsweise in der Doppel-Penning-Falle, u.a. bedeutet, dass die makroskopische Messapparatur - bestehend aus einer Vielzahl von mikroskopischen Details - als „quantenmechanischer Beobachter“ (k)einen Einfluss auf die Beobachtung (Messung) nimmt. Zur Erinnerung: „Zu jeder Messung einer quantentheoretischen Größe ist ein Eingriff in das zu messende System nötig, der das System unter Umständen empfindlich stört. Die Messung der Strahlungsenergie in einem mathematisch scharf begrenzten Teil eines Hohlraumes wäre nur möglich durch einen ”unendlichen“ Eingriff und ist deshalb eine nutzlose mathematische Fiktion. Ein praktisch durchführbares Experiment kann jedoch nur die Energie in einem Bereich mit verwaschenen Grenzen liefern.“ [Aussage Werner Heisenberg 1931]
Ein Vorgeschmack auf das, was die jetzige Theoretische Physik nachhaltig erschüttern wird, sobald es jemand mit Einfluss wagt und schafft darüber in Fachmagazinen zu berichten...
Ohne viele Worte direkt zur dokumentierten Beobachtung... Bemerkenswert ist die Tatsache, dass die experimentellen Ergebnisse, sofern man diese ohne theoriebeladene Erwartungen in Richtung "leptonischer "Strukturlosigkeit" bzw. quarks-basierender Substruktur betrachtet, eine leicht feststellbare Gemeinsamkeit aufweisen. Die zusätzlichen (vermeintlich anomalen) magnetische Moment-Beiträge zu den semiklassisch zu erwartenden sind sowohl für Proton, Neutron als auch für das Elektron stets ~ 1·10-26 Joule/Tesla. Aus rational logischen Gründen ergab sich (system-)analytisch die Frage, ob diese Beiträge eine gemeinsame Ursache haben. Die Annahme, dass diese Beiträge zum magnetischen Moment der materiebildenden primären Ladungsträger in einem äusseren Magnetfeld messungsinhärent aus dem Feld kommen und nicht intrinsisch sind, wurde zahlenanalytisch, naturphilosophisch als auch formal untersucht und bestätigt. Mit anderen Worten Das generelle Problem - aus naturphilosophischer Sicht - der theoretischen Verfeinerung zur Ermittlung (vermeintlich anomaler) magnetischer Momente im Rahmen der Quantenelektrodynamik (QED) und der Quantenchromodynamik (QCD) ergibt sich aus dem phänomenologischen „Umstand“, dass der anomale Teil nicht intrinsisch ist, sondern stets aus dem messungsinhärenten Magnetfeld selbst stammt, der von den zu untersuchenden Teilchen im Messfeld induziert wird, wie explizit bei Elektron, Proton und Neutron gezeigt wird. In einfachen Worten: Es wird von den Standardmodell-Protagonisten zur Anatomie der magnetischen Momente sozusagen »kolossal epizyklisch« das Thema verfehlt. Des Weiteren: Die experimentell gestützten (Zahlen-)Analysen und die resultierend phänomenologisch begründete Formalisierung - im Denkmodell Masse-Raum-gekoppelter Objekte - demontieren die Annahme (asymmetrisch) Quarks-Seaquarks-Gluonen-substrukturierter Protonen und Neutronen.
Nicht das es unbedingt nötig gewesen wäre, die QED-Trumpfkarte (bereits jetzt) zu "stechen", da viele andere alternative Denkmodellaspekte, wie die Berechnung der Neutronenmasse, die exakte Berechnung des Protonenradius oder die beste theoretische Voraussage der Grundzustandsenergie des Wasserstoffatoms, die Berechnung der 3K-Hintergrundstrrahlung, die Herleitung der Sommerfeldschen Feinstrukturkonstanten,... alles jeweils ohne QED und phänomenologisch begründet, formal-analytisch einfachst, skalenkorrespondierend und konsistent, bereits darauf hinweisen, dass diese Denkmodellalternative, namens Elementarkörpertheorie (kurz EKT), fundamental ist und einen Paradigmenwechsel bedeutet, der die letzten 120 Jahre Theoretisches Physikgeschehen als bisher größten, komplexesten Wissenschaftsirrtum identifiziert. ("Watch & learn", genauer lese und lerne).
Im Hinblick auf naturphilosophisch wertvolle Aspekte verkörpert die formal logische Argumentation die Basis des konstruktiv kritischen Denkens und Handelns. Der Kritik eines bestehenden Denkmodells „folgt“ zwingend ein "neues" Denkmodell, sofern ein nachhaltiger Erkenntnisgewinn angestrebt wird. Jede noch so fundierte Kritik bedarf einer konstruktiven Alternative, solange diese nicht existiert „verpufft“ selbst die „beste“ Kritik. Funktionaler Beginn Denkmodelle (zur Materiebeschreibung) können nur wissenschaftliche Relevanz besitzen, wenn sie auf einem theoretischen Fundament beruhen, dessen Axiome untereinander logisch konsistent sind und zu einer mathematisch hinreichend widerspruchsfreien Theorie führen. Naturphilosophischer Beginn Grundlegende Denkmodell-Aspekte lassen sich in Ankopplung an globale Auffälligkeiten, wie Gravitationskonstante, kleinste (skalare) Wirkung (Stichwort Plancksche Wirkungsquantum h) oder Invarianz der Lichtgeschwindigkeit, nur intuitiv entwickeln. Man muß eine Idee und weiterführend, aufbauend konsistente Ideen haben, um ein Denkmodell interdisziplinär verständlich gestalten zu können. Denkmodelle müssen absolut begriffstransformierbar sein, um eine epistemologische Bedeutung zu erlangen. Eine mathematische Gleichung, die sich nur innerhalb der Mathematik vermitteln lässt, ist im Rahmen eines physikalischen Denkmodells stets eine erkenntnistheoretische Nullnummer. Aphoristisch ausgedrückt... Ein Denkmodell ohne Mathematik ist ein philosophisches Denkmodell. Ein Denkmodell „aus“ Mathematik ist kein physikalisches Denkmodell. Erkenntnistheoretisch ist der Weg eines Realobjekt orientierten Denkmodells vorgezeichnet
Der Beobachtung folgt die Formalisierung In einem allgemein verständlichen Denkmodell ist Mathematik nur Mittel zum Zweck. Nichts weiter als ein plausibilitäts-resultierendes, praktisches Ordnungs- und Formalisierungsinstrument.
Die seit mittlerweile mehr als 100 Jahren vorherrschend inverse Methodik Sowohl das Standardmodell der Kosmologie (ΛCDM-Modell), exemplarische Stichworte Einstein-Friedmann-Gleichungen, Robertson-Walker-Metrik, Dunkle Energie als auch das Standardmodell der Teilchenphysik (SM), Stichworte Lagrangedichte, Higgs-Mechanismus, Neutrinos, zeichnen sich dadurch aus, dass zahlreich postulierte Theorieobjekte und postulierte Wechselwirkungen dieser als "Resultate" eines mathematischen Modells, indirekt beobachtet werden. Der Formalisierung folgt die (gewünschte) Beobachtung. Bei genauer Sicht handelt es sich aber stets um stark theoriebeladene Versuchsergebnisinterpretationen. Das SM kennt keinen einzigen direkten Nachweis einer postulierten Theoriegröße. Das ΛCDM-Modell krankt – losgelöst von konkreten Ansätzen - an einer fundamentalen Randbedingung. Bei allen kosmologischen Beobachtungen handelt es sich nicht um kontrollierbare Laborexperimente. Sowohl in der Newtonschen Interpretation der Gravitation als auch in den „ART-üblichen“ differentialgeometrischen Betrachtungen wird stark idealisiert. Die wahren energetischen Verhältnisse (lokal und teils in (periodisch-)dynamischer Überlagerung) lassen sich im wahrsten Sinne der Worte „aus Sicht“ der Erde oder erdnaher Satelliten nicht ermitteln, wobei selbst die von der Erde weit entfernten Satelliten für kosmische Verhältnisse als erdnah zu verstehen sind. Das bedeutet, die Ursachen könnten gänzlich anderer Natur sein als vermutet. Mit steigender Beobachtungskomplexität, die heutzutage durch iterative Nachbearbeitungen stark „(nach-)belastet“ ist, können vermeintliche Beobachtungs-Effekte von mathematischen Artefakten der genäherten „Lösungen“ nicht separiert werden. Schlicht formuliert, man sieht das, was man theoretisch sehen möchte. Mit anderen Worten... Realobjekt-Forschung geht von reproduzierbaren, empirischen Befunden aus und bemüht sich dann um Systematisierung, Verallgemeinerung und ein „theoretisches Verständnis“.
Im heutigen standardmodell-orientierten Denken werden hingegen theoretisch Befunde postuliert, nach denen dann mittels computersimulierten „Versuchsaufbauten“ selektiv gesucht wird. Diese stark theoriebeladene Suche kennt keinen einzigen direkten Nachweis und lässt sich auf Grund der vielen freien Parameter, nicht detektierbaren postulierten Theorieobjekten und deren postulierten Kaskadenereignissen beliebig ergebnis-interpretieren. Man kann offensichtlich in jeder beliebigen Theorie Widersprüche mit der Beobachtung dadurch "wegerklären", dass man weitere (unüberprüfbare) Postulate in die Theorie mit aufnimmt, die genau diese Beobachtung „erklären“. Dass SM hat diese unwissenschaftliche Unart zur Standardprozedur etabliert und "unerreicht" auf die Spitze getrieben. Dort thront stellvertretend für allerlei Unwissenschaftliches die so genannte Confinement-These.
Dokumentiert und analytisch betrachtet, läßt sich u.a. feststellen: In der »Modernen Theoretischen Physik« geht es bei genauer Betrachtung seltsamerweise häufig um die Bewahrung bestehender Dogmen. Argumente der Vernunft werden Denkgewohnheiten und Vorurteilen geopfert. Ein psychologischer Grund liegt im Glauben und Hoffen. Die Mehrzahl der „forschenden“ Physiker sind meist Anhänger der Quantenfeldtheorien. Ein echtes Verständnis dieser undurchsichtigen Theorien ist nicht möglich. Aufbauend auf unverstandenen Arbeiten anderer planen sie Experimente, für die es nur zwei Resultate gibt: Erfolg und Bestätigung oder Misserfolg und kurze Ratlosigkeit, die dann in der Regel in neuen Teilchen, neuen Quantenzahlen und Theorieerweiterungen endet. Wie wir alle tendieren auch die (Theorie affinen) Experimentatoren dazu, einen Misserfolg bewusst und unbewusst zu vermeiden, und weichen einer Widerlegung ihres Glaubens durch ein Experiment (oder durch Denken) instinktiv aus. Anstatt die Experimente auf das Wesentliche zu beschränken und sie so einfach und effizient wie möglich zu gestalten, wird oft vom Wesentlichen abgelenkt. Moderne Denkmodelle basierend auf Quantenfeldtheorien haben alle eins gemeinsam: Sie entpuppen sich in theorierelevanten Experimenten "früher oder später" als Mogelpackungen. Statt nun die Theorie zu verwerfen, werden lediglich Korrekturen vorgenommen respektive Erweiterungen postuliert. Das können (neue) virtuelle Teilchen sein, die "kurzzeitig" den Energieerhaltungssatz mit Hinweis auf die Heisenbergsche Unschärferelation verletzen. Obwohl diese Verletzung den wichtigsten Erhaltungssatz der Physik konterkariert. Das waren aber auch ganze Neuformulierungen wie die »Elektroschwache Theorie«.
Voraussetzungen für die Gestaltung eines epistemologisch bedeutenden Denkmodells Zum konstruktiven kritischen Denken und Handeln gehören Fähigkeiten und Fertigkeiten
…die Fähigkeit der Mustererkennung und beobachteten zahlenmäßigen Auffälligkeiten …die Fähigkeit Argumente zu identifizieren …die Fähigkeit die Qualität der Argumente prüfen zu können …die Fertigkeit Alternativen identifizieren zu können …die Fertigkeit Alternativen formulieren zu können. … die Fertigkeit (das Handwerk) zu formalisieren, sofern es formalisierbar ist. Physikalische Denkmodelle müssen ausnahmslos formalisierbar sein, denn nur im Rahmen der Formalisierung sind Denkmodell-Voraussagen möglich, die im Experiment verifiziert respektive falsifiziert werden können.
Ein naturphilosophisch wertvolles physikalisches Denkmodell ist phänomenologisch begründet, konsistent, sowohl mathematisch als auch plausibel verstehbar, minimalistisch, universell ("skalen-korrespondierend") und experimentell direkt überprüfbar. |

|
[1] Theorieforderung und empirischer Befund Ein Experiment braucht zu seiner Konzeption eine konkrete Fragestellung. Ist die Fragestellung das Ergebnis eines mathematischen Formalismus so ist das Versuchsergebnis entsprechend theoriebeladen. Wenn dann noch, wie im Rahmen der Standardmodelle üblich, die messbaren Ergebnisse vorselektiert und nur indirekt mit den postulierten Theorieobjekten „verbunden“ sind, ist der Interpretations-Beliebigkeit nichts mehr entgegenzusetzen. Beispiel: Das Standardmodell der Elementarteilchenphysik (SM) zielt darauf ab, Materie-Entstehung und Wechselwirkungen durch rein abstrakte mathematische Symmetrien (Eichsymmetrien mit ihren Eichgruppen) zu erfassen. Die Definition der Masse eines Teilchens bezieht sich im Rahmen des Standardmodells ausschließlich auf ihre kinematische Wirkung. Ihre Wirkung als Quelle eines Gravitationsfeldes bleibt dagegen unberücksichtigt, wie auch die Gravitationswechselwirkung die im Standardmodell nicht beschrieben werden kann. Der mathematische Ansatz des Standardmodells der Teilchenphysik, ausgehend von nulldimensionalen, masselosen Objekten liefert offensichtlich keine Anbindung an die wahrnehmbare physikalische Realität in der Masse und Ausdehnung Fundamentaleigenschaften darstellen. Bedeutet im Klartext: Postuliert masselose Eichbosonen bewegen sich mit Lichtgeschwindigkeit. Dass diese Denkmodell-Idee zum Scheitern verurteilt war/ist, sollte bereits jedem Normalbegabten verständlich sein. Die euphemistische Nachkorrektur mittels Higgs-Mechanismus verleiht zwar im Denkmodell des SM Teilchen theoretisch Masse, nur wird erstens dadurch die ursprüngliche Formulierung "verletzt", zweitens stimmt die Aussage, das der Higgs-Formalismus den Teilchen Masse gibt, gar nicht, da exemplarisch SM-postuliert Quarks basierendes Proton und Neutron über das Higgs-Feld nur ungefähr 1% ihrer jeweiligen Massen erhalten und drittens die vermeintlichen massegebenden Terme gar keine Massenberechnung beinhalten. Die Massenwerte folgen hier nicht aus einer physikalischen Gleichung sondern müssen als freie Parameter bekannt sein. Das bedeutet schlicht und ergreifend, auch das „higgs-korrigierte“ Standardmodell der Teilchenphysik kann weder Masse(n) erklären und schon gar nicht berechnen.
Ohne Übertreibung läßt sich bereits an dieser Stelle Folgendes kurz zusammenfassen: Das widersprüchliche, „axiomatisch bedenkliche“, stark inkonsistente SM kann praktisch nichts Reales erklären und schon gar nicht berechnen. Der Higgs-Mechanismus "lebt", salopp formuliert, zu 99% von unbegründeter Bindungsenergie postulierter (nicht [direkt] beobachtbarer) Gluonen. Das Attribut [direkt] kann man sich eigentlich sparen, da auch die folgend postulierten "gluonenbasierenden" Kaskadenereignisse, die zu vermeintlichen Detektionsereignissen werden, auch nicht beobachtbar sind. Streng genommen ist der Umstand, dass das SM mittels Higgs-Mechanismus nur ein Prozent Masse „hinbekommt“ schon eine Widerlegung dieses theoretischen Ansatzes. Derzeit 25 freie Parameter, variable Kopplungskonstanten und willküraffine Substrukturierungen liefern über postulierte Verknüpfungszahlen (Quantenzahlen) eine „Katalogisierung“ theoriefreundlich selektierter Energiepeaks, respektive (ultra-)kurzlebiger Massehäufchen, welche allesamt nur indirekt detektiert werden können. Die gesamte Theorie reduziert sich fast ausschließlich auf die Interpretation nicht zu beobachtender, postulierter Teilchenbeschleunigerereignisse. Auch postulierte Quarks sind keine Teilchen, weder im phänomenologischen noch im quantentheoretischen Sinne, da sie nicht als isolierbare Partikel bzw. Zustände auftreten. Die physikalischen Teilchen andererseits sind als gebundene Zustände aus Quarks zusammengesetzt zu denken. Den elementaren Größen der Quantenfeld-Theorie entsprechen keine physikalischen Objekte. Also die gewünschten, verschiedenen Arten von postulierten Elementarteilchen im SM unterscheiden sich durch die Quantenzahlen dynamischer Eigenschaften wie Ladung oder Isospin. Einige sind per Postulat masselos, andere nicht. Elektronen sind theoriegewünscht zum Masse- und Ladungspunkt verarmt. Einige andere sollten masselos sein, wie Neutrinos, sind es dann aber doch nicht. Auftretende mathematische Theoriefragmente, wie z.B. "5 Phasen" bei der CKM-Matrix werden einfach verworfen, da diese ergebnisorientiert nicht "passen"). Da heißt es lapidar zum Thema „Quarkmischungen“: …Die CKM-Matrix (Cabibbo-Kobayashi-Maskawa-Matrix) wird physikalisch eindeutig durch drei reelle Parameter sowie eine komplexe Phase beschrieben (weitere fünf Phasen, die mathematisch auftreten, haben keine physikalische Bedeutung)…“ Das bedeutet schlicht und ergreifend, daß man sich ergebnisorientiert die mathematischen Elemente nimmt, die „irgendwie passen“ und andere einfach ignoriert. Dieses beliebige Vorgehen im Rahmen mathematischer Modelle hat mit exakter Wissenschaft nichts mehr zu tun. Wie auch immer, quantisierte Eigenschaften werden durch innere Symmetrien charakterisiert und haben nichts mehr mit Eigenschaften im üblichen Sinne gemeinsam, die als den Dingen inhärente physische Qualitäten aufgefasst werden können. Der Isospin der Nukleonen oder die »Farbe« der Quarks drücken überhaupt keine Qualitäten in diesem Sinne mehr aus, sondern nur noch beliebig festgelegte Basiszustände beziehungsweise Richtungen in einem abstrakten Raum, die durch Symmetrietransformationen aufeinander bezogen werden. Nahezu alle bisher bekannten Symbolsysteme werden zitiert. Mal sind es die Farben (rot, blau, grün), mal Buchstaben (u, d, s, c, b, t), mal symbolische Eigenschaften (strange, charm, beauty,...), als Begriff kommen auch noch die Aromen hinzu, für eine noch unterhalb der Quarks liegende Struktur wurden die Bezeichnungen 'tohu' und 'wabohu' aus der Schöpfungsgeschichte im Alten Testament vorgeschlagen. U.a. Religiosität, "neurologische Auffälligkeiten", Größenwahn sowie wissenschaftsbefreite "Kindergartensprache" kommen mit dem Theoretiker als "verwirrten", (mathematik-)gläubigen Menschen ins "Spiel". Schon Ernst Mach bemerkte: "Wer Mathematik treibt, den kann zuweilen das unbehagliche Gefühl überkommen, als ob seine Wissenschaft, ja sein Schreibstift, ihn selbst an Klugheit überträfe, ein Eindruck, dessen selbst der große Euler nach seinem Geständnisse sich nicht immer erwehren konnte." Ernst Mach (1838-1916), Vortrag, Sitzung der kaiserlichen Akademie der Wissenschaften zu Wien am 25. Mai 1882 Die Ursprünge des Realitätsverlustes, welcher mannigfaltig im Standardmodell der Teilchenphysik zum Tragen kommt, stammen aus der Quantenmechanik (QM). Im Zuge der Kopenhagener Interpretation der Quantenmechanik ist der Realitätsverlust methodisch und gewollt. Gemäß der Kopenhagener Deutung von 1927 ist der Wahrscheinlichkeitscharakter quantentheoretischer Vorhersagen nicht Ausdruck der Unvollkommenheit der Theorie, sondern des prinzipiell indeterministischen (unvorhersagbaren) Charakters von quantenphysikalischen Naturvorgängen. Des Weiteren "ersetzen" die »Objekte des Formalismus« die Realität, ohne selbst eine Realität zu besitzen. Die Kopenhagener Deutung zeichnet sich durch die Bequemlichkeit aus, die sie ihren »Gläubigen« liefert. Der Welle-Teilchen-Dualismus gestattet(e) ein "Umsteigen" auf die "Welle" mit einer e-Funktion mit komplexem Exponent, welcher gemäß Fourier-Theorems es wiederum gestattet »ALLES« stückweise monotone, also auch jedes experimentelle Ergebnis, formal mathematisch darzustellen. Die statistische Deutung hält von der Mühe ab, den physikalischen Prozeß zu erkunden, Anschaulichkeit und Phänomenologie werden ausgeblendet.
Das der Nobelpreis für Physik zum ersten Mal 1901, „damals“ für die Untersuchung der nach ihm benannten Strahlung, an (Wilhelm Conrad) Röntgen vergeben wurde, ändert nichts an der Ideologie zur Bewertung theoretischer Konzepte. Waren die Folgejahre noch geprägt durch die Würdigung experimenteller Physik, so begann in den 1930er Jahren die „Zeit der Wahrscheinlichkeiten und freien Parameter“. Die, aus naturphilosophischer Sicht tragikomische Denkrevolution ist, spätestens seit Vergabe des Nobelpreises für Physik des Jahres 1932 an Werner Heisenberg für die Begründung der Quantenmechanik, auch ein Denkdogma. Die Nobelpreisträger des Jahres 1933 Erwin Schrödinger und Paul Dirac (1932 wurde kein Nobelpreis für Physik verliehen) untermauerten die Würdigung Phänomenologie befreiter Theoriekonzepte.
Das in den sechziger Jahren von Richard Feynman entwickelte Quark-Parton-Modell (QPM) beschreibt Nukleonen als Zusammensetzung grundlegender punktförmiger Bauteile, die Feynman Partonen nannte. Diese Bauteile wurden daraufhin mit den wenige Jahre zuvor gleichzeitig von Gell-Mann und Zweig postulierten Quarks identifiziert. Gemäß Quark-Parton-Modell ist ein tiefinelastisches Streuereignis (:DIS deep inelastic scattering) als eine inkohärente Überlagerung elastischer Lepton-Parton Streuprozesse zu verstehen.
Brigitte Falkenburg schreibt dazu in Particle Metaphysics: A Critical Account of Subatomic Reality (2007) u.a. "Es muss Schritt für Schritt transparent gemacht werden, was Physikerinnen und Physiker selbst als empirische Basis für das heutige Wissen der Teilchenphysik ansehen. Und es muss transparent sein, was sie im Einzelnen meinen, wenn sie von subatomaren Teilchen und Feldern sprechen. Die Weiterverwendung dieser Begriffe in der Quantenphysik führt zu ernsthaften semantischen Problemen. Die moderne Teilchenphysik ist in der Tat der härteste Fall für Inkommensurabilität im Sinne Kuhns".... ..."Schließlich ist die Theorieabhängigkeit ein schlechtes Kriterium, um zwischen sicherem Hintergrundwissen und unsicheren Annahmen oder Hypothesen zu unterscheiden." ... "Die subatomare Struktur existiert an sich nicht wirklich. Sie zeigt sich nur in einem Streuexperiment mit einer bestimmten Energie, also aufgrund einer Wechselwirkung. Je höher der Energietransfer bei der Wechselwirkung ist, desto kleiner sind die gemessenen Strukturen. Hinzu kommt, dass nach den Gesetzen der Quantenfeldtheorie bei sehr hohen Streuenergien neue Strukturen entstehen. Die Quantenchromodynamik (d. h. die Quantenfeldtheorie der starken Wechselwirkung) besagt, dass je höher die Streuenergie ist, desto mehr Quark-Antiquark-Paare und Gluonen im Inneren des Nukleons entstehen. Nach dem Modell der Streuung in diesem Bereich führt dies wiederum zu Skalierungsverletzungen, die tatsächlich beobachtet wurden.44 Dies wirft ein neues Licht auf Eddingtons alte Frage, ob die experimentelle Methode zur Entdeckung oder zur Herstellung führt. Offenbart die Wechselwirkung bei einer bestimmten Streuenergie die gemessenen Strukturen oder erzeugt sie diese?“ ...“Es ist nicht möglich, einen gemessenen Querschnitt auf seine individuelle Ursache zurück zu führen. Keine Kausalgeschichte setzt einen gemessenen Formfaktor oder eine Strukturfunktion mit seiner Ursache in Beziehung“... ...“Mit den in Teilchenbeschleunigern erzeugten Strahlen kann man weder in das Atom hineinschauen, noch subatomare Strukturen sehen, noch punktförmige Strukturen im Inneren des Nukleons beobachten. Solches Gerede ist metaphorisch. Das einzige, was ein Teilchen sichtbar macht, ist die makroskopische Struktur des Targets“... ...“Niels Bohrs Quantenphilosophie...Bohrs Anspruch war, dass die klassische Sprache unverzichtbar ist. Dies hat bis heute Gültigkeit. Auf der individuellen Ebene von Klicks in Teilchendetektoren und Teilchenspuren auf Fotos müssen alle Messergebnisse in klassischen Begriffen ausgedrückt werden. Die Verwendung der bekannten physikalischen Größen Länge, Zeit, Masse und Impuls-Energie auf subatomarer Ebene ist in der Tat auf eine Extrapolation der Sprache der klassischen Physik auf den nichtklassischen Bereich zurückzuführen.“
Wer einigermaßen neutral die Geschichte der Elementarteilchenphysik "studiert", wird kaum glauben können, dass es sich um naturwissenschaftliche Betrachtungen und Bemühungen im Sinne einer zielführenden Vereinfachung und Vereinheitlichung handelt. Immer dann, wenn die Experimentalphysik die Theorie(n) widerlegte, wurde die Theorie mittels neuer Elementarteilchen, erneuter Substrukturierung und wenn nötig neuer Quantenzahlen erweitert, die die fehlenden Eigenschaften, die fehlende Energie oder die fehlende Symmetrie "erledigten". Das hat mit Wissenschaft wenig zu tun und erinnert mehr an (zeitgenössische) Politik. Statt die Probleme mit einem neuen radikalen (Theorie-)Ansatz zu bewältigen, werden kleine und große Schönheitskorrekturen kontinuierlich durchgeführt. Statt zu vereinfachen und zu vereinheitlichen wird "gnadenlos" erweitert und "spezialisiert". Es entsteht ein Sammelsurium von Teilchen(eigenschaften). Für jeden Fall einer unerwünschten Abweichung, für jedes Teilchen wurden und werden bei Bedarf theorieerhaltende Sonderregelungen nachgelegt. Der mathematische Formalismus ist in diesem Fantasieprozess das kleinste Problem. Nötigenfalls werden divergente Terme regularisiert und renormalisiert oder gleich als "unphysikalisch" deklariert, also schlicht willkürlich ergebnisorientiert "weggelassen". Das damit die axiomatische Grundstruktur zerstört wird, scheint entweder nur Wenigen klar zu sein bzw. ist offensichtlich dem Gros der Theoretiker egal.
Auf Grund einer ganzen Reihe von (theorieinduzierten) Widersprüchen und Inkonsistenzen, die selbst von SM-Gläubigen (an)erkannt werden, wünschen die SM-Aktivisten, dass mathematische Erweiterungen „Abhilfe“ schaffen. Die angestrebte theoretische Zukunft der Standardmodellphysiker ist u.a. die Supersymmetrie (SUSY). Unter einer Supersymmetrie versteht man eine verallgemeinerte Raum-Zeit-Symmetrie, die eine Transformation zwischen Bosonen und Fermionen beschreibt. Supersymmetrie (verniedlichend und „cute“ SUSY genannt) bedeutet aber bei schlichter Betrachtung u.a. die Aufhebung der theorieinduzierten Trennung von Fermionen und Bosonen. Des Weiteren fordert SUSY eine Substrukturierung der postuliert „Strukturlosen“, derzeit als Leptonen bekannt. Standardmodelltheoretiker und deren Anhänger scheinen, berauscht von ihren Fantasien, nicht zu verstehen, dass das „SUSY-Konzept der Vereinigung“ das (noch) bestehende Standardmodell der Teilchenphysik nicht, wie gewünscht, konstruktiv erweitert sondern demontiert. Ein erkennbarer Vorteil der SUSY-Forscher: Die unvermeidliche SUSY-inhärente Anzahl-Aufblähung freier Parameter garantiert Vollbeschäftigung. Ein anderer Gedanke der »SM-Erweiterungs-Protagonisten« ist, sich von den jetzigen Elementarteilchen (Quarks, Leptonen) zu verabschieden und diese mittels so genannter Preonen zu substrukturieren. Nur wenn Quarks und Leptonen jetzt schon nulldimensional sind, welche „infinitesimale Steigerung“ haben dann Preonen inne? - soweit zu den ersten SM-„Auffälligkeiten“ -
Zwischenfazit Natur kann nur addieren oder subtrahieren. Eine „gesicherte“ höhere mathematische Realität existiert ausschließlich im Rahmen axiomatisch begründeter Sprache (Mathematik). Inwieweit eine korrekte mathematische Struktur (höhere mathematische Realität) physikalisch anwendbar ist, lässt sich mit den „Mitteln“ der Mathematik nicht entscheiden (siehe „unstrittig-exemplarisch“ Epizykeltheorie und Banach-Tarski-Paradoxon). Es gibt beispielsweise keine physikalische Grundlage für die Herleitung der Feldquantisierung. Quantenfeldtheoretische Betrachtungen sind „realobjektbefreite“ mathematische Denkmodelle. Mathematik erfasst letztendlich Mengen und kann nicht zwischen Staubsauger und Staub unterscheiden.
Um die vielfältigen Zusammenhänge gesamtheitlich durchschauen und verstehen zu können, bedarf es u.a. beträchtlicher historischer Kenntnisse. Diese gehören leider nicht zur Schul- und Universitätsausbildung von Physikern und Mathematikern. Zentrale Fragen einfacher Anschauung werden also weder in einem historischen Kontext erörtert noch im Rahmen der herrschenden mathematischen Modelle adressiert. Das Sammelsurium an mathematischen Möglichkeiten führt(e) u.a. zu einer stetigen Veröffentlichungswelle von theoretischen Beliebigkeiten.
|

Elementarkörper basierende Korrespondenz im "aphoristischen Bild"
... vom Elementarkörper bis zum Kosmos

|
|